The YBa
2Cu
3O
7–δ(YBCO) step-edge Josephson junction on MgO substrate has recently been shown to have important applications in making advanced high-transition temperature (high-
T
C) superconducting devices such as high-sensitivity superconducting quantum interference device (SQUID), superconducting quantum interference filter, and THz detector. In this paper, we investigate the fabrication and transport properties of YBCO step-edge junction on MgO substrate. By optimizing the two-stage ion beam etching process, steps on MgO (100) substrates are prepared with an edge angle
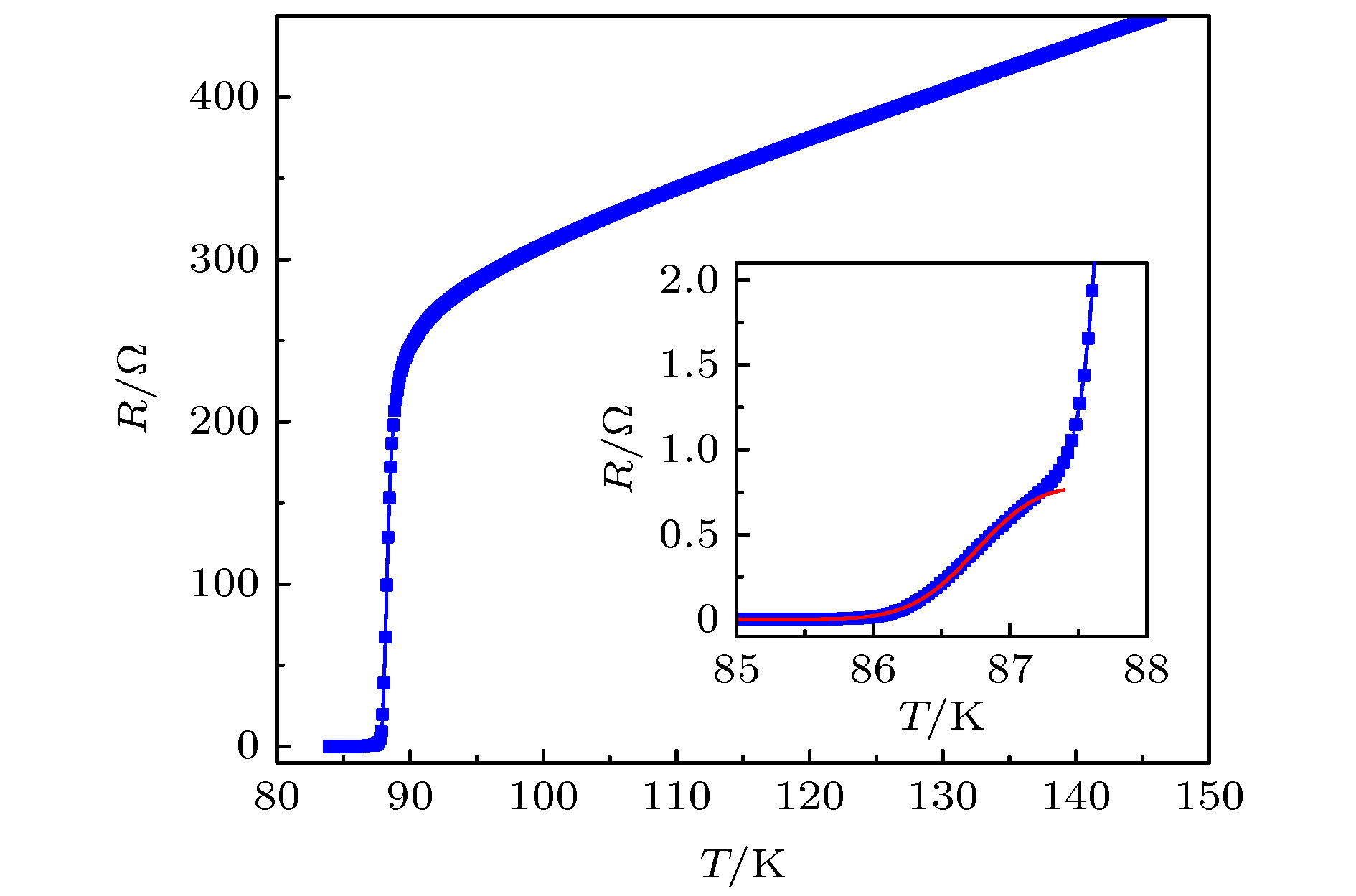
θof about 34°. The YBCO step-edge junctions are then fabricated by growing the YBCO thin films with a pulsed laser deposition technique and subsequent traditional photolithography. The resistive transition of the junction shows typical foot structure which is well described by the Ambegaokar-Halperin theory of thermally-activated phase slippage for overdamped Josephson junctions. The voltage-current curves with temperature dropping down to 77 K exhibit resistively shunted junction behavior, and the Josephson critical current density
J
Cis shown to follow the
$(T_{\rm C}-T)^2$
dependence. At 77 K, the
J
Cof the junction reaches 1.4 × 10
5A/cm
2, significantly higher than the range of 10
3–10
4A/cm
2as presented by other investigators for YBCO step-edge junctions on MgO substrate with comparable
θof 35°–45°. This indicates a rather strong Josephson coupling of the junction, and by invoking the results of YBCO bicrystal junctions showing similar values of
J
C, it is tentatively proposed that the presently fabricated junction might be described as an S-s′-S junction with s′ denoting the superconducting region of depressed
T
Cin the vicinity of the step edge or as an S-N-S junction with N denoting a very thin non-superconducting layer. By incorporating the MgO-based YBCO step-edge junction, high-
T
Cradio frequency (RF) SQUID is made. The device shows decent voltage-flux curve and magnetic flux sensitivity of 250
$ \text{μ}\Phi_0/{\rm Hz}^{1/2} $
at 1 kHz and 77 K, comparable to the values reported in the literature. To further improve the RF SQUID performance, efforts could be devoted to optimizing the junction parameters such as the junction
J
C. By using the YBCO step-edge junction on MgO substrate, high-
T
Cdirect current SQUID could also be developed, as reported recently by other investigators, to demonstrate the potential of MgO-based step-edge junction in making such a kind of device with superior magnetic flux sensitivity.