-
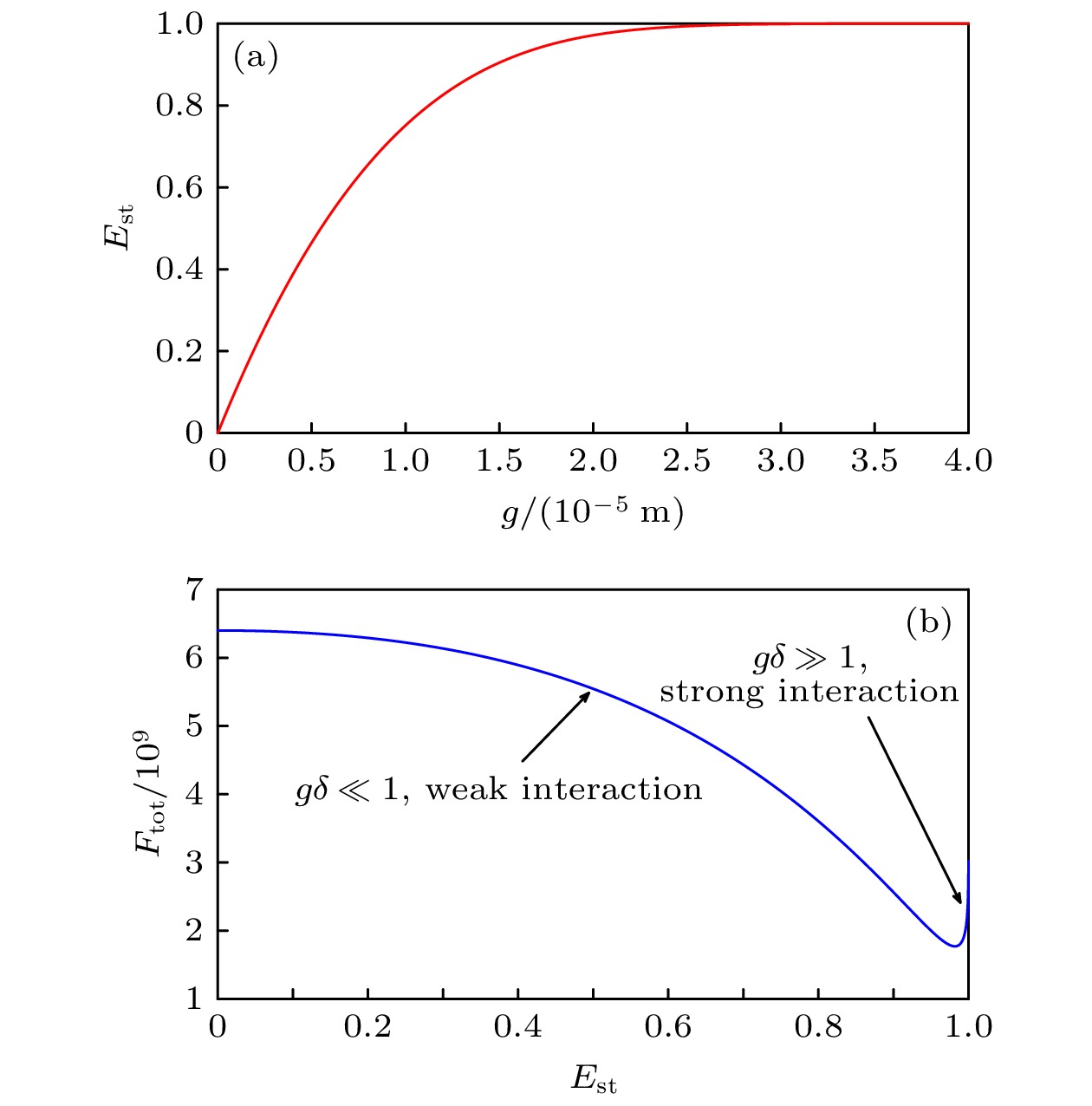
量子弱测量过程中适当的弱值可用于放大微弱物理参数并提高参数评估的精度, 这种参数评估精度的提高可能来源于体系中的纠缠. 本文借助Fisher信息研究了系统中的纠缠和系统与探针间的纠缠对弱测量过程中系统与探针间耦合参数的评估精度的影响. 分析了系统初态分别为类GHZ态的纠缠纯态和受退极化噪声影响的纠缠混态的纠缠, 以及系统和探针间的纠缠对参数评估的影响. 研究表明, 当系统初态为类GHZ态的纠缠纯态和受退极化噪声影响的纠缠混态时, Fisher信息随系统初态纠缠度的增大而增大, 且系统初末态均为最大纠缠态时, Fisher信息和后选择概率均达到最大; 但系统与探针的纠缠越弱, 测量能获得的Fisher信息越多, 参量估计的精度越高. 此研究结果表明系统中的纠缠会提高参数评估精度, 而系统与探针间的纠缠则会降低参数评估的精度.An appropriate weak value can be used to amplify weak physical parameters and improve the precision of parameter estimation in the process of quantum weak measurement. The increase of the precision of such a parameter estimation may originate from the entanglement in the system. This paper uses Fisher information to study the influence of the entanglement in the system and the entanglement between the system and the pointer on the estimation precision of the coupling parameters between the system and the pointer in the process of weak measurement. The entanglement of the entangled pure state of the GHZ-like state and the entangled mixed state affected by the depolarization noise and the influence of the entanglement between the system and the pointer on the parameter estimation are analyzed. The results show that the Fisher information quantity increases with the increase of the initial state entanglement degree of the system when the initial state of the system is an entangled pure state or an entangled mixed state affected by depolarization noise, and both the Fisher information quantity and the post-selection probability reach their maximum values when the initial and final state of the system are both the maximum entangled states; but the weaker the entanglement between the system and the pointer, the more the Fisher information obtained in the measurement will be and the higher the accuracy of parameter estimation. These research results show that the entanglement in the system will improve the precision of parameter estimation, while the entanglement between the system and the pointer will reduce the precision of parameter estimation.
-
Keywords:
- weak measurement/
- weak value/
- entanglement/
- Fisher information
[1] [2] [3] [4] [5] [6] [7] [8] [9] [10] [11] [12] [13] [14] [15] [16] [17] [18] [19] [20] [21] [22] [23] [24] -
系统初态 后选择概率 后选择后指针分布 $\left| S_{\rm{i}}^{{\rm{m}}} \right\rangle $ ${ {P}_{\rm{d} } } = \dfrac{1}{2}\left( 1-{ {\text{e} }^{-2{ {g}^{2} }{ {n}^{2} }{ {\delta }^{2} } } }\cos \varepsilon \right)$ $\dfrac{1}{ { {P}_{\rm{d} } } }{ {\sin }^{2} }\Big(ngp+\dfrac{\varepsilon }{2}\Big)P(p)$ $\left| S_{\rm{i}}^{({\rm{P}})} \right\rangle $ $ { {P}_{\rm{d} } }^{\prime } = { {2}^{-n} }\left( 1- { {\text{e} }^{-2{ {g}^{2} }{ {n}^{2} }{ {\delta }^{2} } } } \cos \varepsilon\right) $ $\dfrac{1}{ { {2}^{n-1} }{ {P}_{\rm{d} } }^{\prime } }{ {\sin }^{2} }\Big(ngp+\dfrac{\varepsilon }{2}\Big)P(p)$ -
[1] [2] [3] [4] [5] [6] [7] [8] [9] [10] [11] [12] [13] [14] [15] [16] [17] [18] [19] [20] [21] [22] [23] [24]
计量
- 文章访问数:5195
- PDF下载量:147
- 被引次数:0












下载:






