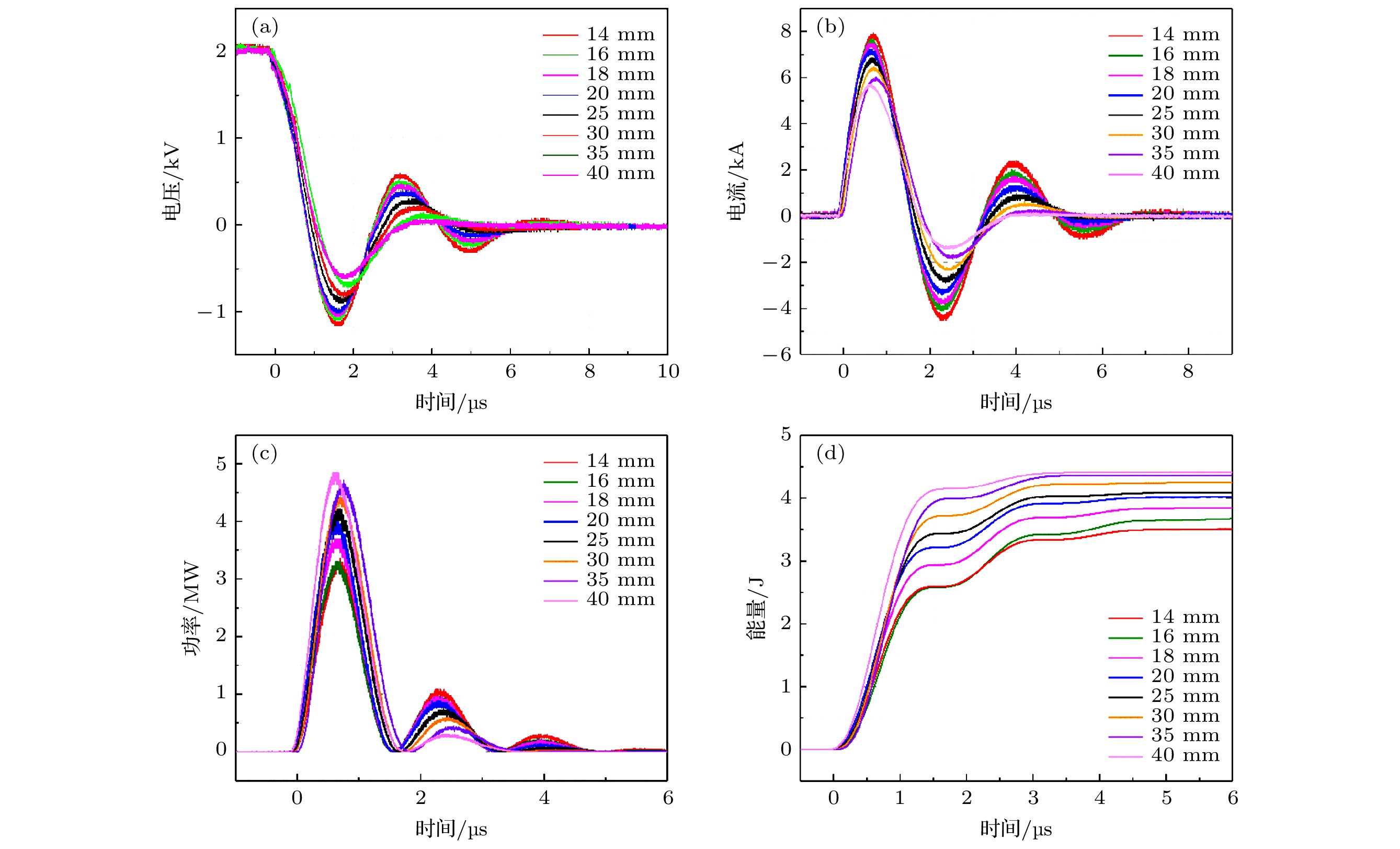
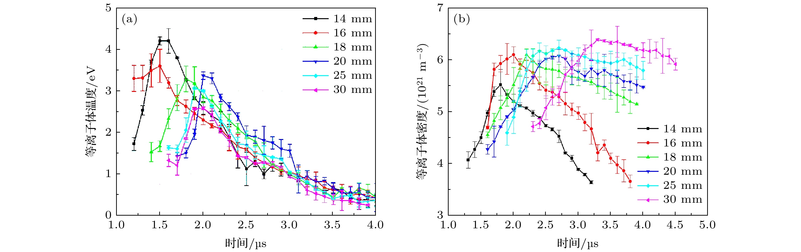
| [1] |
张津硕, 孙辉, 杜志杰, 张雪航, 肖青梅, 范金蕤, 闫慧杰, 宋健.预填充模式下同轴枪放电等离子体加速模型分析与优化. 必威体育下载 , 2023, 72(15): 155202.doi:10.7498/aps.72.20230463 |
| [2] |
祝昕哲, 李博原, 刘峰, 李建龙, 毕择武, 鲁林, 远晓辉, 闫文超, 陈民, 陈黎明, 盛政明, 张杰.面向激光等离子体尾波加速的毛细管放电实验研究. 必威体育下载 , 2022, 71(9): 095202.doi:10.7498/aps.71.20212435 |
| [3] |
余鑫, 漆亮文, 赵崇霄, 任春生.同轴枪正、负脉冲放电等离子体特性的对比. 必威体育下载 , 2020, 69(3): 035202.doi:10.7498/aps.69.20191321 |
| [4] |
刘涛, 赵永蓬, 崔怀愈, 刘晓琳.基于双程放大的毛细管放电69.8 nm激光增益特性. 必威体育下载 , 2019, 68(2): 025201.doi:10.7498/aps.68.20181617 |
| [5] |
焦蛟, 童继生, 马春光, 郭佶玙, 薄勇, 赵青.电磁波在高密度等离子体微柱腔体结构中的新传输模式. 必威体育下载 , 2018, 67(1): 015202.doi:10.7498/aps.67.20171728 |
| [6] |
杨亮, 张俊龙, 闫慧杰, 滑跃, 任春生.同轴枪脉冲放电等离子体输运过程中密度变化的实验研究. 必威体育下载 , 2017, 66(5): 055203.doi:10.7498/aps.66.055203 |
| [7] |
成玉国, 夏广庆.感应式脉冲推力器中等离子体加速数值研究. 必威体育下载 , 2017, 66(7): 075204.doi:10.7498/aps.66.075204 |
| [8] |
刘涛, 赵永蓬, 丁宇洁, 李小强, 崔怀愈, 姜杉.毛细管放电类氖氩69.8 nm激光增益特性研究. 必威体育下载 , 2017, 66(15): 155201.doi:10.7498/aps.66.155201 |
| [9] |
赵永蓬, 李连波, 崔怀愈, 姜杉, 刘涛, 张文红, 李伟.毛细管放电69.8nm激光强度空间分布特性研究. 必威体育下载 , 2016, 65(9): 095201.doi:10.7498/aps.65.095201 |
| [10] |
车学科, 聂万胜, 周朋辉, 何浩波, 田希晖, 周思引.亚微秒脉冲表面介质阻挡放电等离子体诱导连续漩涡的研究. 必威体育下载 , 2013, 62(22): 224702.doi:10.7498/aps.62.224702 |
| [11] |
赵永蓬, 徐强, 肖德龙, 丁宁, 谢耀, 李琦, 王骐.Xe介质极紫外光源时间特性及最佳条件研究. 必威体育下载 , 2013, 62(24): 245204.doi:10.7498/aps.62.245204 |
| [12] |
张华, 吴建军, 张代贤, 张锐, 何振.用于脉冲等离子体推力器烧蚀过程仿真的新型机电模型. 必威体育下载 , 2013, 62(21): 210202.doi:10.7498/aps.62.210202 |
| [13] |
张锐, 张代贤, 张帆, 何振, 吴建军.脉冲等离子体推力器羽流沉积薄膜的结构与光学性质研究. 必威体育下载 , 2013, 62(2): 025207.doi:10.7498/aps.62.025207 |
| [14] |
胡明, 万树德, 钟雷, 刘昊, 汪海.磁控直流辉光等离子体放电特性. 必威体育下载 , 2012, 61(4): 045201.doi:10.7498/aps.61.045201 |
| [15] |
杨涓, 石峰, 杨铁链, 孟志强.电子回旋共振离子推力器放电室等离子体数值模拟. 必威体育下载 , 2010, 59(12): 8701-8706.doi:10.7498/aps.59.8701 |
| [16] |
黄文同, 李寿哲, 王德真, 马腾才.大气压下绝缘毛细管内等离子体放电及其特性研究. 必威体育下载 , 2010, 59(6): 4110-4116.doi:10.7498/aps.59.4110 |
| [17] |
孙 姣, 张家良, 王德真, 马腾才.一种新型大气压毛细管介质阻挡放电冷等离子体射流技术. 必威体育下载 , 2006, 55(1): 344-350.doi:10.7498/aps.55.344 |
| [18] |
赵永蓬, 程元丽, 王 骐, 林 靖, 崛田荣喜.毛细管放电激励软x射线激光的产生时间. 必威体育下载 , 2005, 54(6): 2731-2734.doi:10.7498/aps.54.2731 |
| [19] |
程元丽, 栾伯含, 吴寅初, 赵永蓬, 王 骐, 郑无敌, 彭惠民, 杨大为.预脉冲在毛细管快放电软x射线激光中的作用. 必威体育下载 , 2005, 54(10): 4979-4984.doi:10.7498/aps.54.4979 |
| [20] |
陈 钢, 潘佰良, 姚志欣.气体脉冲放电等离子体阻抗的参量研究. 必威体育下载 , 2003, 52(7): 1635-1639.doi:10.7498/aps.52.1635 |