-
理解并量化影响钙钛矿太阳电池效率的因素, 对研发高性能器件尤为重要. 目前, 太阳电池普遍认可的三大损失为光学损失、欧姆损失和非辐射复合损失. 其中, 非辐射复合包括体复合和表面复合, 已被证明是制约电池效率提升的决定性因素. 本文提出了一种分析电池伏安特性曲线的等效电路模型, 能对上述损失机制进行全面描述, 并通过与漂移-扩散模型及实验结果的对比, 证实了电路模型的可靠性, 拟合误差在2%以内. 根据该模型, 可以准确判断电池内的主导复合机制, 并可从实际电池伏安曲线中提取不同效率损失对应的物理参数, 绘制电压扫描过程中各机制随电压的演化曲线, 从而理解效率损失的物理机理. 该模型从电路角度分析了不同损失机制对电池工作特性的影响, 有助于定位提高效率的关键点, 是一个较全面的钙钛矿太阳电池仿真分析工具.Perovskite solar cells have been attracting more and more attentions due to their extraordinary performances in the photovoltaic field. In view of the highest certified power conversion efficiency of 25.5% that is much lower than the corresponding Shockley-Queisser limit, understanding and quantifying the main loss factors affecting the power conversion efficiency of perovskite solar cells are urgently needed. At present, the three loss mechanisms generally recognized are optical loss, ohmic loss, and non-radiative recombination loss. Including the trap-assisted bulk recombination and surface recombination, the non-radiative recombination is proved to be the dominant recombination mechanism prohibiting the increase of efficiency. In this work, based on semiconductor physics, the expressions of bulk and surface recombination currents are analytically derived. Then taking the optical loss, series and shunt resistance losses, and bulk and surface recombination losses into considerations, an equivalent circuit model is proposed to describe the current density-voltage characteristics of practical perovskite solar cells. Furthermore, by comparing to the drift-diffusion model, the pre-defined physical parameters of the drift-diffusion model well agree with the fitting parameters retrieved by the equivalent circuit model, which verifies the reliability of the proposed model. For example, the carrier lifetimes in the drift-diffusion model are consistent with the recombination factors in the equivalent circuit model. Moreover, when the circuit model is applied to analyze experimental results, the fitting outcomes show favorable consistency to the physical investigations offered by the experiments. And the relative fitting errors of the above cases are all less than 2%. Through employing the model, the dominant recombination type is clearly identified and split current density-voltage curves characterizing different loss mechanisms are offered, which intuitively reveals the physical principles of efficiency loss. Additionally, through calculating the efficiency loss ratios under the open-circuit voltage condition, quantifying the above-mentioned loss mechanisms becomes simple and compelling. The prediction capability of the model is expected to be enhanced if a series of light intensity dependent current density-voltage curves are fitted simultaneously. Consequently, this model offers a guideline to approach the efficiency limit from a circuit-level perspective. And the model is a comprehensive simulation and analysis tool for understanding the device physics of perovskite solar cells.
-
Keywords:
- perovskite solar cell/
- equivalent circuit model/
- bulk recombination/
- surface recombination
[1] [2] [3] [4] [5] [6] [7] [8] [9] [10] [11] [12] [13] [14] [15] [16] [17] [18] [19] [20] [21] [22] [23] [24] [25] [26] [27] [28] [29] [30] [31] [32] -
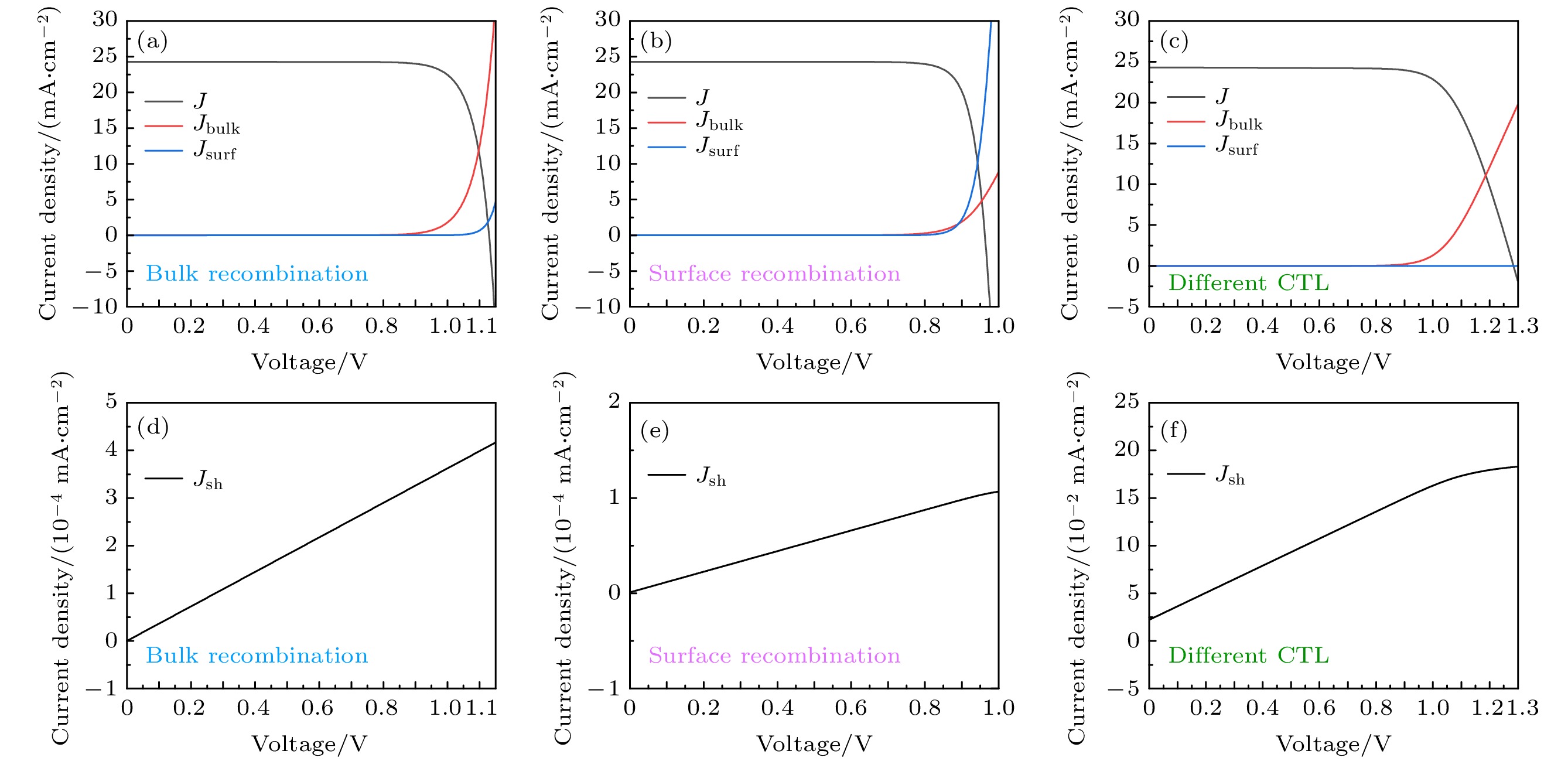
Cases $\gamma_ {\rm{bulk} }/{\rm s}^{-1}$ $\gamma_ {\rm{surf} }/{\rm s}^{-1}$ Rs/$\left({{\Omega} }\cdot {\rm{cm} }^2\right)$ $R_{{\rm{sh}}}$/$\left(\Omega \cdot {\rm{cm} }^2\right)$ $J_{{\rm{sc}}}/({\rm{mA}}\cdot {\rm{cm}}^{-2})$ $V_{{\rm{oc}}}$/V $FF$/% $PCE$/% Bulk $2.07\times10^6$ $3.48\times10^{5}$ $3.34\times10^{-3}$ $1.46\times10^{6}$ $24.28$ $1.13$ $82.33$ $22.58$ Surface $1.30\times10^7$ $1.95\times10^{9}$ $3.84\times10^{-1}$ $9.24\times10^{6}$ $24.30$ $0.96$ $84.32$ $19.74$ CTL $8.75\times10^4$ $0.86$ $7.03\times10^{-1}$ $7.00\times10^{3}$ $24.32$ $1.28$ $73.15$ $22.85$ 注1: Bulk代表仅考虑体复合, Surface代表仅考虑表面复合, CTL代表不考虑非辐射复合但改变传输层迁移率的情况. $\gamma_{{\rm{bulk}}}$代表体复合系数; $\gamma_{{\rm{surf}}}$代表表面复合系数; $R_{\rm{s}}$为串联电阻; $R_{{\rm{sh}}}$为并联电阻; $J_{{\rm{sc}}}$, $V_{{\rm{oc}}}$,FF和$PCE$分别代表经计算得到的短路电流、开路电压、填充因子和光电转换效率. Cases $\tau_{ {\rm{bulk} } }/{\rm s}$ ${\tau^{-1}_{ {\rm{bulk} } } }/{\rm s}^{-1}$ $\gamma_{ {\rm{bulk} } }/{\rm s}^{-1}$ $\tau_{ {\rm{surf} } }/{\rm s}$ ${\tau^{-1}_{ {\rm{surf} } } }/{\rm s}^{-1}$ $\gamma_{{\rm{surf}}}/{\rm s}^{-1}$ Bulk $1.00\times10^{-7}$ $1.00\times10^{7}$ $2.07\times10^{6}$ ${\rm{Inf}}$ ${\rm{Inf}}\ {\rm{small}}$ $3.48\times10^{5}$ Surface ${\rm{Inf}}$ ${\rm{Inf}}\ {\rm{small}}$ $1.30\times10^{7}$ $1.00\times10^{-9}$ $1.00\times10^9$ $1.95\times10^9$ CTL ${\rm{Inf}}$ ${\rm{ Inf}}\ {\rm{small}}$ $8.75\times10^{4}$ ${\rm{Inf}}$ ${\rm{Inf}}\ {\rm{small}}$ $0.86$ Cases $\gamma_{{\rm{bulk}}}/{\rm s}^{-1}$ $U_{{\rm{surf}}}/({\rm {nm}} \cdot{\rm {cm}}^{3} \cdot {\rm s}^{-1})$ ${R_{\rm{s}}}$/$\left(\Omega \cdot { {\rm{cm} } }^2\right)$ $R_{{\rm{sh}}}$/$\left(\Omega \cdot { {\rm{cm} } }^2\right)$ $J_{{\rm{sc}}}$/$\left({\rm{mA}} \cdot {\rm{cm}}^{-2}\right)$ $V_{{\rm{oc}}}$/${\rm{V}}$ $FF$/% $PCE$/% Control $7.43\times10^6$ $9.65\times10^{-7}$ $2.10$ $1.73\times10^{3}$ $21.29$ $1.06$ $76.03$ $17.24$ DTS $1.89\times10^6$ $8.61\times10^{-7}$ $3.71$ $1.83\times10^{3}$ $22.50$ $1.11$ $77.16$ $19.34$ DR3T $7.17\times10^5$ $1.96\times10^{-6}$ $4.20$ $1.63\times10^{3}$ $22.95$ $1.12$ $77.05$ $19.77$ -
[1] [2] [3] [4] [5] [6] [7] [8] [9] [10] [11] [12] [13] [14] [15] [16] [17] [18] [19] [20] [21] [22] [23] [24] [25] [26] [27] [28] [29] [30] [31] [32]
计量
- 文章访问数:11176
- PDF下载量:655
- 被引次数:0












下载:





