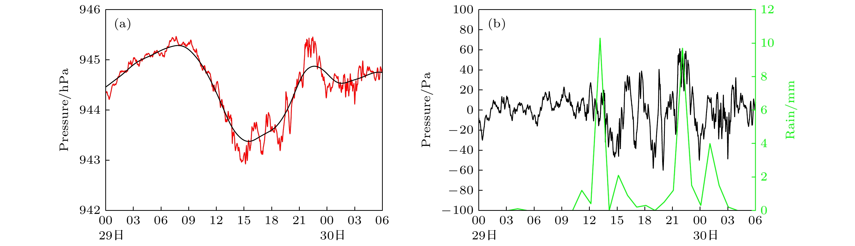
Taking advantage of high-precision microbarograph data, satellite, ground measured data and GDAS data, the characteristics of gravity waves during the cold vortex heavy rainfall in Northeast China on 29−30 July 2020 are analyzed. The results show that the gravity waves initiate this heavy rainfall. In 2−4 h before the heavy rainfall, there appear the precursor activities of gravity waves with a period of about 128 min. During the heavy rainfall, the periods of gravity waves concentrate in a range of 120−180 min. During the development of convective storms, there occur gravity waves with periods in a range of 128−256 min. And severe storms spark the gravity waves with shorter periods (8−64 min). The relationship between rainstorm and gravity wave is interactive. When severe storms develop, there occur thunderstorm high pressure, cold pool and out-flow boundary. In the front of cold pool, there is formed a flow convergence. The convergence and divergence of air flow propagate forward, forming gravity waves and finally triggering the rainstorm. The characteristics of precursor activities of gravity waves may play a positive role in warning heavy rainfall during the cold vortex in Northeast China.