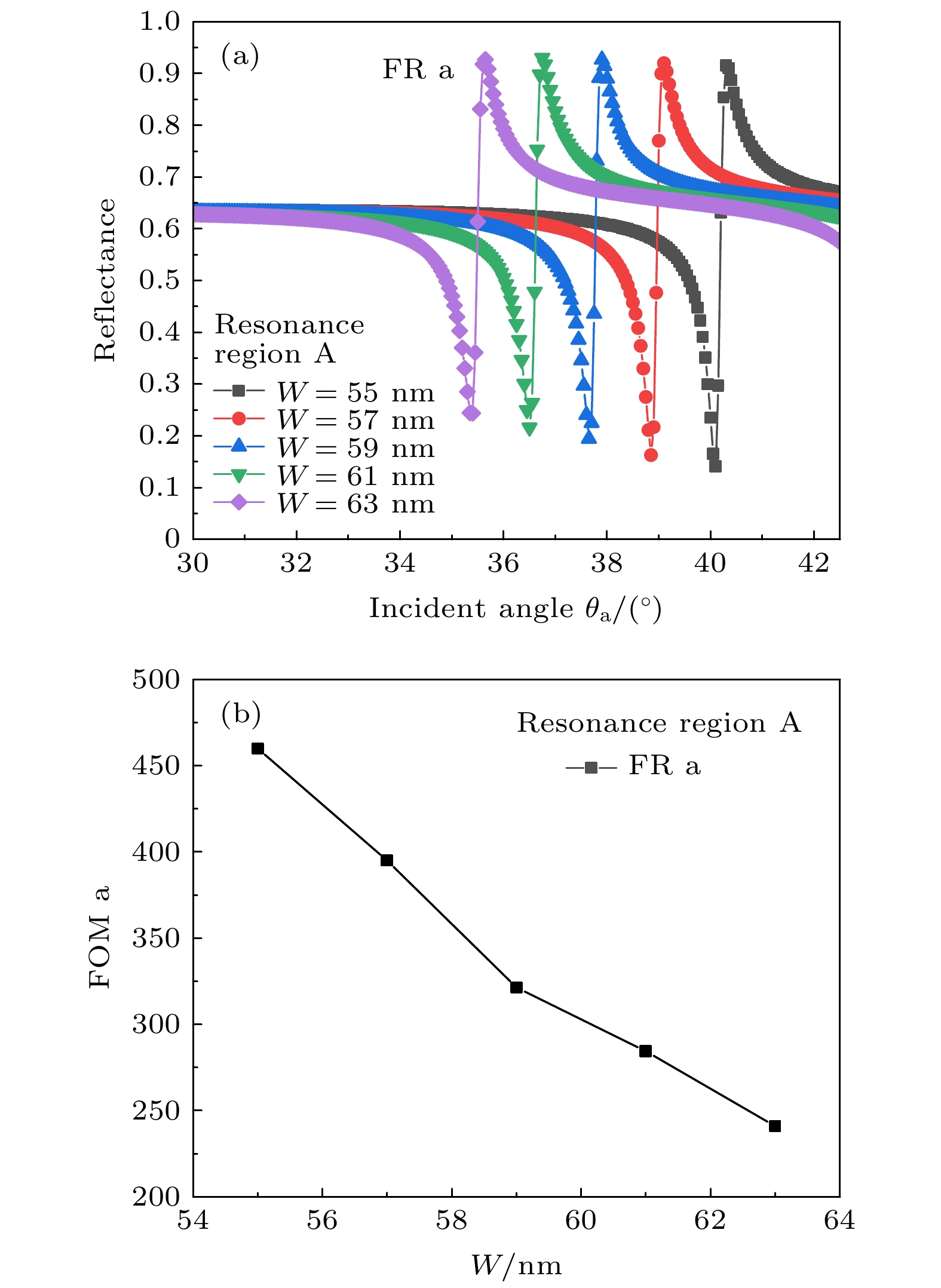
Based on the diffraction principle and the mode coupling theory, a composite micro-nano structure of sub-wavelength dielectric grating/metal-dielectric-metal (MDM) waveguide/periodic photonic crystal is proposed. Combined with the angle spectrum of reflection, the transmission characteristics of the surface plasmon polaritons and the generation mechanism of double Fano resonances at different incident angles and fixed wavelength are analyzed. The studies show that the physical mechanism of double Fano resonances is that the surface plasmon resonance generated at the interface of sub-wavelength dielectric grating and upper metal Ag film, and the waveguide mode resonance occurring in the MDM waveguide, provide the independently tunable double discrete states, under the condition of satisfying wave vector matching, which can be respectively coupled in the near field with the continuous state formed by the photonic band gap effect in the photonic crystal, thereby achieving the double Fano resonances. Then the influence of the structural parameters on the double Fano characteristics is analyzed quantitatively, and the evolution law of the double Fano resonances is explored by the change of the reflection spectra of resonance curves. The results show that the tuning between double Fano resonance curves and the resonance angles can be realized by changing the structural parameters. And under optimal conditions, the figure of merit (FOM) values of FR a and FR b in resonance A region can be as high as 460.0 and
$ 4.00 \times {10^4} $
, and the FOM values of FR a and FR b in resonance B region can be as high as 269.2 and
$ 2.22 \times {10^4} $
. The structure can provide an effective theoretical reference for designing the refractive index sensors based on Fano resonances.