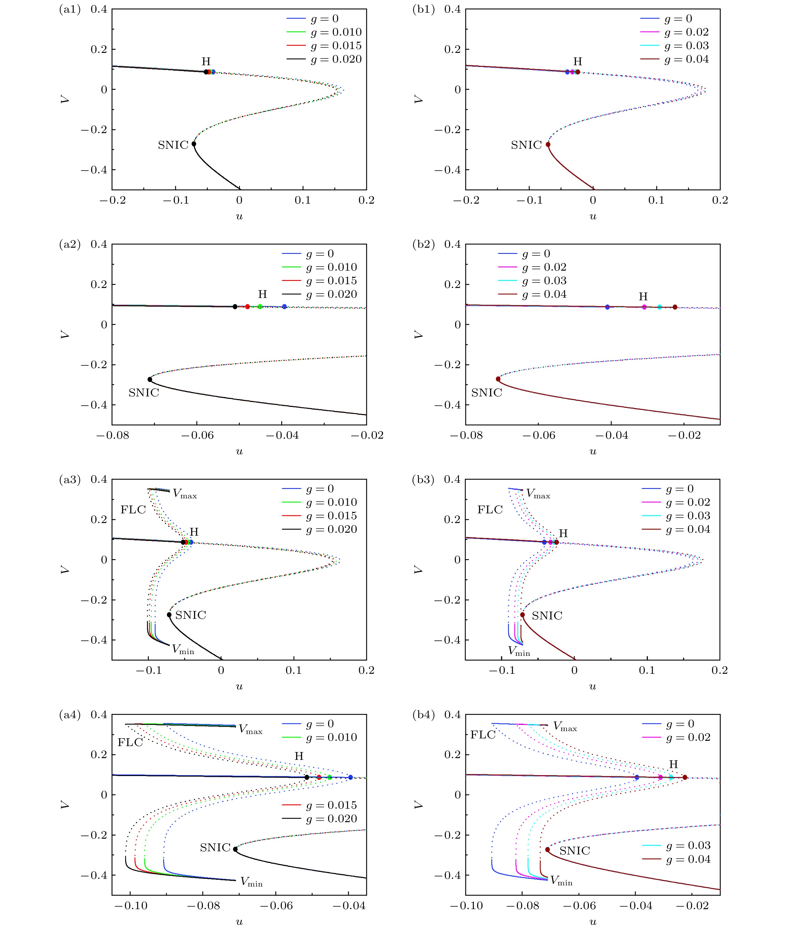
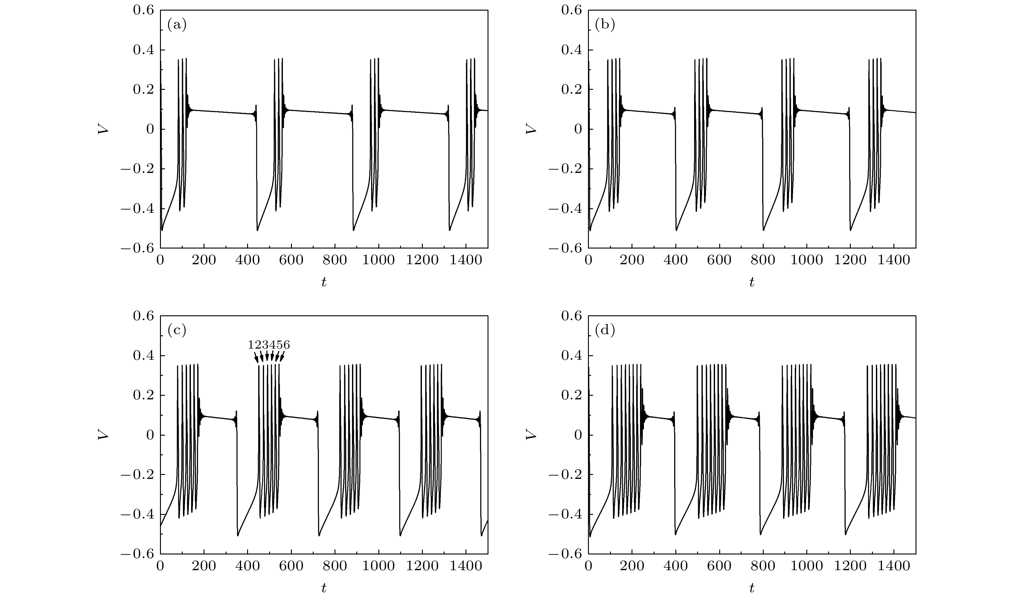
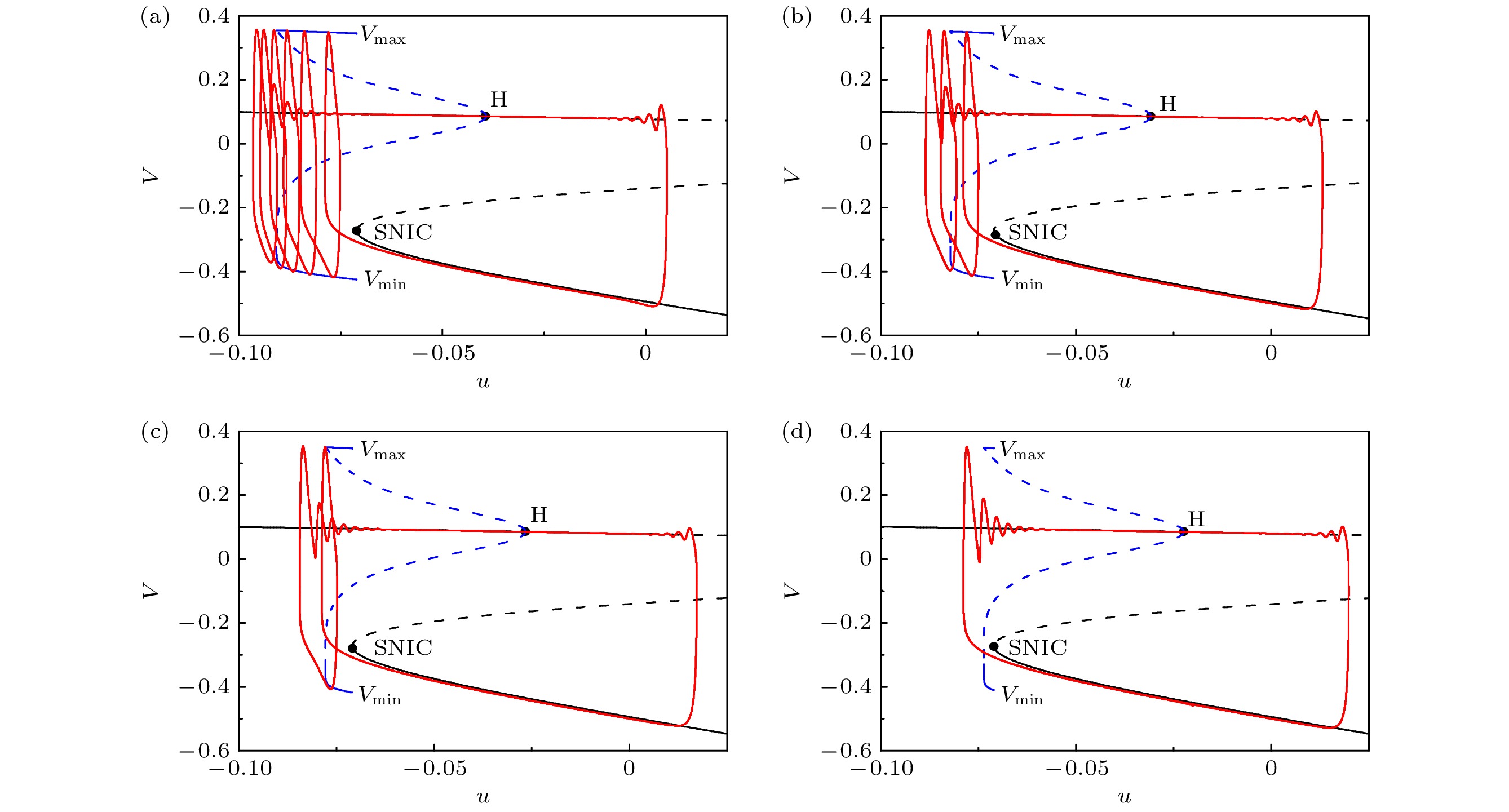
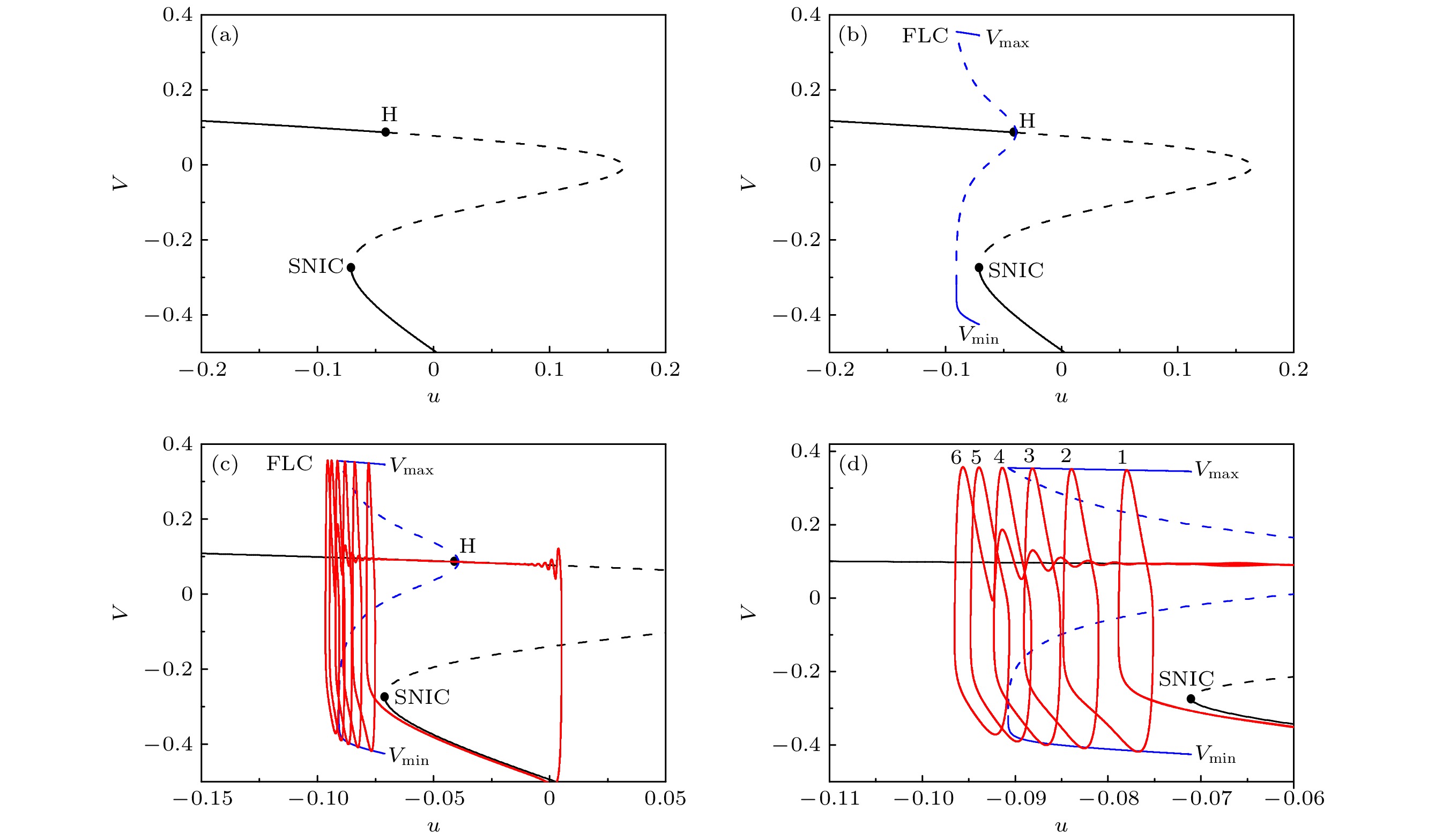
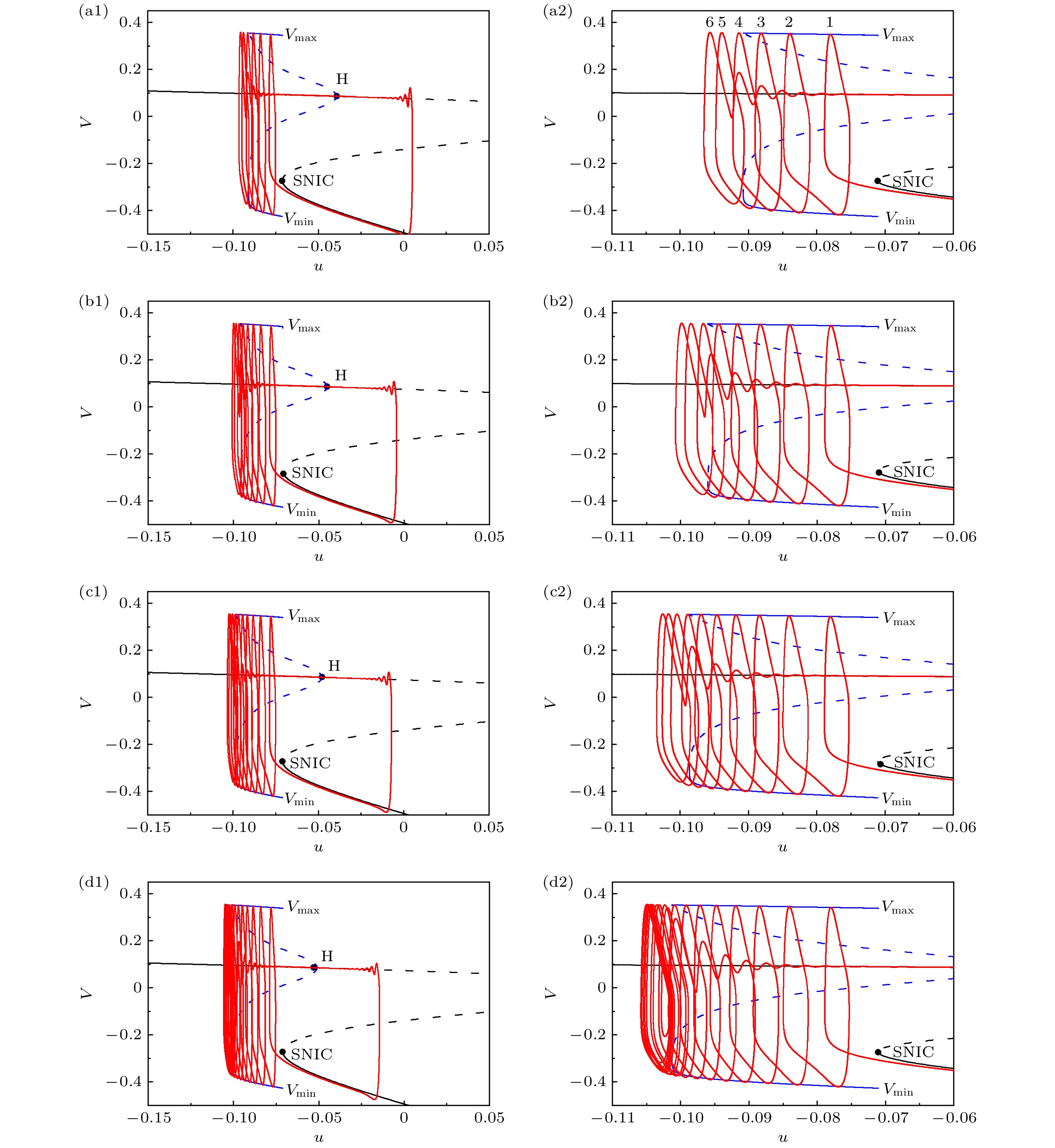
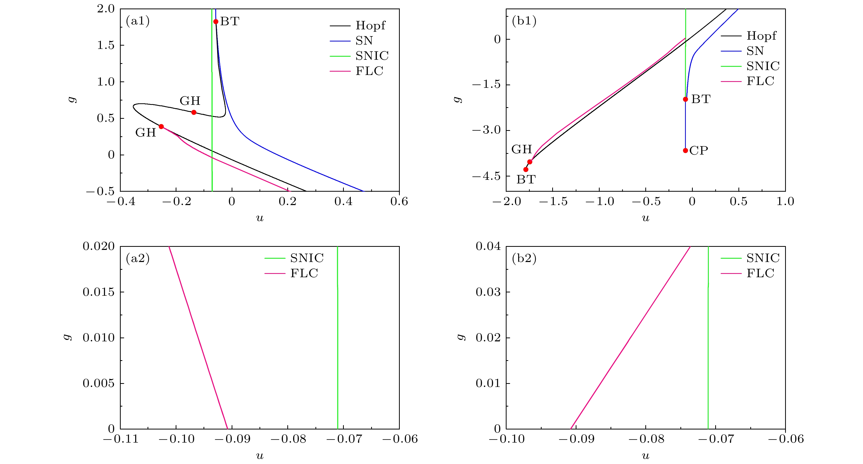
Bursting is a complex multiple-time-scale nonlinear phenomenon in a nervous system and exhibits diverse patterns, which is modulated by the excitatory or inhibitory effect to achieve the physiological functions. According to the bifurcations of the fast subsystem, bursting is classified as different patterns including the mixed-mode bursting. Recently, many studies have found the paradoxical phenomena contrary to the common concept that the inhibitory effect induces the electrical activity to decrease or the excitatory effect induces the discharge activity to increase, which enriches the connotation of the nonlinear dynamics. To identify more examples of paradoxical phenomena of different bursting patterns and the underlying nonlinear mechanism, in the present study the paradoxical phenomena for the complex mixed-mode oscillations of the bursting pattern induced by the self-feedback mediated by both the inhibitory autapse and excitatory autapse and the bifurcation mechanism are acquired in the modified Morris-Lecar model. By using the fast/slow variable dissection method, the complex dynamics of the bursting is acquired, which is that the depolarization block behavior appears after the burst and before the quiescent state. The burst begins from a saddle-node bifurcation in an invariant cycle (SNIC) and terminates at a fold limit cycle (FLC) bifurcation. Furthermore, the FLC bifurcation is identified to play a key role in generating the paradoxical phenomenon. The inhibitory autapse induces the FLC bifurcation to shift leftward. However, the SNIC point remains unchanged. The change of FLC bifurcation point leads the parameter range of the burst to widen, the number of spikes per burst to become larger, and the average firing frequency to turn higher. Unlike the inhibitory autapse, the excitatory autapse induces the FLC bifurcation to shift rightward, and SNIC to be unchanged, thus reducing the bursting activity. Such results are different from those of the paradoxical phenomenon induced by the inhibitory autapse instead of excitatory autapse for the other bursting pattern and by the slow auatpse, which present a novel example and regulation mechanism of the paradoxical phenomena of the bursting patterns and show the diversity of the paradoxical phenomena, thus helping understand the potential functions of the bursting and self-feedback modulations of the brain neurons.