-
自从Moriya和Kaplan在自旋轨道耦合的单带哈伯德模型中发现了对称的螺旋交换作用, Shekhtman, Entin和Aharony等用这种不可忽略的对称螺旋交换作用成功地解释了
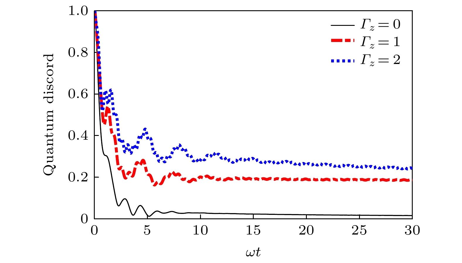
$ {\text{L}}{{\text{a}}_{\text{2}}}{\text{Cu}}{{\text{O}}_{\text{4}}} $ 的弱铁磁性. 本文应用非马尔科夫量子态扩散方法研究了具有Kaplan-Shekhtman-Entin-Wohlman-Aharony相互作用和Dzyaloshinskii-Moriya相互作用的自旋链系统中量子失协的非马尔科夫动力学演化问题, 分析了Kaplan-Shekhtman-Entin-Wohlman-Aharony相互作用在零温和有限温度下不同外加磁场时对量子失协的影响. 结果表明, 在没有磁场或仅有均匀磁场的情况下, 系统中的量子失协可以通过增加Kaplan-Shekhtman-Entin-Wohlman-Aharony相互作用而增加, 而在非均匀磁场中则相反. 更重要的是, 通过调节均匀磁场和Kaplan-Shekhtman-Entin-Wohlman-Aharony相互作用可以得到理想的失协状态. 此外, 还分别讨论了Kaplan-Shekhtman-Entin-Wohlman-Aharony相互作用在马尔科夫环境和有限温度下对量子失协的影响.Since the discovery of symmetric helical interactions in the spin-orbit coupled single-band Hubbard model by Moriya and Kaplan, Shekhtman, Entin, Aharony et al. have successfully used this non-negligible symmetric helical exchange interaction to explain the weak ferromagnetism of La 2CuO 4. By using the non-Markovian quantum state diffusion method, the quantum discord of non-Markovian dynamics in the spin chain system that has Kaplan–Shekhtman–Entin-Wohlman–Aharony interactions and Dzyaloshinskii-Moriya interactions is studied. The effects of Kaplan–Shekhtman–Entin-Wohlman–Aharony interaction on the quantum discord under different external magnetic fields at zero and finite temperatures are discussed. The results show that the quantum discord in the system can be increased via the increasing of Kaplan–Shekhtman–Entin-Wohlman–Aharony interaction in the case of zero or uniform magnetic field, while the case is opposite under the nonuniform magnetic field. More importantly, the ideal discord state can be obtained by modulating the uniform magnetic field and Kaplan–Shekhtman–Entin-Wohlman–Aharony interaction. Moreover, the Markovian case and the effect of temperature on the quantum discord are also discussed, respectively.-
Keywords:
- non-markovian quantum state diffusion method/
- quantum discord/
- magnetic field/
- Kaplan-Shekhtman-entin-Wohlman-Aharony interaction
[1] [2] [3] [4] [5] [6] [7] [8] [9] [10] [11] [12] [13] [14] [15] [16] [17] [18] [19] [20] [21] [22] [23] [24] [25] [26] [27] [28] [29] [30] [31] [32] [33] -
[1] [2] [3] [4] [5] [6] [7] [8] [9] [10] [11] [12] [13] [14] [15] [16] [17] [18] [19] [20] [21] [22] [23] [24] [25] [26] [27] [28] [29] [30] [31] [32] [33]
计量
- 文章访问数:4162
- PDF下载量:76
- 被引次数:0












下载:


