-
基于广义Zakharov模型, 结合斜入射等离子体的时域有限差分(FDTD)方法与双流体力学方程, 通过由二维麦克斯韦方程等价转换的一维麦克斯韦方程, 与等离子体流体力学方程建立了一个电磁波以不同角度入射电离层传播的数值模型. 分析推导出
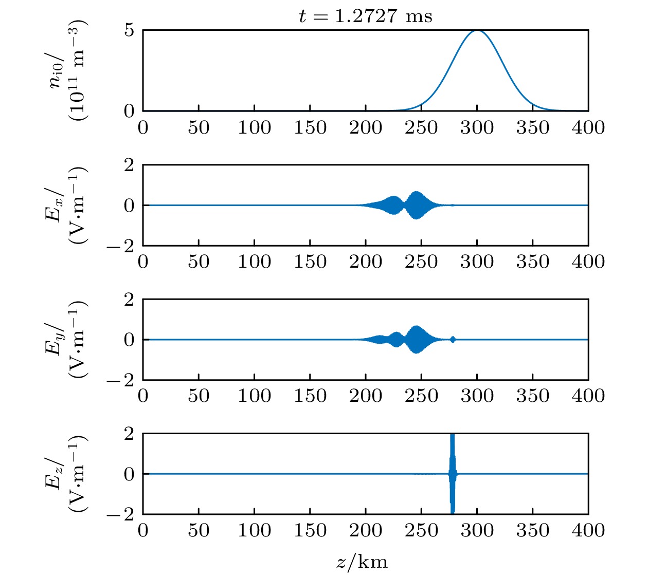
$\mathrm{T}{\mathrm{E}}_{{z}}$ 波在斜入射非线性电离层等离子体的支配方程, 然后推导了适用于计算电离层电磁波传播特性的FDTD算法. 通过仿真来证明该方法在较小倾角下, 电磁波对电离层加热形成Langmuir扰动及其传播特性的准确性和有效性. 结果表明, 在小角度入射下, 大功率高频电磁波在电离层等离子体中的O波反射点附近激发出了Langmuir波, 同时波粒相互作用导致O波转换为Z波并向电离层更高区域传播. 本文进一步研究了基于电离层等离子体的电磁波传播特性, 为全面深入分析电离层Langmuir扰动对电离层电波传播特性影响奠定数值算法的基础.-
关键词:
- 时域有限差分方法/
- Zakharov方程/
- 斜入射/
- Langmuir扰动
Based on the generalized Zakharov model, a numerical model of electromagnetic wave propagating in the ionosphere at different angles is established by combining the finite difference time domain (FDTD) method of obliquely incident plasma with the double hydrodynamics equation and through equivalently transforming the two-dimensional Maxwell equation into one-dimensional Maxwell equation and the plasma hydrodynamics equation. In this paper. the dominant equation of Z-wave in obliquely incident nonlinear ionospheric plasma having been analyzed and deduced, the FDTD algorithm suitable for calculating the propagation characteristics of ionospheric electromagnetic wave is deduced. The simulation results prove the accuracy and effectiveness of this method for the Langmuir disturbance caused by electromagnetic wave heating the ionosphere at a small inclination angle. The results show that under small angle incidence, the high-power high-frequency electromagnetic wave excites the Langmuir wave near the O-wave reflection point in the ionospheric plasma. At the same time, the wave particle interaction causes the O-wave to convert into Z-wave and propagate into the higher region of the ionosphere. In this work, the electromagnetic wave propagation characteristics are further studied based on ionospheric plasma, which is helpful in laying the foundation of numerical algorithm for comprehensively and in depth analyzing the influence of ionospheric Langmuir disturbance on ionospheric radio wave propagation characteristics.-
Keywords:
- finite difference time domain method/
- Zakharov equation/
- oblique incidence/
- Langmuir disturbance
[1] [2] [3] [4] [5] [6] [7] [8] [9] [10] [11] [12] [13] [14] [15] [16] [17] [18] [19] [20] [21] [22] [23] [24] [25] [26] [27] [28] [29] [30] -
[1] [2] [3] [4] [5] [6] [7] [8] [9] [10] [11] [12] [13] [14] [15] [16] [17] [18] [19] [20] [21] [22] [23] [24] [25] [26] [27] [28] [29] [30]
计量
- 文章访问数:4256
- PDF下载量:72
- 被引次数:0












下载:









