-
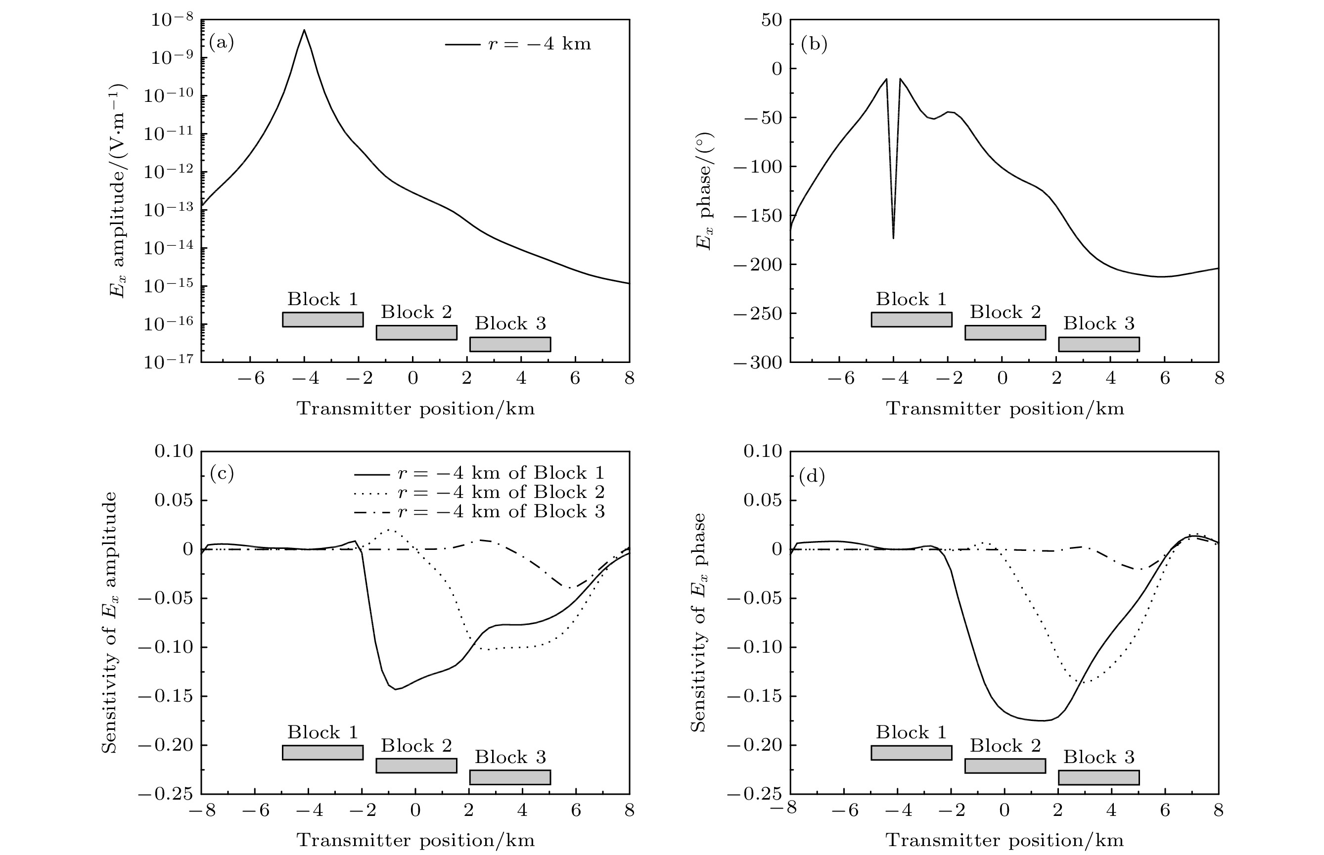
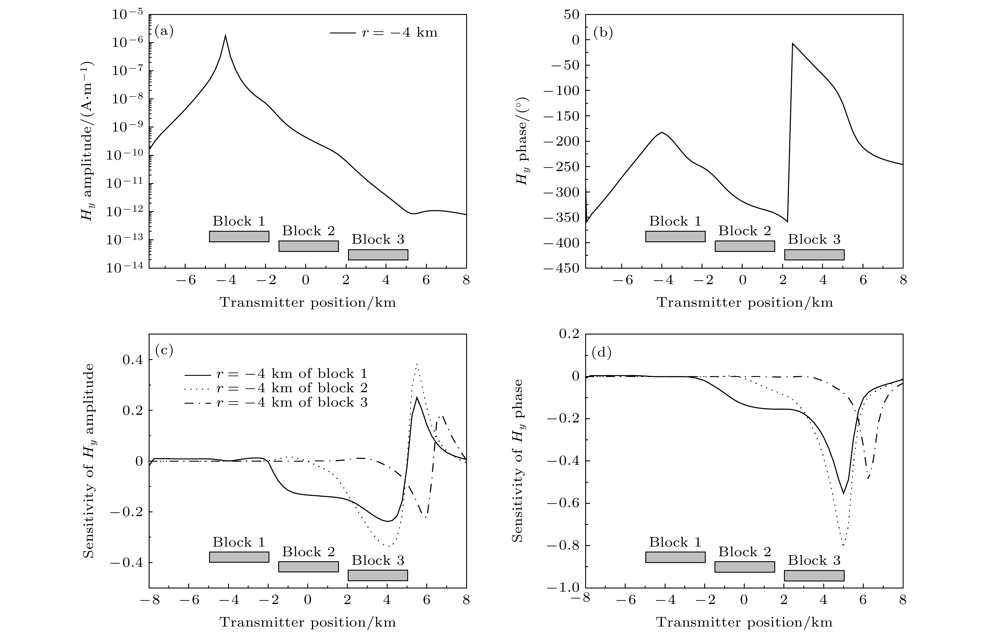
借助电场耦合势三维有限体积法与直接求解技术, 研究建立了一套海洋可控源三维电磁响应显式灵敏度矩阵(或称为Fréchet导数)高效算法. 首先, 利用Yee氏交错网格和有限体积法对电场混合势Helmholtz方程进行离散处理, 建立与移动源电磁场正演模拟相对应的大型代数方程组, 再应用直接法得到的逆矩阵和三维线性插值技术事先确定插值算子和投影算子, 并利用投影算子与各个发射源离散向量的乘积计算多发射源电磁响应, 极大地提高了多发射源电磁场正演模拟效率. 在此基础上, 根据块状模型和像素模型中异常体电导率分片常数分布特征, 将电导率摄动产生的一次散射电流场表示成Yee氏剖分网格上散射电流元的叠加, 由投影算子与散射电流元的离散向量的乘积快速计算出电场强度与磁场强度的显式灵敏度矩阵. 最后, 通过数值计算检验算法的有效性, 并通过块状模型与像素模型分别研究海洋可控源电磁响应特征.In this paper, an efficient algorithm of three-dimensional (3D) explicit sensitivity (or called Fréchet derivatives) matrix for marine controlled source electromagnetic measurements is established by combining an electric coupled potential finite volume method with a direct solver PARDISO direct method. Firstly, on the Yee’s staggered grids, the coupled potential Helmholtz equations are discretized to form a large, sparse and complex linear system which is excited by mobile transmitters. Secondly, through the inversion of the discrete matrix and 3D linear interpolation formula, the interpolation operators and projection operators are established for each receiver at different positions. Because these interpolation operators and projection operators are unrelated to transmitters, they can be computed in advance according to the positions of all receivers. Then the multiple projection operators with discrete vector of each transmitter source can efficiently produce the electromagnetic (EM) responses. On the basis, the goal conductivity of block model and pixel model is expressed as a piece-wise constant function. By perturbing the goal conductivity, the scattered electric current density can be decomposed into a series of electric current elements distributed on Yee’s grids. Each scattered current element is equal to the product of relative perturbation of conductivity and the electric intensity on the grid. The discrete vector on the right-hand side is computed by integrating each scattered current element on the Yee’s grid and then being multiplied with the project operator. Then the linear relationship between the changes in EM field and the relative conductivity perturbation on each block or pixel can be fast produced to obtain the explicit sensitivity matrix about EM responses. Finally, numerical results demonstrate the efficiency and accuracy of this method. The characteristics of 3D sensitivity in three different cases are further investigated.
-
Keywords:
- marine controlled source electromagnetic measurement/
- sensitivity matrix/
- finite volume method/
- projection operator
[1] [2] [3] [4] [5] [6] [7] [8] [9] [10] [11] [12] [13] [14] [15] [16] [17] [18] [19] [20] [21] [22] [23] [24] [25] [26] [27] [28] [29] [30] [31] [32] [33] [34] [35] [36] -
Method Number of transmitters Number of receivers Timet/
minEDM-block 65 3 49 FDM 65 3 72 EDM-block 65 5 50 FDM 65 5 108 -
[1] [2] [3] [4] [5] [6] [7] [8] [9] [10] [11] [12] [13] [14] [15] [16] [17] [18] [19] [20] [21] [22] [23] [24] [25] [26] [27] [28] [29] [30] [31] [32] [33] [34] [35] [36]
计量
- 文章访问数:4461
- PDF下载量:74
- 被引次数:0












下载:









