Quantum phases (QPs) and quantum phase transitions (QPTs) are very important parts of the strongly correlated quantum many-body systems in condensed matter. To study the QPs and QPTs, the systems should include rich quantum phase diagram. In this sense, the corresponding quantum spin models should have strong quantum fluctuation, strong geometric frustration, complicated spin-spin exchange or orbital degrees of freedom, which induces a variety of spontaneous symmetry breaking (SSB) or hidden spontaneous symmetry breaking. The QPs induced by the SSB can be characterized by local order parameters, a concept that originates from Landau-Ginzburg-Wilson paradigm (LGW). However, there is also a novel class of topological QPs beyond LGW, which has aroused one’s great interest since the Haldane phase was found. Such QPs can be characterized only by topological long-range nonlocal string correlation order parameters instead of local order parameters. In this paper, we investigate a spin-1/2 quantum compass chain model (QCC) with orbital degrees of freedom in
x,
yand
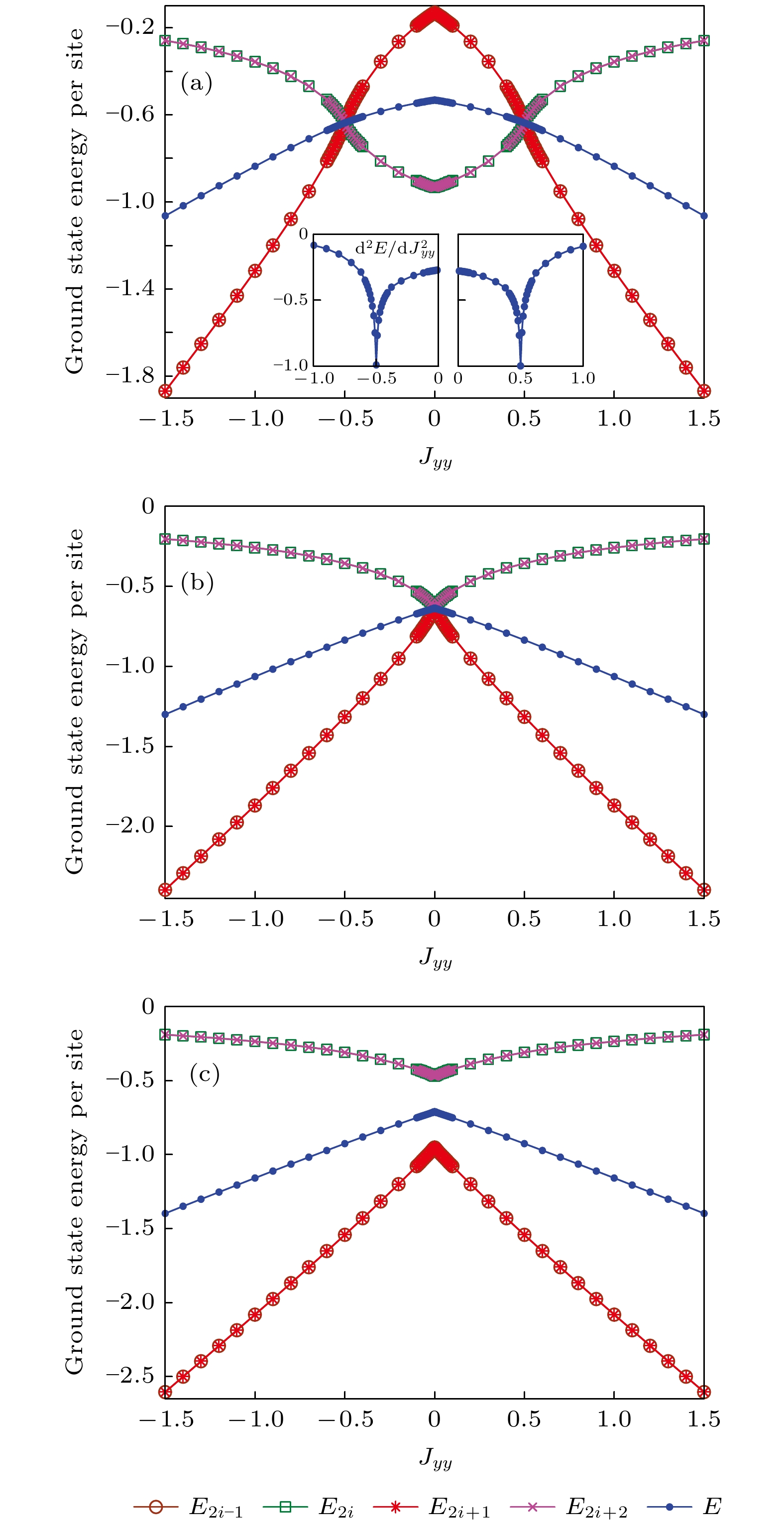
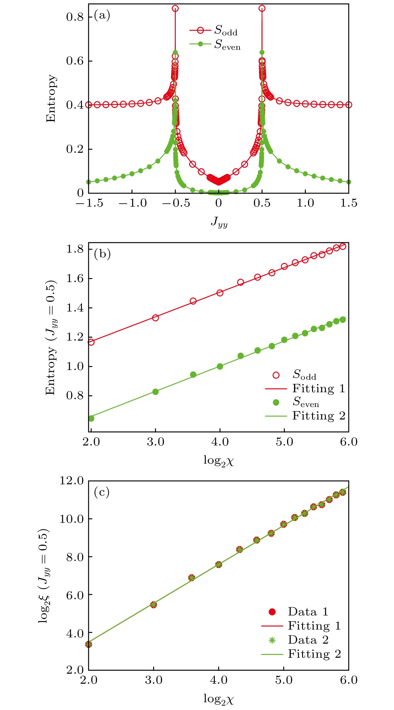
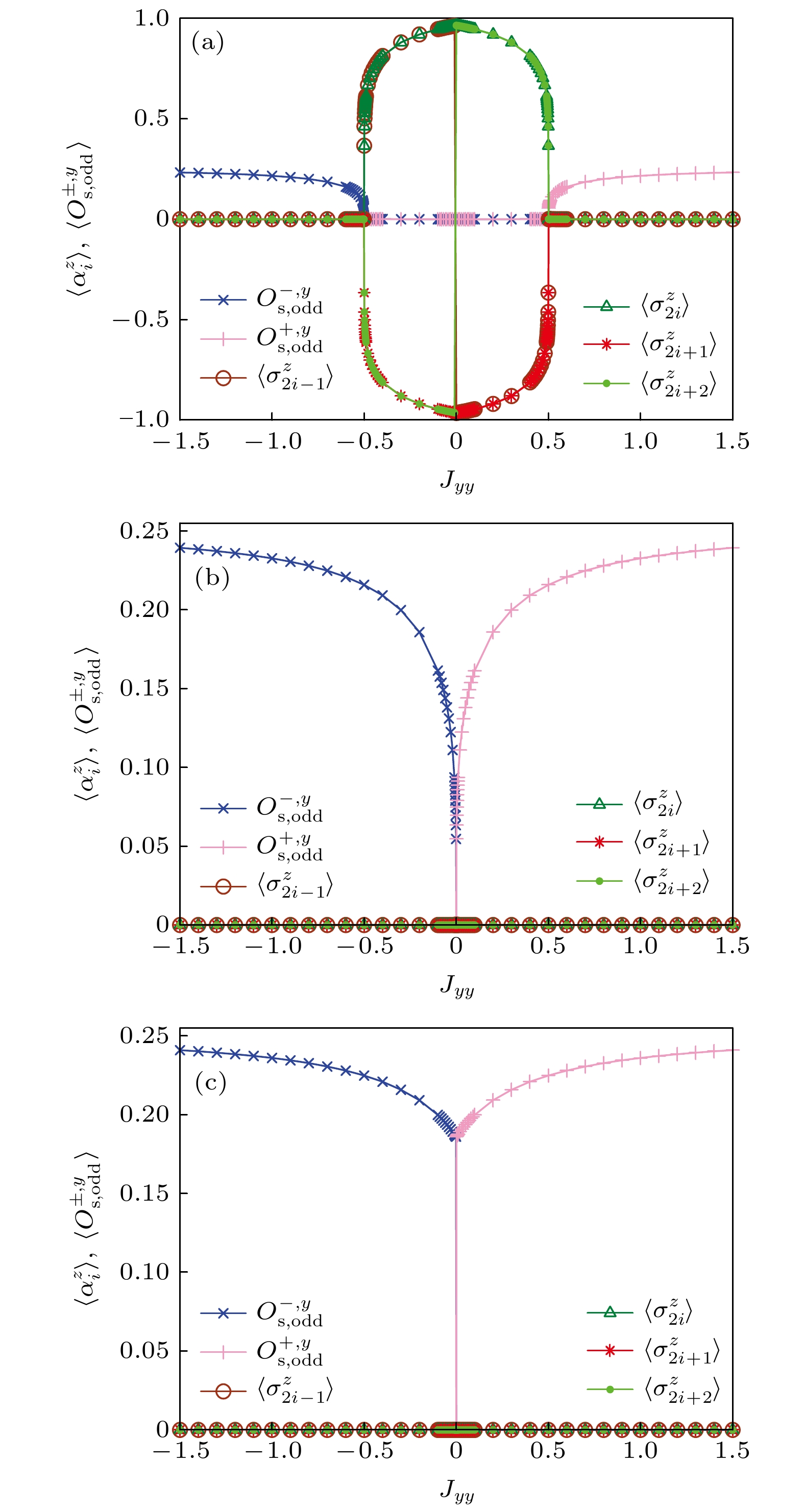
zcomponents. The prototype of QCC is the quantum compass model including novel topological QPs beyond LGW, and consequently one can also anticipate the existence of novel topological QPs in QCC. However, very little attention has been paid to the QPs and QPTs for QCC, which deserves to be further investigated. By using the infinite time evolving block decimation in the presentation of matrix product states, we study the QPs and QPTs of QCC. To characterize QPs and QPTs of QCC, the ground state energy, local order parameter, topological long-range nonlocal string correlation order parameters, critical exponent, correlation length and central charge are calculated. The results show the phase diagram of QCC including local antiferromagnetic phase, local stripe antiferromagnetic phase, oscillatory odd Haldane phase and monotonic odd Haldane phase. The QPTs from oscillatory odd Haldane phase to local stripe antiferromagnetic phase and from local antiferromagnetic phase to monotonic odd Haldane phase are continuous; on the contrary, QPTs from local stripe antiferromagnetic phase to local antiferromagnetic phase and from oscillatory odd Haldane phase to monotonic odd Haldane phase are discontinuous. The crossing point where the line of continuous QPTs meets with the line of discontinuous QPTs is the multiple critical point. The critical exponents
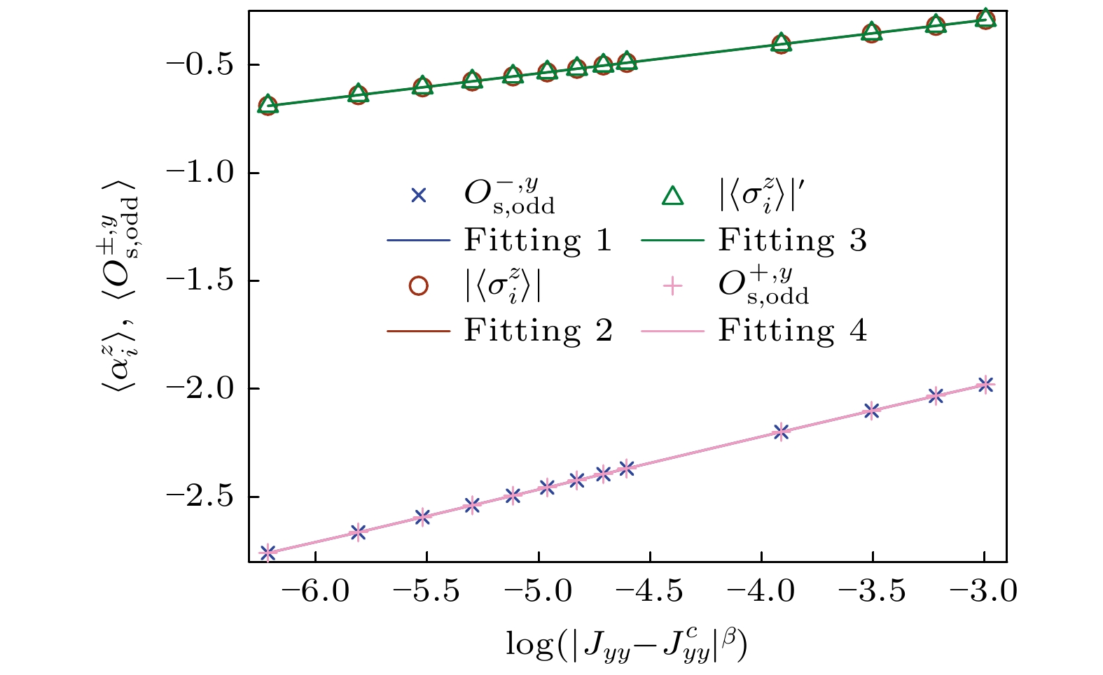
βof local antiferromagnetic order parameter, local stripe antiferromagnetic order parameter, topological long-range nonlocal oscillatory odd string correlation order parameter, and topological long-range nonlocal monotonic odd string correlation order parameter are all equal to 1/8. Moreover,
$\beta =1/8$
and the central charges
$c = 1/2$
at the critical points show that the QPTs from local phases to nonlocal phases belong to the Ising-type universality class.