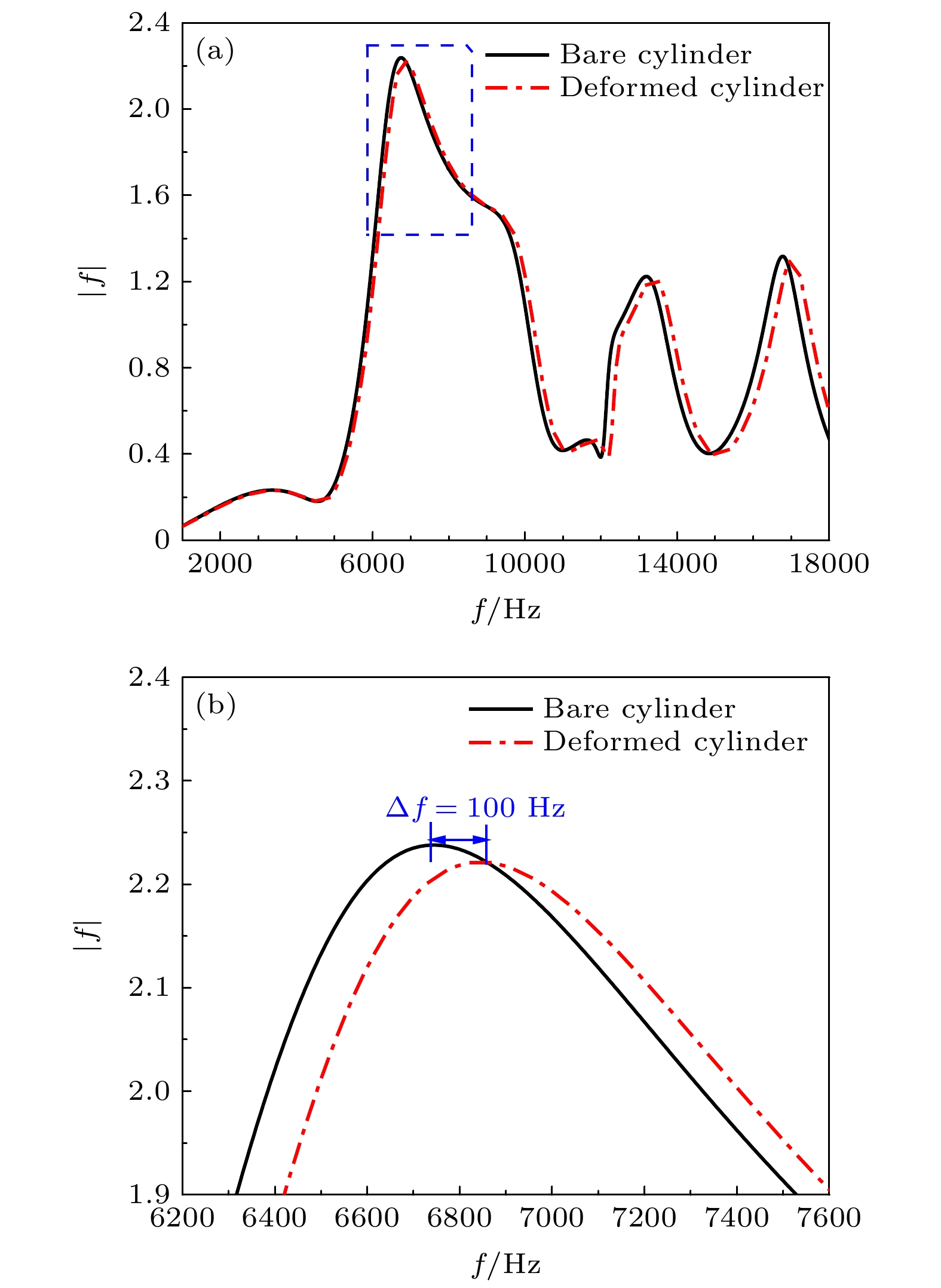
Backscattering enhancement associated with subsonic Rayleigh wave resonance of a polymethlmethacrylate (PMMA) cylinder is observed at low frequencies in water, which suggests that the PMMA cylinders may have essential applications in the low-frequency standard scatterer design. A slightly deformed surface structure with regular corrugation is presented to manipulate the low-frequency backscattering resonance frequency of PMMA cylinder passively. Using the perturbation method, the approximate resonance frequency shift is derived for an infinite slightly deformed cylinder with regular corrugations. Based on the phase matching of Rayleigh waves, the mechanism of low-frequency resonance frequency shift is revealed. Studies show that compared with a bare cylinder, a small boundary deformation can cause the propagation path of Rayleigh waves to change, namely, the Rayleigh waves propagate along the slightly deformed surface with regular corrugations. The modified propagation path can cause the propagation phase to change, which brings about the low-frequency backscattering resonance frequency shift of a PMMA cylinder. Furthermore, how the resonance frequency shifts with the deformation coefficient and period of the corrugation is discussed in detail. The backscattering resonance frequency of the regular corrugated cylinder shifts to low frequency with the increase of
ξunder the condition of the deformation coefficient
ξ> 0, but shifts to high frequency with the decrease of
ξat
ξ< 0, and the resonance frequency shift increases with the increase of absolute value of deformation coefficient. When corrugation period
m< 10, the phase variation with
mis too small, so the corrugation period has little effect on the resonance frequency shift. Finally, acoustic scattering experiment of the regular corrugated cylinder is conducted in the tank. The resonance frequency shift is obviously observed in the experiment, which is in good agreement with the theoretical prediction. Hence, the characteristics of backscattering enhancement associated with subsonic Rayleigh wave and the resonance frequency shifts make the PMMA deformed cylinder have potential applications such as in standard scatter design and identification using “AcoustiCode”.