-
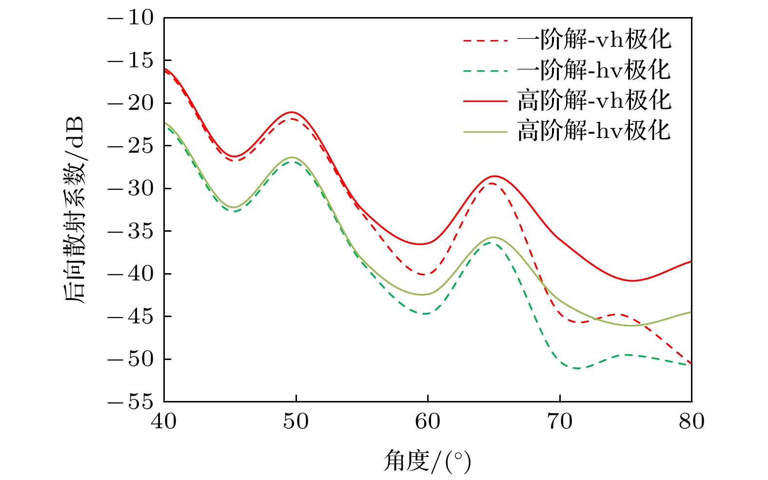
为了探究典型粗糙面上随机粒子层中能量传输的多次散射机制, 提出了一种基于矢量辐射传输方程的建模二阶计算方法. 该建模方法将建模场景(粗糙面上粒子层)在高度维( Z轴)划分为多个传输散射层, 基于矢量辐射传输理论中的一阶迭代散射解, 利用典型粗糙面的半经验半解析方法, 求解出整个场景的二阶迭代散射解. 同时, 研究粒子层能量在粒子与粒子间的多次散射机制, 以及粒子与地表粗糙面间的多次散射机制. 数值结果表明, 该二阶迭代解法相较于矢量辐射传输方程的一阶迭代散射解, 能够更完整地探究互作用的散射特性, 且可从能量传输角度解译建模场景中物体间的相干作用, 从而可用于植被地物环境下的多次散射机制的解析以及散射系数变化趋势的预估.In order to investigate the multiple scattering characteristics of energy transmission in a random particle layer on a typical rough surface, a high-order iterative method based on radiative transfer equation is proposed in this work. The particles are placed on the rough surface and the height dimension ( Z-axis) is divided into several layers. Then the high-order iterative solution can be obtained by using the first-order iteration solution of radiative transfer equation and the rough surface theory. Moreover, the multiple scattering characteristics between particles, as well as between particles and rough surface can be obtained. Numerical results show that the multiple scattering characteristics can be better explored by the proposed high-order iterative method than by the first-order iteration method. All these interactions can be explained by the energy transfer theory. The proposed high-order iterative method can be used as an efficient tool to explain the multiple scattering characteristics and predict the change of the scattering coefficients.
-
Keywords:
- vector radiative transfer equation/
- iterative solution/
- second-order/
- multiple scattering characteristics
[1] [2] [3] [4] [5] [6] [7] [8] [9] [10] [11] [12] [13] [14] [15] [16] [17] [18] [19] [20] [21] -
[1] [2] [3] [4] [5] [6] [7] [8] [9] [10] [11] [12] [13] [14] [15] [16] [17] [18] [19] [20] [21]
计量
- 文章访问数:3919
- PDF下载量:53
- 被引次数:0












下载:








