-
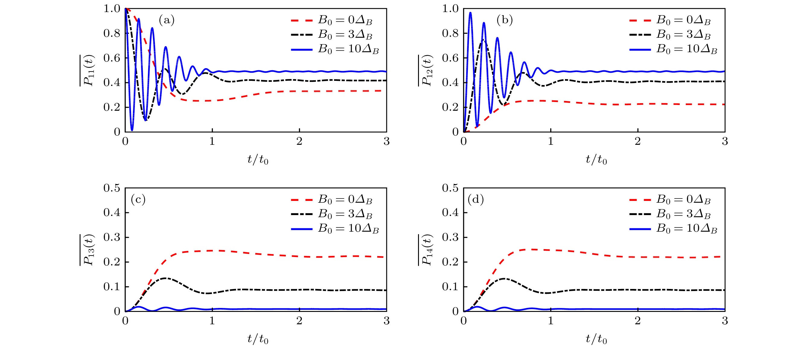
实现量子中继的关键是克服量子储存器中纠缠态的退相干问题. 目前, 人们常用半导体量子点中的电子自旋来构建纠缠态从而实现量子中继过程. 在该过程中, 两个半导体量子点之间相距很远, 可以认为它们之间没有相互作用. 因此, 量子点内电子自旋与它周围的核自旋之间的超精细相互作用被认为是导致系统退相干的最重要原因之一. 在以前的相关工作中, 人们通常将核自旋对电子自旋的超精细相互作用视为一个大小和方向都是随机的并且满足高斯分布的等效磁场. 本文在考虑核自旋的等效磁场以及外加磁场的情况下, 研究了两个量子点中继系统的退相干问题. 首先利用数值方法分别计算了4组Bell基随时间的演化规律, 发现当外加磁场增大到一定值时, 4组Bell基被分为两类. 体系不可能通过时间演化从一类Bell基跃迁到另一类Bell基, 而只能在同类的两个Bell基之间相互跃迁. 这有效提高了系统的保真度, 并且抑制了核自旋对体系纠缠态的影响, 从而抑制退相干. 其次, 对于给定的较大外加磁场, 采用解析方法研究了核自旋涨落对纠缠态的影响, 给出了初态保真度及退相干时间的解析形式. 发现对于相同的核自旋涨落, 4组Bell基的退相干时间相同, 但是两类Bell基随时间演化的规律不同, 其中一类的保真度在指数衰减的同时伴随快速周期性振荡, 不便于操控. 期望本文的研究能对问题提供理论支持和建议.The decoherence of entanglement states stored in quantum memory is a major obstacle when implementing a quantum repeater. So far, the electron spins in quantum dots are usually utilized to construct entangled states in quantum repeater. In the quantum repeater process, the distance between quantum dots is large, so the interaction between them can be neglected. Thus the hyperfine interaction between the electron spin and its neighbor nuclear spins in the quantum dot is considered to be the main reason for the decoherence of the system. In early researches, the hyperfine interaction between the electron spin and its neighbor nuclear spins was considered as an effective magnetic field whose magnitude and direction are random and the magnitude follows the Gaussian distribution. In this paper, we simultaneously consider an applied magnetic field and the interaction between the electron spin and its neighbor nuclear spins, and investigate the decoherence of the quantum repeater of two quantum dots. We first solve the time evolution of the system by the numerical method, and the result shows that when the applied magnetic field is increased to a certain value, the four Bell states can be divided into two kinds, each with two Bell states. The system cannot transit from the Bell state in one kind to that in the other kind, but can transit between two Bell states with in the same kind. This effectively improves the fidelity of the initial state and suppresses the decoherence of the system. For a given applied magnetic field with large magnitude, we theoretically study the effect of the fluctuation of nuclear spin on the entangled state, and give an analytical expression for each of the fidelity and the decoherence time of the initial state. We show that the decoherence times of the four Bell states are the same, but the time evolutions of the Bell states belonging to different kinds are different obviously. The fidelity of two Bell states not only decays exponentially but also oscillates rapidly, so such two Bell states are difficult to be manipulated and not suggested in quantum repeater process. The results in this paper are expected to provide theoretical suggestions for selecting the entangled states in quantum repeater.
-
Keywords:
- quantum teleportation/
- quantum repeater/
- decoherence of entanglement state/
- quantum fidelity
[1] [2] [3] [4] [5] [6] [7] [8] [9] [10] [11] [12] [13] [14] [15] [16] [17] [18] [19] [20] [21] [22] [23] [24] [25] [26] [27] [28] -
[1] [2] [3] [4] [5] [6] [7] [8] [9] [10] [11] [12] [13] [14] [15] [16] [17] [18] [19] [20] [21] [22] [23] [24] [25] [26] [27] [28]
计量
- 文章访问数:4266
- PDF下载量:85
- 被引次数:0












下载:




