-
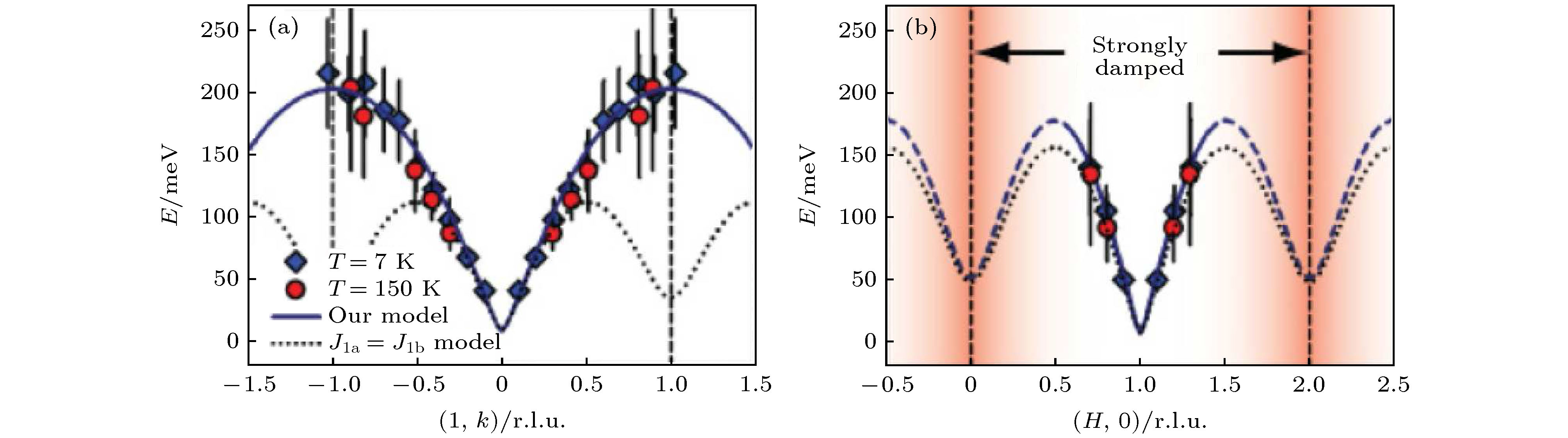
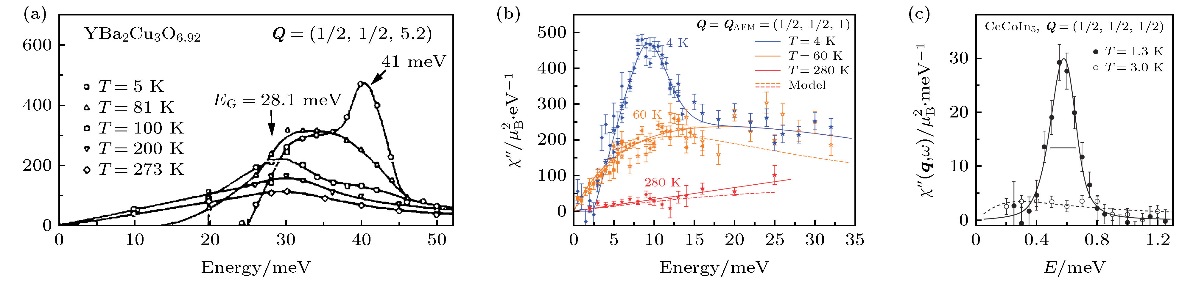
铜氧化物高温超导、铁基高温超导、重费米子超导和κ-型层状有机超导等超导体的超导态都与磁性有序态相邻, 且超导能隙在动量空间一般存在变号. 因此, 这些超导体的超导机理被认为有别于常规BCS超导中的电子交换声子导致的各向同性s-波配对. 在这些非常规超导中, 自旋涨落被认为是导致电子形成库珀对的主要起源之一. 本文主要以铜基和铁基高温超导为例简要综述非常规超导中的自旋序和自旋涨落性质, 二维哈伯徳模型中超导的起因及在解释铜基和铁基高温超导配对对称性的应用, 以及与非常规超导紧密相关的中子自旋共振模性质和理论解释. 我们认为, 尽管磁性和超导性的相互影响已经过多年研究, 但仍是当前一个富有挑战的活跃研究领域.High- T ccuprates, iron-based superconductors, heavy-fermion superconductors and κ-type layered organic superconductors share some common features − the proximity of the superconducting state to the magnetic ordered state and the non- s-wave superconducting pairing function. It is generally believed that the Cooper pairings in these unconventional superconductors are mediated by spin fluctuations. In this paper, we present a brief overview on the spin dynamics and unconventional pairing, focusing on high- T ccuprates and iron-based superconductors. In particular, we will overview the properties of the neutron spin resonance and its possible origin, the pairing mechanism in Hubbard model within the weak-coupling framework and its application to the aforesaid unconventional superconductors. We point out that the interplay between magnetism and superconductivity is still an area of active research.
-
Keywords:
- unconventional superconductivity/
- spin excitation/
- superconducting pairing symmetry/
- spin resonance
[1] [2] [3] [4] [5] [6] [7] [8] [9] [10] [11] [12] [13] [14] [15] [16] [17] [18] [19] [20] [21] [22] [23] [24] [25] [26] [27] [28] [29] [30] [31] [32] [33] [34] [35] [36] [37] [38] [39] [40] [41] [42] [43] [44] [45] [46] [47] [48] [49] [50] [51] [52] [53] [54] [55] [56] [57] [58] [59] [60] [61] [62] [63] [64] [65] [66] [67] [68] [69] [70] [71] [72] [73] [74] [75] [76] [77] [78] [79] [80] [81] [82] [83] [84] [85] [86] [87] [88] [89] [90] [91] [92] [93] [94] [95] [96] [97] [98] [99] [100] [101] [102] [103] [104] [105] [106] [107] [108] [109] [110] [111] [112] [113] [114] [115] [116] [117] [118] [119] [120] [121] [122] [123] [124] [125] [126] [127] [128] [129] [130] [131] [132] [133] [134] [135] -
[1] [2] [3] [4] [5] [6] [7] [8] [9] [10] [11] [12] [13] [14] [15] [16] [17] [18] [19] [20] [21] [22] [23] [24] [25] [26] [27] [28] [29] [30] [31] [32] [33] [34] [35] [36] [37] [38] [39] [40] [41] [42] [43] [44] [45] [46] [47] [48] [49] [50] [51] [52] [53] [54] [55] [56] [57] [58] [59] [60] [61] [62] [63] [64] [65] [66] [67] [68] [69] [70] [71] [72] [73] [74] [75] [76] [77] [78] [79] [80] [81] [82] [83] [84] [85] [86] [87] [88] [89] [90] [91] [92] [93] [94] [95] [96] [97] [98] [99] [100] [101] [102] [103] [104] [105] [106] [107] [108] [109] [110] [111] [112] [113] [114] [115] [116] [117] [118] [119] [120] [121] [122] [123] [124] [125] [126] [127] [128] [129] [130] [131] [132] [133] [134] [135]
计量
- 文章访问数:12340
- PDF下载量:963
- 被引次数:0












下载:









