-
高效率的网络分析方法对于分析、预测和优化现实群体行为具有重要的作用, 而加权机制作为网络重构化的重要方式, 在生物、工程和社会等各个领域都有极高的应用价值. 虽然已经得到越来越多的关注, 但是现有加权方法数量还很少, 而且在不同拓扑类型和结构特性现实网络中的效果和性能有待继续提高. 本文提出了一种新型的双模式加权机制, 该方法充分利用网络的全局和局部的重要拓扑属性(例如节点度、介数中心性和紧密中心性), 并构建了两种新型的运行模式: 一种是在原始模式中通过增加桥边的权重来提高同步能力; 另一种是在逆模式中通过弱化桥边的权重来提高聚类检测. 此外, 该加权机制仅受单一参数
$ \alpha $ 的影响, 非常便于调控. 在人工基准网络和现实世界网络中的实验结果均验证了该模型的有效性, 可以广泛应用于大规模的现实世界网络中.For many real world systems ranging from biology to engineering, efficient network computation methods have attracted much attention in many applications. Generally, the performance of a network computation can be improved in two ways, i.e., rewiring and weighting. As a matter of fact, many real-world networks where an interpretation of efficient computation is relevant are weighted and directed. Thus, one can argue that nature might have assigned the optimal structure and weights to adjust the level of functionality. Indeed, in many neural and biochemical networks there is evidence that the synchronized and coordinated behavior may play important roles in the system’s functionality. The importance of the network weighting is not limited to the nature. In computer networks, for example, designing appropriate weights and directions for the connection links may enhance the ability of the network to synchronize the processes, thus leading the performance of computation to improve. In this paper, we propose a new two-mode weighting strategy by employing the network topological centralities including the degree, betweenness, closeness and communication neighbor graph. The weighting strategy consists of two modes, i.e., the original mode, in which the synchronizability is enhanced by increasing the weight of bridge edges, and the inverse version, in which the performance of community detection is improved by reducing the weight of bridge edges. We control the weight strategy by simply tuning a single parameter, which can be easily performed in the real world systems. We test the effectiveness of our model in a number of artificial benchmark networks as well as real-world networks. To the best of our knowledge, the proposed weighting strategy outperforms previously published weighting methods of improving the performance of network computation.[1] [2] [3] [4] [5] [6] [7] [8] [9] [10] [11] [12] [13] [14] [15] [16] [17] [18] [19] [20] [21] [22] [23] [24] [25] [26] [27] [28] [29] [30] [31] [32] [33] [34] [35] [36] [37] [38] [39] [40] [41] [42] [43] [44] [45] [46] [47] [48] [49] [50] [51] [52] [53] [54] [55] [56] [57] [58] -
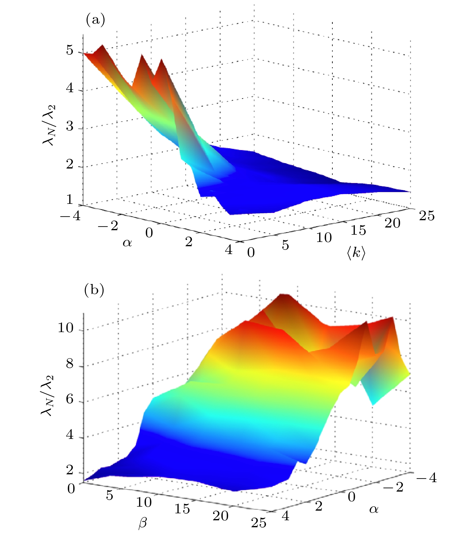
现实世界网络 N $ \left\langle k \right\rangle $ $ {\lambda }_{N}/{\lambda }_{2} $ Chavez Wang Jalili Khadivi RW SA VB PL This work 蛋白质结构网络2 53 4.64 20.92 20.54 6.06 5.83 5.61 4.87 4.43 4.59 4.27 海豚网络 62 5.12 16.89 43.01 6.83 6.22 6.04 5.33 5.07 5.30 4.95 蛋白质结构网络1 95 4.48 63.1 262.2 23.5 19.82 15.71 13.65 10.59 11.88 8.45 蛋白质结构网络3 99 4.37 43.75 299.85 13.07 10.84 10.27 9.87 9.14 9.00 8.02 中国航空网络 203 18.48 13.25 5.79 3.29 2.88 2.23 2.08 1.83 1.76 1.55 电子邮件通讯 1133 9.62 8.63 5.81 5.40 4.04 3.86 3.91 3.84 3.54 3.77 酵母蛋白质交互作用 1458 2.67 52.44 269.07 25.60 17.63 15.61 13.21 10.76 12.66 9.52 蛋白质交互作用 2840 2.92 34.87 41.60 16.50 13.85 11.48 10.47 8.94 9.87 5.50 中国电力网络 865 5.20 49.77 133.8 25.43 20.90 23.44 15.19 12.04 10.56 5.04 科学家合作网络 4380 3.25 68.31 273.14 38.69 25.87 20.02 17.36 10.42 11.77 7.21 因特网AS2 7690 4.00 12.90 3.26 2.94 2.15 2.04 2.10 1.91 1.59 1.88 因特网AS5 8063 4.10 12.88 3.41 3.37 2.56 2.27 2.09 1.97 2.20 1.83 网络 文献 最优Q SA[48] DA[49] CNM[10] 中国航空网络 [11] — 0.644/0.525 0.589/0.428 0.577/0.483 空手道俱乐部 [50] 0.420 0.416/0.342 0.411/0.351 0.413/0.376 《悲惨世界》 [51] 0.561 0.554/0.389 0.539/0.406 0.531/0.395 海豚社会网络 [52] 0.531 0.527/0.375 0.521/0.362 0.517/0.356 电子邮件 [53] 0.579 0.568/0.462 0.543/0.436 0.538/0.444 爵士乐 [54] 0.446 0.439/0.333 0.437/0.341 0.431/0.328 PGP密钥签名 [55] 0.878 0.883/0.674 0.843/0.705 0.872/0.754 网络 Chavez Wang Jalili Khadivi RW SA VB PL This work 空手道俱乐部 0.316 0.322 0.351 0.362 0.374 0.381 0.390 0.386 0.413 中国航空网络 0.449 0.478 0.423 0.432 0.506 0.543 0.564 0.578 0.603 《悲惨世界》 0.357 0.369 0.399 0.411 0.439 0.457 0.488 0.433 0.531 爵士乐 0.338 0.347 0.353 0.361 0.383 0.399 0.42 0.387 0.431 PGP密钥签名 0.583 0.678 0.676 0.715 0.744 0.786 0.839 0.820 0.872 海豚社会网络 0.357 0.381 0.371 0.374 0.406 0.444 0.483 0.500 0.517 电子邮件 0.368 0.409 0.431 0.443 0.471 0.499 0.503 0.495 0.538 -
[1] [2] [3] [4] [5] [6] [7] [8] [9] [10] [11] [12] [13] [14] [15] [16] [17] [18] [19] [20] [21] [22] [23] [24] [25] [26] [27] [28] [29] [30] [31] [32] [33] [34] [35] [36] [37] [38] [39] [40] [41] [42] [43] [44] [45] [46] [47] [48] [49] [50] [51] [52] [53] [54] [55] [56] [57] [58]
计量
- 文章访问数:4030
- PDF下载量:53
- 被引次数:0












下载:






