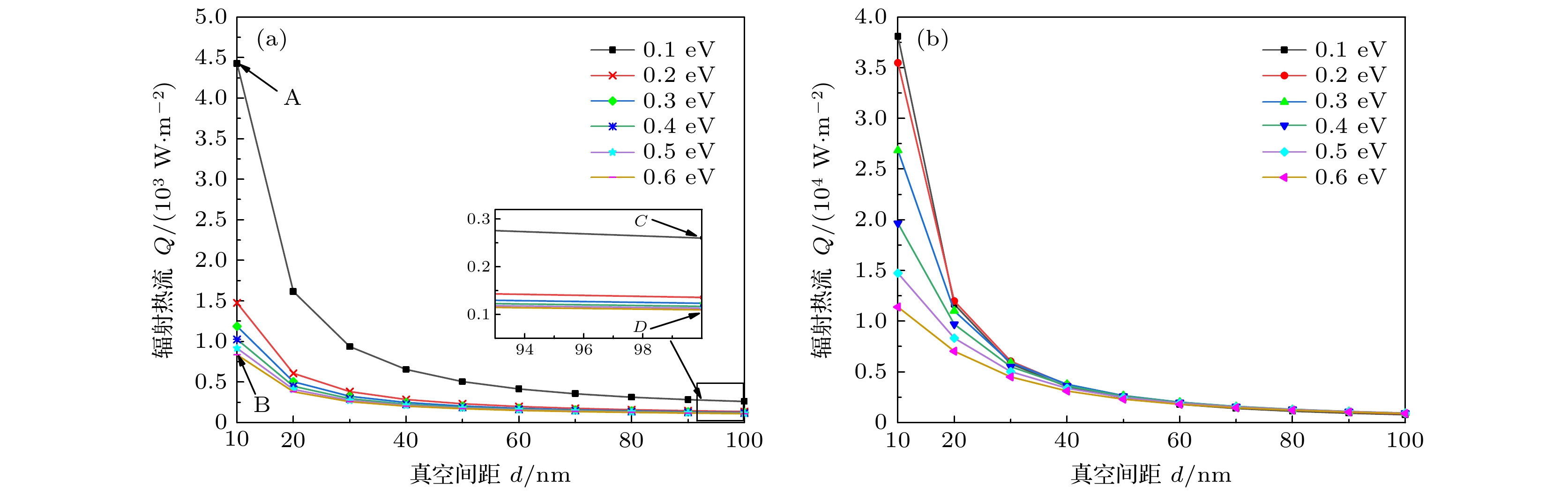
Near-field thermal radiation refers to the radiation produced by two radiators in a narrow gap that is smaller than the characteristic wavelength. The studies of near-field thermal radiation began in the 1960s and 1970s. Some researchers have reported that near-filed thermal radiation can be enhanced by orders of magnitude higher than that of far-field radiation by photon tunneling and surface polariton. With the development and application of nanotechnology, the near-field heat radiation has developed into a research hotspot in the field of heat radiation. Recent studies have shown that the properties of near-field thermal radiation can be enhanced by optimizing the structures of radiators (covered by two-dimensional (2D) materials, such as graphene and black phosphorus), choosing radiation materials (hexagonal boron nitride, silicon dioxide, vanadium dioxide), and selecting appropriate physical parameters (chemical potential, vacuum distance, film thickness) of the radiator materials. According to the fluctuation dissipation theory and by solving the Maxwell equation and the green's function, in this article we report the near-field thermal radiation of the two half-infinite flats, including vanadium dioxide V/V, vanadium dioxide covered by graphene GV/GV and vanadium dioxide film covered by graphene GV0/GV0. The near-field thermal radiations in these structures are influenced by physical parameters, such as vacuum spacing, thickness of vanadium dioxide film and chemical potential of graphene. The results show that near-field thermal radiation of GV0/GV0 (38088.43 W/m
2) is 8.6 times stronger than that of GV/GV (4426.73 W/m
2, vacuum distance is 10 nm, chemical potential is 0.1 eV), and near-field thermal radiation of GV/GV (4426.73 W/m
2) is 35 times stronger than that of V/V (127.21 W/m
2, vacuum distance is 10 nm, chemical potential is 0.1 eV). For these three structures, thermal radiation decreases gradually by widening the vacuum distance. Moreover, thermal radiation also decreases by thickening vanadium dioxide film. While thermal radiation of GV0/GV0 decreases 3.34 times as chemical potential of graphene increases from 0.1 (38088.43 W/m
2) to 0.6 eV (11399.80 W/m
2). In this paper, the near-field heat radiation between vanadium dioxide and graphene is systematically investigated, which will give the guidance in the relevant experiment and practical applications of near-field heat radiation between vanadium dioxide and graphene.