搜索

x

留言板

姓名
邮箱
手机号码
标题
留言内容
验证码

downloadPDF
引用本文:
Citation:

    庄晓如, 徐心海, 杨智, 赵延兴, 余鹏

    Numerical investigation on heat transfer of supercritical CO2in solar receiver tube in high temperature region

    Zhuang Xiao-Ru, Xu Xin-Hai, Yang Zhi, Zhao Yan-Xing, Yu Peng
    PDF
    HTML
    导出引用
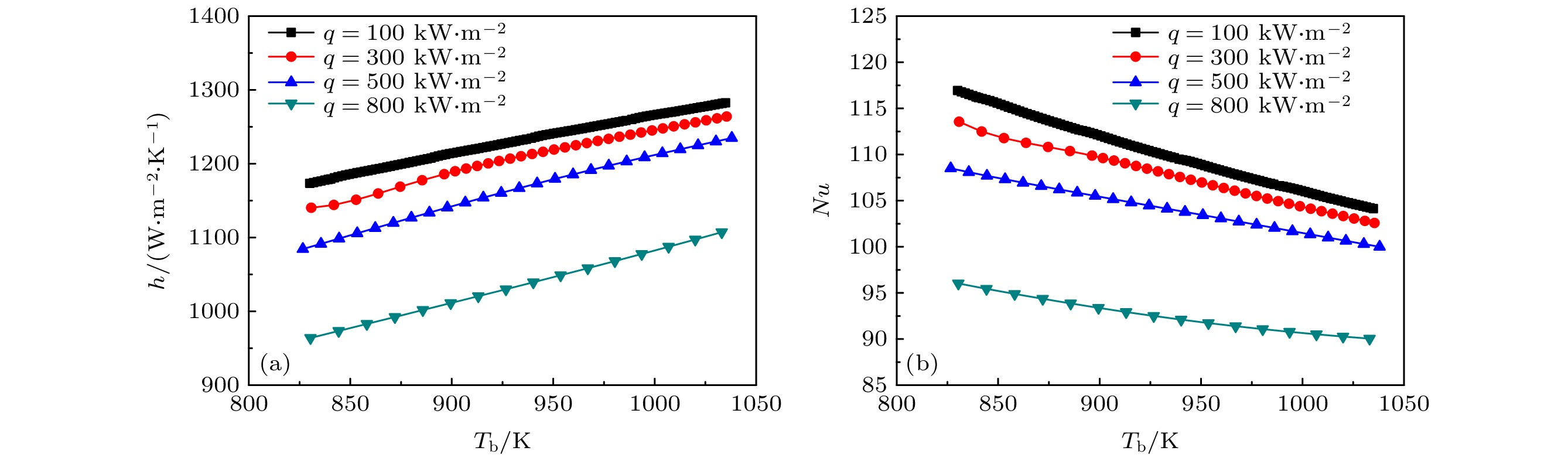
    • 研究超临界CO 2在高温吸热管内的传热特性是将其应用于聚光太阳能热发电技术中的基础. 本文对此进行了数值模拟研究, 分析了流体温度、流动方向、系统压力、质量流率和热流密度对对流传热系数和 Nu数的影响. 结果表明: 高温区 (800—1050 K) 的对流传热系数和 Nu数受流动方向和系统压力的影响均很小, 但都随着质量流率的增大以及热流密度的减小而明显增大; 而随着流体温度的升高, 对流传热系数近似线性增大, Nu数则近似线性减小. 另外, 本文研究发现在高温区可忽略浮升力对传热的影响, 而由高热流密度引起的流动加速效应会明显恶化传热. 最后, 选取了八种管内超临界流体传热关联式与模拟结果进行对比, 发现使用基于热物性修正的关联式对高温区传热数据预测的结果优于使用基于无量纲数修正的关联式得到的结果, 且其中预测效果最优的关联式得到的计算结果与模拟结果之间的平均绝对相对偏差为8.1%.
      Supercritical CO 2can be used as a heat transfer fluid in a solar receiver, especially for a concentrating solar thermal power tower system. Such applications require better understanding of the heat transfer characteristics of supercritical CO 2in the solar receiver tube in a high temperature region. However, most of the existing experimental and numerical studies of the heat transfer characteristics of supercritical CO 2in tubes near the critical temperature region, and the corresponding heat transfer characteristics in the high temperature region are conducted. In this paper, a three-dimensional steady-state numerical simulation with the standard k- εturbulent model is established by using ANSYS FLUENT for the flow and heat transfer of supercritical CO 2in a heated circular tube with an inner diameter of 6 mm and a length of 500 mm in the high temperature region. The effects of the fluid temperature (823–1023 K), the flow direction (horizontal, downward and upward), the pressure (7.5–9 MPa), the mass flux (200–500 kg·m –2·s –1) and the heat flux (100–800 kW·m –2) on the convection heat transfer coefficient and Nusselt number are discussed. The results show that the convection heat transfer coefficient increases while Nusselt number decreases nearly linearly with fluid temperature increasing. Both fluid direction and pressure have negligible effects on the convection heat transfer coefficient and Nusselt number. Moreover, the convective heat transfer coefficient and Nusselt number are enhanced greatly with the increasing of mass flux and the decreasing of heat flux, which is more obvious at a higher heat flux. The influences of buoyancy and flow acceleration on the heat transfer characteristics are also investigated. The buoyancy effect can be ignored within the present parameter range. However, the flow acceleration induced by the high heat flux significantly deteriorates the heat transfer preformation. Moreover, eight heat transfer correlations of supercritical fluid in tubes are evaluated and compared with the present numerical data. The comparison indicates that the correlations based on the thermal property modification show better performance in the heat transfer prediction in the high temperature region than those based on the dimensionless number modification. And Nusselt number predicted by the best correlation has a mean absolute relative deviation of 8.1% compared with the present numerical results, with all predicted data points located in the deviation bandwidth of ±20%. The present work can provide a theoretical guidance for the optimal design and safe operation of concentrating solar receivers where supercritical CO 2is used as a heat transfer fluid.
          通信作者:余鹏,yup6@sustech.edu.cn
        • 基金项目:国家自然科学基金 (批准号: 51706048) 和中国科学院低温工程学重点实验室 (理化技术研究所) (批准号: CRYO202002) 资助的课题
          Corresponding author:Yu Peng,yup6@sustech.edu.cn
        • Funds:Project supported by the National Natural Science Foundation of China (Grant No. 51706048) and CAS Key Laboratory of Cryogenics, Technical Institute of Physics and Chemistry (Grant No. CRYO202002)
        [1]

        [2]

        [3]

        [4]

        [5]

        [6]

        [7]

        [8]

        [9]

        [10]

        [11]

        [12]

        [13]

        [14]

        [15]

        [16]

        [17]

        [18]

        [19]

        [20]

        [21]

        [22]

        [23]

        [24]

        [25]

        [26]

      • 算例 网格数量 Tw,o/K Tw,o的相对偏差/% ho/(kW·m–2·K–1) ho的相对偏差/%
        1 2652250 1441.9 0 1236.7 0
        2 1332250 1442.2 0.02 1236.4 0.02
        3 841000 1442.9 0.07 1235.0 0.14
        4 462250 1445.1 0.22 1230.1 0.54
        5 196000 1448.8 0.48 1223.3 1.09
        下载: 导出CSV

        作者 关联式和工况条件 MARD/% η/%
        基于热物性修正
        Bishop 等[23] $Nu = 0.0069Re_{\rm{b} }^{0.9}\overline {Pr} _{\rm{b} }^{0.66}{\left( { { { {\rho _{\rm{w} } } } }/{ { {\rho _{\rm{b} } } } } } \right)^{0.43} }\left[ {1 + 2.4({D}/{L}) } \right]$ 22.2 22.3
        工质: 水
        p= 22.6—27.5 MPa,G= 680—3600 kg·m–2·s–1,q= 310—3500 kW·m–2
        Krasnoshchekov和
        Protopopov[24]
        $Nu = 0.023Re_{\rm{b} }^{0.8}Pr_{\rm{b} }^{0.5}{\left( {{ { {\rho _{\rm{w} } } } }/{ { {\rho _{\rm{b} } } } } } \right)^{0.3} }{\left( {{ {\overline { {c_{\rm{p} } } } } }/{ { {c_{ {\rm{p,b} } } } } } } \right)^{0.4} }$ 8.1 100
        工质: CO2
        p= 8—12 MPa,G= 2971 kg·m–2·s–1,q= 235—500 kW·m–2,Tin= 301.7—472 K
        流动方向: 水平
        Jackson[25] $Nu = 0.023Re_{\rm{b} }^{0.8}\overline {Pr} _{\rm{b} }^{0.5}{\left( { { { {\rho _{\rm{w} } } } }/{ { {\rho _{\rm{b} } } } } } \right)^{0.3} }$ 9.0 100
        工质: CO2
        p= 7.8—9.8 MPa,Reb=8×104—5×105,q≤ 2600 kW·m–2
        基于无量纲数修正
        Liao和Zhao[26] 垂直向上: 18.1 60.7
        $Nu = 0.354Re_{\rm{b} }^{0.8}Pr_{\rm{b} }^{0.4}{\left( {{ { {\rho _{\rm{w} } } } }/{ { {\rho _{\rm{b} } } } } } \right)^{1.297} }{\left( {{ {\overline { {c_{\rm{p} } } } } }/{ { {c_{ {\rm{p,b} } } } } } } \right)^{0.296} }Bo_{\rm{m} }^{ {\rm{0} }{\rm{.157} } }$
        垂直向下:
        $Nu = 0.643Re_{\rm{b} }^{0.8}Pr_{\rm{b} }^{0.4}{\left( { { { {\rho _{\rm{w} } } } }/{ { {\rho _{\rm{b} } } } } } \right)^{2.154} }{\left( { { {\overline { {c_{\rm{p} } } } } }/{ { {c_{ {\rm{p,b} } } } } } } \right)^{0.751} }Bo_{\rm{m} }^{ {\rm{0} }{\rm{.186} } }$
        水平:
        $Nu = 0.124Re_{\rm{b} }^{0.8}Pr_{\rm{b} }^{0.4}{\left( {{ { {\rho _{\rm{w} } } } }/{ { {\rho _{\rm{b} } } } } } \right)^{0.842} }{\left( {{ {\overline { {c_{\rm{p} } } } } }/{ { {c_{ {\rm{p,b} } } } } } } \right)^{0.384} }Bo_{\rm{b} }^{ {\rm{0} }{\rm{.203} } },~ Bo = { {Gr} }/{ {Re_{\rm{b} }^{2.7} } }$
        工质: CO2
        p= 7.4—12 MPa,G= 236—1179 kg·m–2·s–1,q= 10—200 kW·m–2,Tin= 295—385 K
        Kim 等[10] $Nu = 0.226Re_{\rm{b}}^{1.174}Pr_{\rm{b}}^{1.057}{\left( {{{{\rho _{\rm{w}}}}}/{{{\rho _{\rm{b}}}}}} \right)^{0.571}}{\left( {{{\overline {{c_{\rm{p}}}} }}/{{{c_{{\rm{p,b}}}}}}} \right)^{1.032}}A{c^{0.489}}B{u^{0.0021}}$ 42.3 11.0
        $Ac = \dfrac{ { {q^ + } } }{ {Re_{\rm b}^{0.625} } }{\left( {\dfrac{ { {\rho _{\rm{b} } } }}{ { {\rho _{\rm{w} } } } } } \right)^{0.5} }\left( {\dfrac{ { {\mu _{\rm{w} } } }}{ { {\mu _{\rm{b} } } } } } \right), ~Bu = \dfrac{ {G{r_{\rm{q} } } }}{ {Re_{\rm{b} }^{3.425}Pr_{}^{0.8} } }{\left( {\dfrac{ { {\rho _{\rm{b} } } }}{ { {\rho _{\rm{w} } } } } } \right)^{0.5} }\left( {\dfrac{ { {\mu _{\rm{w} } } }}{ { {\mu _{\rm{b} } } } } } \right)$
        工质: CO2
        p= 7.46—10.29 MPa,G= 208—874 kg·m–2·s–1,q= 38—234 kW·m–2,Tin= 302—388 K
        流动方向: 垂直向上
        Bovard 等[11] $Nu = 0.040063Re_{\rm{b}}^{1.40418}Pr_{\rm{b}}^{0.97767359}{\left( {\dfrac{{{\rho _{\rm{w}}}}}{{{\rho _{\rm{b}}}}}} \right)^{0.573108}}{\left( {\dfrac{{\overline {{c_{\rm{p}}}} }}{{{c_{{\rm{p,b}}}}}}} \right)^{0.11577}}A{c^{0.396203}}B{u^{0.13746}}$ 82.8 0
        $Ac = \dfrac{{{q^ + }}}{{Re_b^{0.625}}}{\left( {\dfrac{{{\rho _{\rm{b}}}}}{{{\rho _{\rm{w}}}}}} \right)^{0.5}}\left( {\dfrac{{{\mu _{\rm{w}}}}}{{{\mu _{\rm{b}}}}}} \right),~ Bu = \dfrac{{G{r_{\rm{m}}}}}{{Re_{\rm{b}}^{3.425}Pr_{}^{0.8}}}{\left( {\dfrac{{{\rho _{\rm{b}}}}}{{{\rho _{\rm{w}}}}}} \right)^{0.5}}\left( {\dfrac{{{\mu _{\rm{w}}}}}{{{\mu _{\rm{b}}}}}} \right)$
        工质: CO2
        p= 6.5—8.335 MPa,G= 51—236 kg·m–2·s–1,q= 52—85 kW·m–2,Tin= 302 K
        流动方向: 垂直向上
        Liu 等[17] $Nu = 0.00075Re_{\rm{b}}^{0.93}\overline {Pr} _{\rm{b}}^{0.68}{\left( {\dfrac{{{\rho _{\rm{w}}}}}{{{\rho _{\rm{b}}}}}} \right)^{0.42}}\exp \left( {B{u^{ - 0.023}}} \right)\exp \left( {A{c^{0.079}}} \right)\left[ {1 + 2.63/\left( {L/D} \right)} \right]$ 28.7 3.5
        $Bu = \dfrac{{G{r_{\rm{m}}}}}{{Re_{\rm{b}}^{2.625}Pr_{\rm{w}}^{0.4}}}{\left( {\dfrac{{{\rho _{\rm{b}}}}}{{{\rho _{\rm{w}}}}}} \right)^{0.5}}\left( {\dfrac{{{\mu _{\rm{w}}}}}{{{\mu _{\rm{b}}}}}} \right),~ Ac = \dfrac{{4{q^ + }}}{{Re_b^{0.625}}}{\left( {\dfrac{{{\rho _{\rm{b}}}}}{{{\rho _{\rm{w}}}}}} \right)^{0.5}}\left( {\dfrac{{{\mu _{\rm{w}}}}}{{{\mu _{\rm{b}}}}}} \right)$
        工质: CO2
        p= 7.4—10.6 MPa,G= 298.8—1506.5 kg·m–2·s–1,q= 4.7—296 kW·m–2,Tin= 257—322 K
        流动方向: 垂直向上
        Zhang等[19] $Nu = \left\{ \begin{gathered} 0.00672Re_{\rm{b} }^{1.414}\overline {Pr} _{\rm{b} }^{ - 0.005}{\left( {\dfrac{ { {\rho _{\rm{w} } } } }{ { {\rho _{\rm{b} } } } } } \right)^{0.448} }{\left( {\dfrac{ {\overline { {c_{\rm{p} } } } } }{ { {c_{ {\rm{p,b} } } } } } } \right)^{0.218} }Bo_{\rm{m} }^{ {\rm{0} }{\rm{.586} } },\quad {H_{\rm{b} } } < 0.9{H_{ {\rm{pc} } } } \\ 0.056Re_{\rm{b} }^{0.829}\overline {Pr} _{\rm{b} }^{0.35}{\left( {\dfrac{ { {\rho _{\rm{w} } } } }{ { {\rho _{\rm{b} } } } } } \right)^{ - 0.095} }{\left( {\dfrac{ {\overline { {c_{\rm{p} } } } } }{ { {c_{ {\rm{p,b} } } } } } } \right)^{0.214} }Bo_{\rm{m} }^{ {\rm{0} }{\rm{.142} } }, \quad {H_{\rm{b} } } \geqslant 0.9{H_{ {\rm{pc} } } } \\\end{gathered} \right.$ 64.9 0
        工质: CO2
        p= 7.5—10.5 MPa,G= 50—500 kg·m–2·s–1,q= 5—100 kW·m–2,Tin= 266—313 K
        流动方向: 垂直向上
        下载: 导出CSV
      • [1]

        [2]

        [3]

        [4]

        [5]

        [6]

        [7]

        [8]

        [9]

        [10]

        [11]

        [12]

        [13]

        [14]

        [15]

        [16]

        [17]

        [18]

        [19]

        [20]

        [21]

        [22]

        [23]

        [24]

        [25]

        [26]

      • [1] 张海松, 卢茂聪, 李志刚.基于膨胀效应的超临界CO2类沸腾临界点模型. 必威体育下载 , 2024, 73(18): 184402.doi:10.7498/aps.73.20240293
        [2] 于博文, 何孝天, 徐进良.超临界CO2池式传热流固耦合传热特性数值模拟. 必威体育下载 , 2024, 73(10): 104401.doi:10.7498/aps.73.20231953
        [3] 刘曰利, 赵思杰, 陈文, 周静.SiO2/聚四氟乙烯复合介质材料热性能和介电性能的数值模拟. 必威体育下载 , 2022, 71(21): 210201.doi:10.7498/aps.71.20220839
        [4] 张海松, 徐进良, 朱鑫杰.基于拟沸腾理论的超临界CO2管内传热恶化量纲分析. 必威体育下载 , 2021, 70(4): 044401.doi:10.7498/aps.70.20201546
        [5] 王存海, 郑树, 张欣欣.非规则形状介质内辐射-导热耦合传热的间断有限元求解. 必威体育下载 , 2020, 69(3): 034401.doi:10.7498/aps.69.20191185
        [6] 张翱, 张春秀, 陈云琳, 张春梅, 孟涛.反式卤素钙钛矿太阳能电池光伏性能的理论研究. 必威体育下载 , 2020, 69(11): 118801.doi:10.7498/aps.69.20200089
        [7] 李俊炜, 王祖军, 石成英, 薛院院, 宁浩, 徐瑞, 焦仟丽, 贾同轩.GaInP/GaAs/Ge三结太阳电池不同能量质子辐照损伤模拟. 必威体育下载 , 2020, 69(9): 098802.doi:10.7498/aps.69.20191878
        [8] 闫晨帅, 徐进良.超临界压力CO2在水平圆管内流动传热数值分析. 必威体育下载 , 2020, 69(4): 044401.doi:10.7498/aps.69.20191513
        [9] 王新鑫, 迟露鑫, 伍光凤, 李春天, 樊丁.Ar-O2混合气体电弧的数值模拟. 必威体育下载 , 2019, 68(17): 178102.doi:10.7498/aps.68.20190416
        [10] 温家乐, 徐志成, 古宇, 郑冬琴, 钟伟荣.异质结碳纳米管的热整流效率. 必威体育下载 , 2015, 64(21): 216501.doi:10.7498/aps.64.216501
        [11] 王小虎, 易仕和, 付佳, 陆小革, 何霖.二维高超声速后台阶表面传热特性实验研究. 必威体育下载 , 2015, 64(5): 054706.doi:10.7498/aps.64.054706
        [12] 李大树, 仇性启, 郑志伟.液滴碰撞液膜润湿壁面空气夹带数值分析. 必威体育下载 , 2015, 64(22): 224704.doi:10.7498/aps.64.224704
        [13] 徐肖肖, 吴杨杨, 刘朝, 王开正, 叶建.水平螺旋管内超临界CO2冷却换热的数值模拟. 必威体育下载 , 2015, 64(5): 054401.doi:10.7498/aps.64.054401
        [14] 郭亚丽, 魏兰, 沈胜强, 陈桂影.双液滴撞击平面液膜的流动与传热特性. 必威体育下载 , 2014, 63(9): 094702.doi:10.7498/aps.63.094702
        [15] 蒋勇, 贺少勃, 袁晓东, 王海军, 廖威, 吕海兵, 刘春明, 向霞, 邱荣, 杨永佳, 郑万国, 祖小涛.CO2激光光栅式扫描修复熔石英表面缺陷的实验研究与数值模拟. 必威体育下载 , 2014, 63(6): 068105.doi:10.7498/aps.63.068105
        [16] 李日, 王健, 周黎明, 潘红.基于体积平均法模拟铸锭凝固过程的可靠性分析. 必威体育下载 , 2014, 63(12): 128103.doi:10.7498/aps.63.128103
        [17] 李哲, 江海河, 王礼, 杨经纬, 吴先友.2 m Cr,Tm,Ho:YAG激光热退偏效应的数值模拟及实验研究. 必威体育下载 , 2012, 61(4): 044205.doi:10.7498/aps.61.044205
        [18] 杨平, 吴勇胜, 许海锋, 许鲜欣, 张立强, 李培.TiO2/ZnO纳米薄膜界面热导率的分子动力学模拟. 必威体育下载 , 2011, 60(6): 066601.doi:10.7498/aps.60.066601
        [19] 肖波齐, 陈玲霞, 蒋国平, 饶连周, 王宗篪, 魏茂金.池沸腾传热的数学分析. 必威体育下载 , 2009, 58(4): 2523-2527.doi:10.7498/aps.58.2523
        [20] 王可胜, 刘全坤, 张德元.D2钢系列涂层磨损性能的数值模拟. 必威体育下载 , 2009, 58(13): 89-S93.doi:10.7498/aps.58.89
      计量
      • 文章访问数:7780
      • PDF下载量:179
      • 被引次数:0
      出版历程
      • 收稿日期:2020-06-28
      • 修回日期:2020-09-09
      • 上网日期:2021-01-20
      • 刊出日期:2021-02-05

        返回文章
        返回