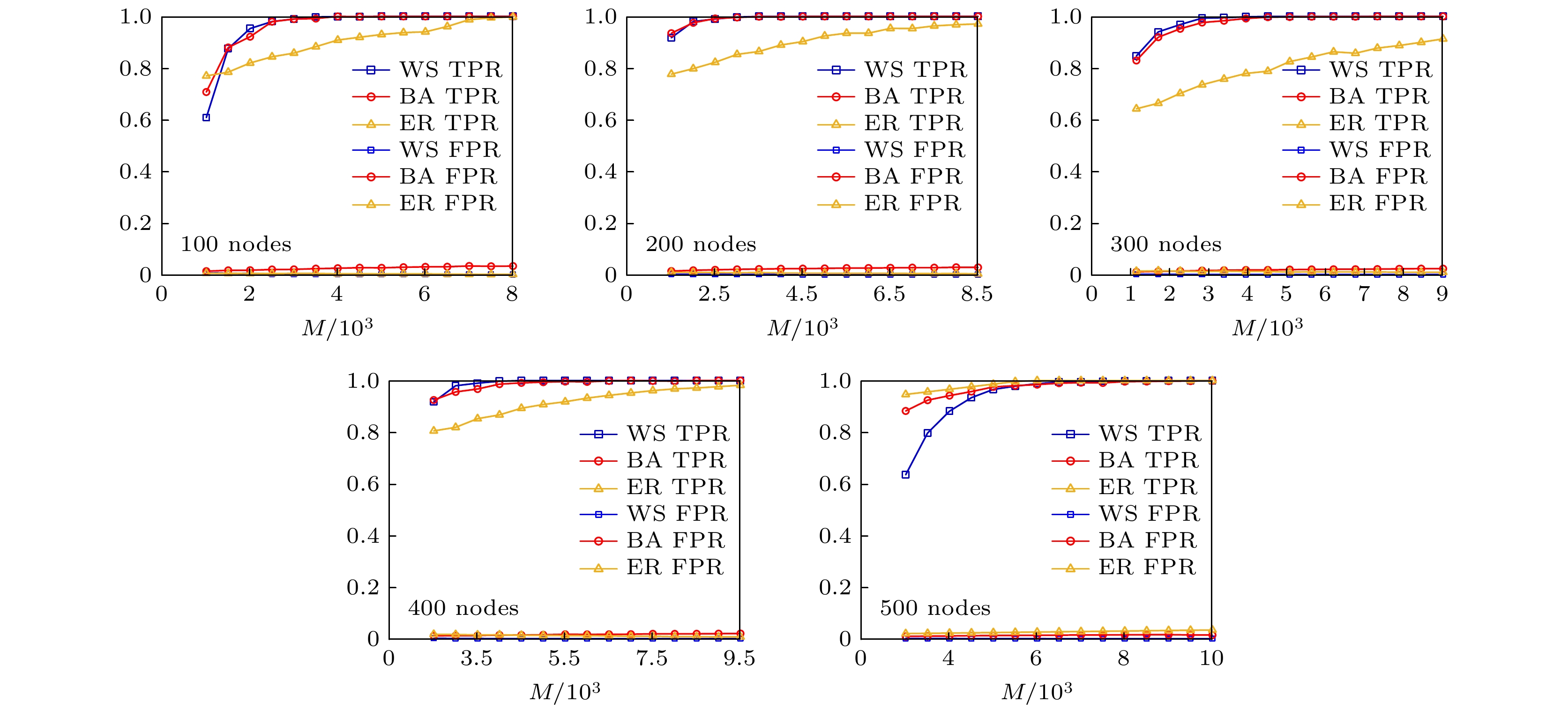
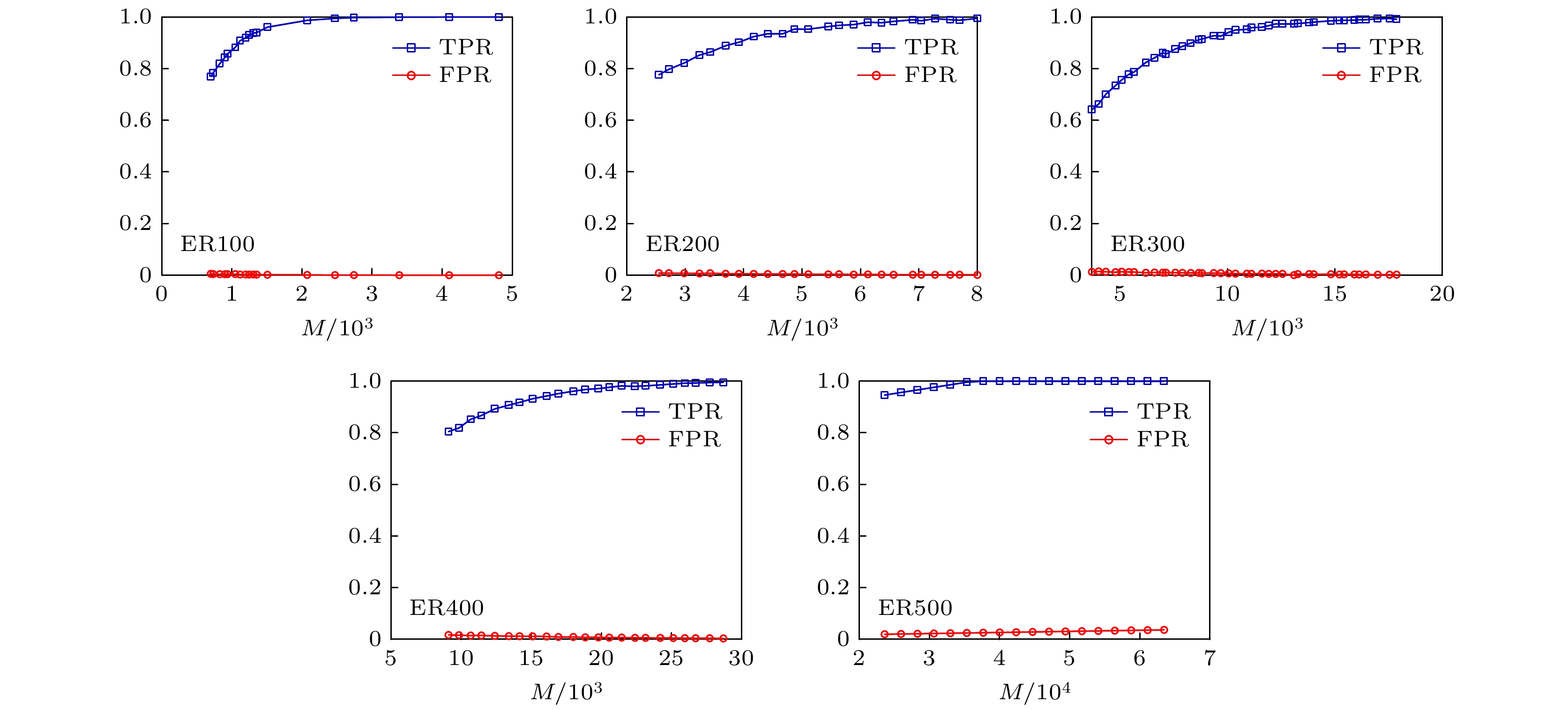
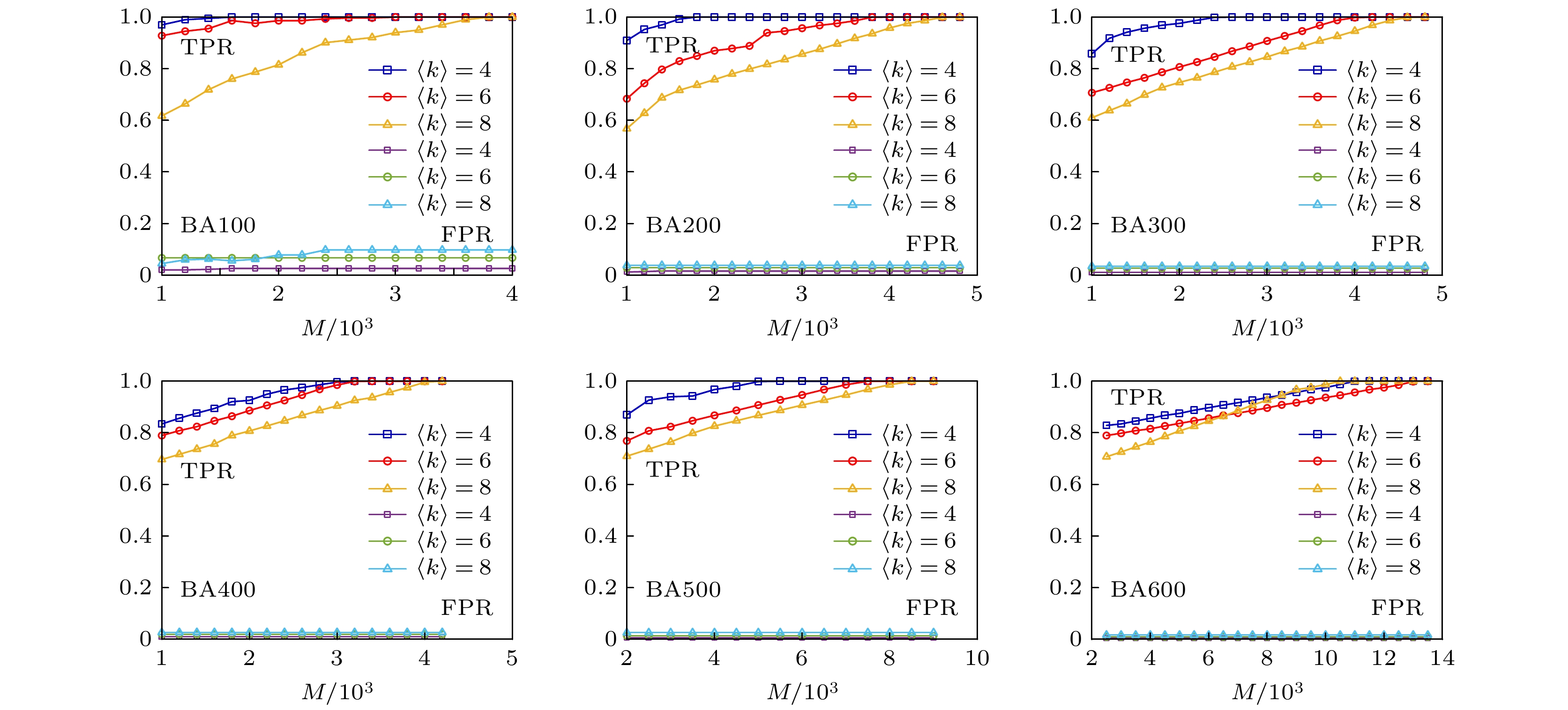
The structure and the function of network interact with each other. The function of network is often reflected as the dynamic process on the network. The dynamic process on the network is reflected by the behavior data in the network. Therefore, it is possible to reconstruct the network structure according to the observed data. This paper aims to solve the problem of how to restore the network topology according to the observable discrete data on the network. In this paper, an algorithm to infer the possibility of edge connection between nodes is proposed by using the similarity degree of each node corresponding to each discrete datum, and by reconstructing each local topology of the network through multiple discrete data, and by superposing the local topology obtained from multiple data, the global topology of the whole network is reconstructed finally. The data in the network are generated by SIR (Susceptible Infective Removed) model with infection probability of 0.2 and recovery probability of 1. Each time, a single node is selected as the infected node, and the final infection state of the network is counted as a network datum. In order to verify the feasibility and accuracy of the algorithm, the network reconfiguration experiments are carried out in small world, scale-free and random networks. Through the network reconstruction experiments in the networks of three different types and different scales, we can see that the performances of network reconstruction algorithm in different types of networks are different, and the average degree of network will affect the requirements for data of the network reconstruction algorithm. In order to verify the applicability of the algorithm, network reconstruction experiments are carried out on three practical networks. The results show that the algorithm can be applied to the reconstruction of large-scale networks. In order to show the accuracy of the algorithm more intuitively, we analyze the network reconstruction error after each network reconstruction experiment. The experiment shows that with the gradual increase of network data, the network reconstruction error gradually decreases and finally approaches to 0. In a nutshell, the algorithm we proposed in this work has good applicability and accuracy, and is suitable for different types of network topology reconstructions.