-
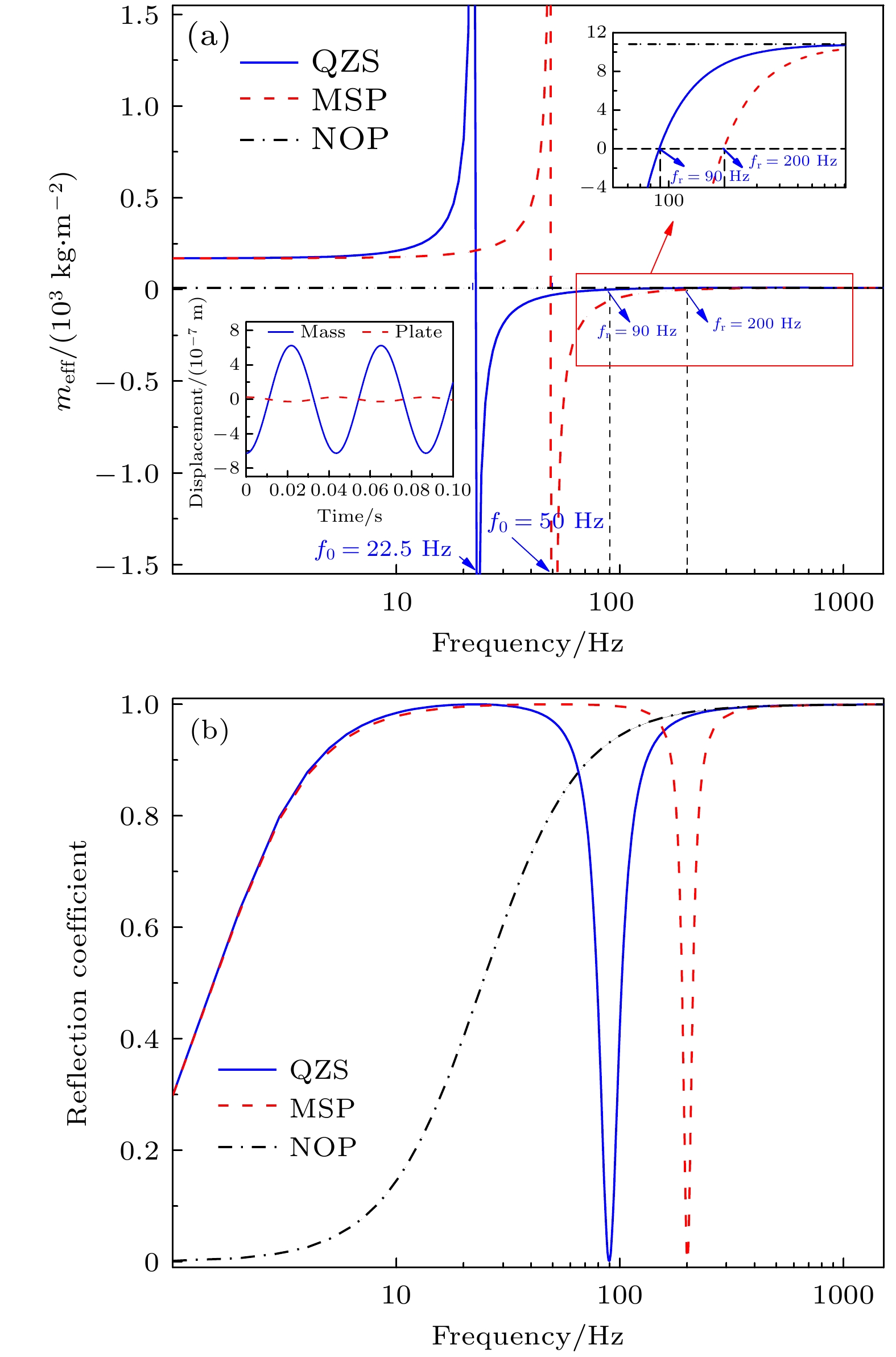
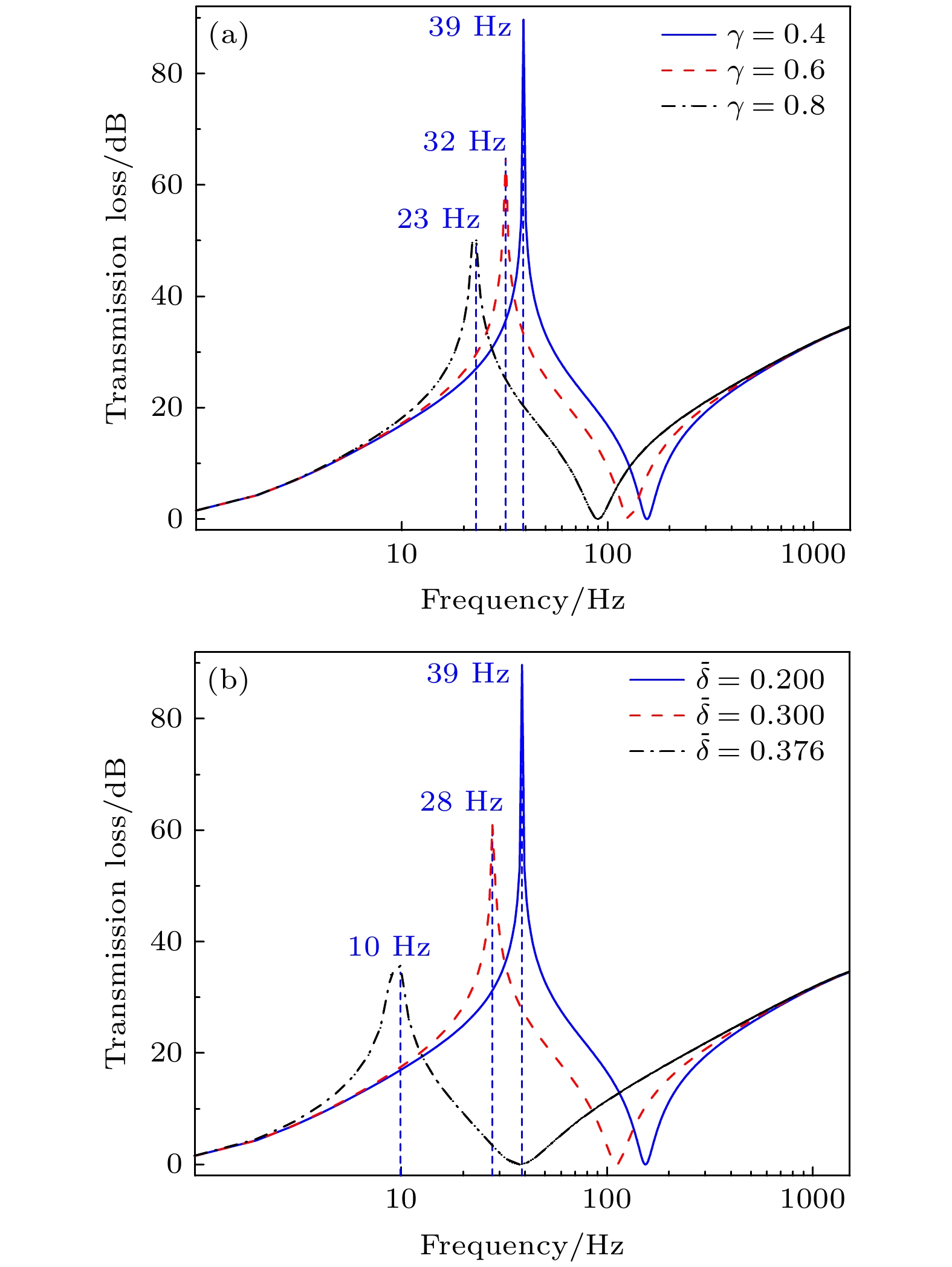
在传统弹簧-振子局域共振基础上, 本文并联倾斜弹簧负刚度机构, 提出一种新型的准零刚度局域共振型声学超材料板, 以实现低频宽频带有效隔声. 首先, 从动力学角度推导准零刚度结构的归一化等效刚度; 然后, 基于等效介质法建立声学超材料板的隔声理论模型, 并通过理论分析和数值模拟(有限元)结果, 讨论其在正负等效刚度区的隔声效果; 最后, 为验证理论预测的准确性, 制备准零刚度超材料板样件并采用阻抗管对其进行测试. 结果表明: 在正刚度区, 增大弹簧的刚度比或预压缩量可显著降低超材料板的局域共振频率, 如在10 Hz附近获得30 dB的传输损失, 实现了超低频隔声. 在负刚度区, 超材料板不产生局域共振现象, 且可避免“吻合效应”引起的隔声低谷现象, 故可在53—1500 Hz宽频段内实现大宽带隔声(大于30 dB), 相较传统材料或类似的超材料具有显著优势. 进一步利用理论模型, 从等效质量面密度、反射系数和声阻抗率等多个角度, 分析了超材料板的隔声机理, 在隔声峰处发现了负的等效质量密度, 且隔声谷处产生了低频“吻合效应”. 本文提出利用准零刚度局域共振思想实现低频宽带隔声的方法, 克服了传统超材料需减小刚度或增大附加质量的不利特性, 对低频隔声结构的设计具有重要的理论指导意义.For realizing the effective broadband insulation of sound at low frequencies, a novel local resonant acoustic metamaterial plate having quasi-zero stiffness is proposed. Based on the classical mass-spring local resonance model, a metastructure is constructed by introducing additional inclined springs with negative stiffness. First, the normalized equivalent stiffness of the quasi-zero stiffness structure is derived from the perspective of dynamics. Then, by employing the method of equivalent medium, a sound insulation model of the metastructure is established theoretically. For validation, numerical simulations as well as experimental measurements are carried out. It is demonstrated that in the positive (equivalent) stiffness regime, increasing either the stiffness ratio or pre-compression can significantly reduce the local resonance frequency of the metastructure, which exhibits the great insulation performance around the local resonance frequency. For a typical example, the proposed metastructure can achieve a transmission loss of 30 dB around 10 Hz. In contrast, within the negative stiffness regime, the metastructure does not exhibit local resonance, thus avoiding sound insulation valley caused by the “coincidence effect”. Compared with traditional materials or similar metamaterials, the proposed metastructure has significant advantages in sound insulation (e.g. more than 30 dB drop over a wide frequency band of 53-1500 Hz). By analyzing the equivalent mass density, reflection coefficient, and acoustic impedance ratio of the metastructure, the physical mechanism behind its superior insulation performance is further explored. The equivalent mass density changes from positive to negative and tends to infinity at the insulation peak. The insulation peak is attributed to a nearly perfect total reflection of sound wave caused by impedance mismatch, while the insulation valley is caused by low-frequency “coincidence effect” originating from the local resonance band gap. The using of the quasi-zero stiffness local resonance to achieve low-frequency broadband sound insulation overcomes the disadvantages of traditional metamaterials such as reduced stiffness or additional mass, thus becoming vastly attractive for constructing low-frequency broad band sound insulation structures.
-
Keywords:
- metamaterial/
- local resonance/
- quasi-zero stiffness/
- low frequency range/
- sound insulation
[1] [2] [3] [4] [5] [6] [7] [8] [9] [10] [11] [12] [13] [14] [15] [16] [17] [18] [19] [20] [21] [22] [23] [24] [25] [26] [27] [28] [29] -
Material $\rho $/(kg⋅m–3) E/(1010Pa) Possion ratio Aluminum 2700 7 0.33 Steel 7780 21.06 0.3 Epoxy resin 1150 0.435 0.38 Plumbum 11600 40.8 0.369 Model a/mm h/mm k1/(N⋅m–1) Stiffness ratio Pre-compression m/kg QZS 25 4 10000 0.8 0.2 0.1 MSP 25 4 10000 0 0 0.1 NOP 25 4 0 0 0 0 Group k1/(N⋅m–1) Stiffness ratio Pre-compression Case1 10000 0.4 0.2 Case2 10000 0.6 0.2 Case3 10000 0.8 0.2 Case4
Case510000
100000.4
0.40.3
0.376Group k1/(N⋅m–1) Stiffness ratio Pre-compression Case1 10000 2.0 0.2 Case2 10000 3.0 0.2 Case3
Case410000
100000.8
0.80.4
0.8k1/(N·m–1) k2/(N·m–1) Pre-compression m/g Experimentf0/Hz FEMf0/ Hz A 35137.8 11322.1 0.2 19.14 178 176 B 35137.8 1093.16 0.2 19.14 211 210 C 35137.8 11322.1 0.2 10.17 254 242 D 35137.8 11322.1 0.02 10.17 300 289 -
[1] [2] [3] [4] [5] [6] [7] [8] [9] [10] [11] [12] [13] [14] [15] [16] [17] [18] [19] [20] [21] [22] [23] [24] [25] [26] [27] [28] [29]
计量
- 文章访问数:7045
- PDF下载量:279
- 被引次数:0












下载:










