| [1] |
刘鑫, 汶伟强, 李冀光, 魏宝仁, 肖君.高电荷态类硼离子2P3/2-2P1/2跃迁的实验和理论研究进展. 必威体育下载 , 2024, 0(0): .doi:10.7498/aps.73.20241190 |
| [2] |
屠秉晟.少电子离子束缚态电子g因子精密测量. 必威体育下载 , 2024, 0(0): .doi:10.7498/aps.73.20240683 |
| [3] |
史路林, 程锐, 王昭, 曹世权, 杨杰, 周泽贤, 陈燕红, 王国东, 惠得轩, 金雪剑, 吴晓霞, 雷瑜, 王瑜玉, 苏茂根.近玻尔速度能区高电荷态离子与激光等离子体相互作用实验研究装置. 必威体育下载 , 2023, 72(13): 133401.doi:10.7498/aps.72.20230214 |
| [4] |
张大成, 葛韩星, 巴雨璐, 汶伟强, 张怡, 陈冬阳, 汪寒冰, 马新文.高电荷态离子阿秒激光光谱研究展望. 必威体育下载 , 2023, 72(19): 193201.doi:10.7498/aps.72.20230986 |
| [5] |
张秉章, 宋张勇, 刘璇, 钱程, 方兴, 邵曹杰, 王伟, 刘俊亮, 徐俊奎, 冯勇, 朱志超, 郭艳玲, 陈林, 孙良亭, 杨治虎, 于得洋.低能高电荷态
${\boldsymbol{ {\rm{O}}^{q+}}}$
离子与Al表面作用产生的X射线. 必威体育下载 , 2021, 70(19): 193201.doi:10.7498/aps.70.20210757 |
| [6] |
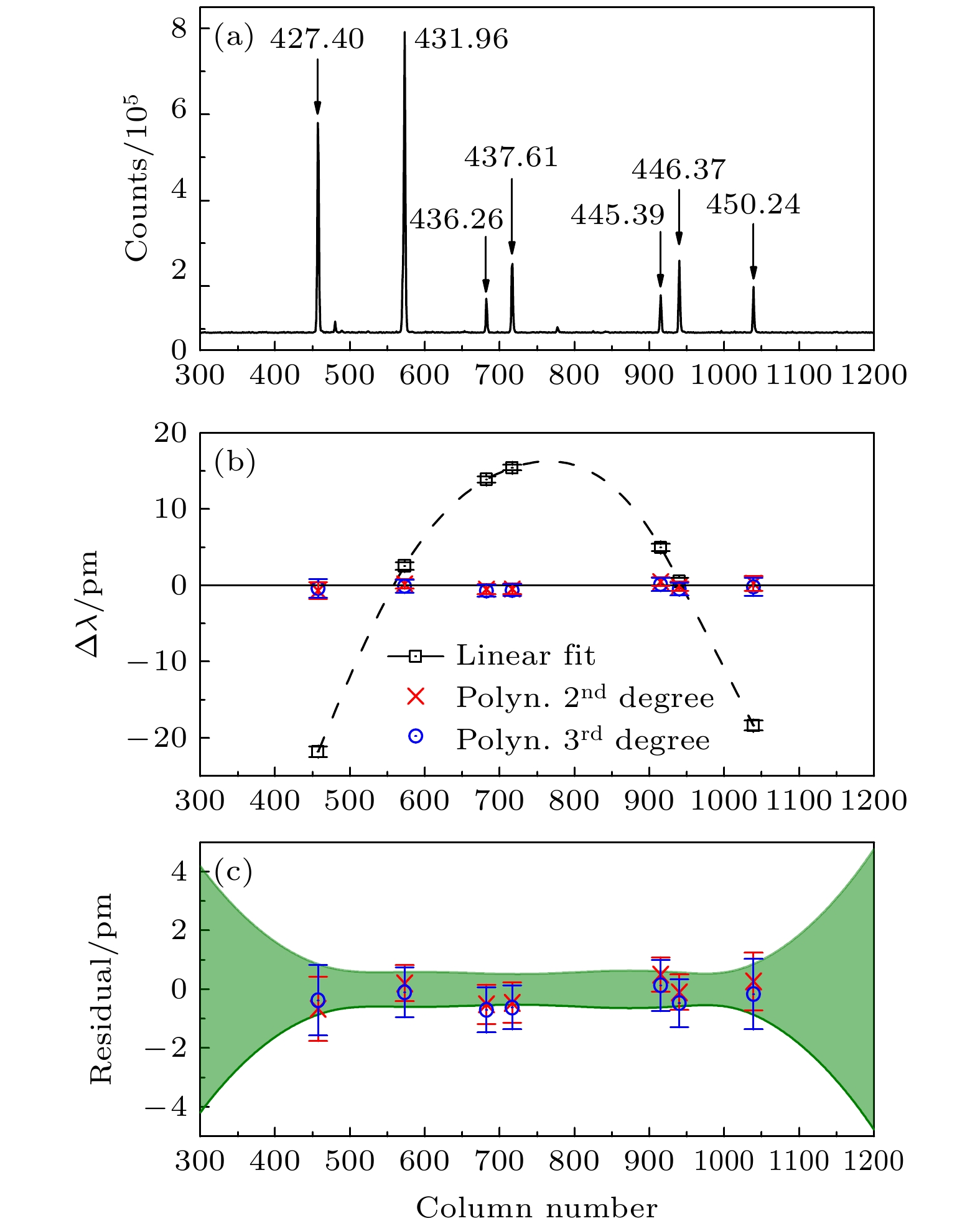
刘鑫, 周晓鹏, 汶伟强, 陆祺峰, 严成龙, 许帼芹, 肖君, 黄忠魁, 汪寒冰, 陈冬阳, 邵林, 袁洋, 汪书兴, 马万路(Wan-Lu MA), 马新文.电子束离子阱光谱标定和Ar13+离子M1跃迁波长精密测量. 必威体育下载 , 2021, (): .doi:10.7498/aps.70.20211663 |
| [7] |
管桦, 黄垚, 李承斌, 高克林.高准确度的钙离子光频标. 必威体育下载 , 2018, 67(16): 164202.doi:10.7498/aps.67.20180876 |
| [8] |
穆秀丽, 李传亮, 邓伦华, 汪海玲.用于α和μ常数变化测量的碘离子光谱研究. 必威体育下载 , 2017, 66(23): 233301.doi:10.7498/aps.66.233301 |
| [9] |
张绍庆, 谢娟, 张小平, 支启军.-衰变中容许跃迁和禁戒跃迁的衰变规律. 必威体育下载 , 2016, 65(9): 092101.doi:10.7498/aps.65.092101 |
| [10] |
张丽卿, 张崇宏, 杨义涛, 姚存峰, 孙友梅, 李炳生, 赵志明, 宋书建.高电荷态离子126Xeq+引起GaN表面形貌变化研究. 必威体育下载 , 2009, 58(8): 5578-5584.doi:10.7498/aps.58.5578 |
| [11] |
徐忠锋, 刘丽莉, 赵永涛, 陈亮, 朱键, 王瑜玉, 肖国青.不同能量的高电荷态Ar12+离子辐照对Au纳米颗粒尺寸的影响. 必威体育下载 , 2009, 58(6): 3833-3838.doi:10.7498/aps.58.3833 |
| [12] |
张小安, 杨治虎, 王党朝, 梅策香, 牛超英, 王伟, 戴斌, 肖国青.类钴氙离子入射Ni表面激发的红外光谱线和X射线谱. 必威体育下载 , 2009, 58(10): 6920-6925.doi:10.7498/aps.58.6920 |
| [13] |
彭海波, 王铁山, 韩运成, 丁大杰, 徐 鹤, 程 锐, 赵永涛, 王瑜玉.高电荷态离子与Si(110)晶面碰撞的沟道效应研究. 必威体育下载 , 2008, 57(4): 2161-2164.doi:10.7498/aps.57.2161 |
| [14] |
王 立, 张小安, 杨治虎, 陈熙萌, 张红强, 崔 莹, 邵剑雄, 徐 徐.高电荷态离子入射Al表面库仑势对靶原子特征谱线强度的影响. 必威体育下载 , 2008, 57(1): 137-142.doi:10.7498/aps.57.137 |
| [15] |
赵永涛, 肖国青, 徐忠锋, Abdul Qayyum, 王瑜玉, 张小安, 李福利, 詹文龙.高电荷态离子40Arq+与Si表面作用中的电子发射产额. 必威体育下载 , 2007, 56(10): 5734-5738.doi:10.7498/aps.56.5734 |
| [16] |
万建杰, 颉录有, 董晨钟, 蒋 军, 颜 君.类镍等电子系列离子M1,M2,E2禁戒跃迁特性的理论研究. 必威体育下载 , 2007, 56(1): 152-159.doi:10.7498/aps.56.152 |
| [17] |
王瑜玉, 赵永涛, 肖国青, 房 燕, 张小安, 王铁山, 王释伟, 彭海波.高电荷态离子207Pbq+(24≤q≤36)与Si(110)固体表面作用的电子发射研究. 必威体育下载 , 2006, 55(2): 673-676.doi:10.7498/aps.55.673 |
| [18] |
杨治虎, 宋张勇, 陈熙萌, 张小安, 张艳萍, 赵永涛, 崔 莹, 张红强, 徐 徐, 邵健雄, 于得洋, 蔡晓红.高电荷态离子Arq+与不同金属靶作用产生的X射线. 必威体育下载 , 2006, 55(5): 2221-2227.doi:10.7498/aps.55.2221 |
| [19] |
张小安, 赵永涛, 李福利, 杨治虎, 肖国青, 詹文龙.129Xe30+轰击Ni表面激发靶原子偶极跃迁和禁戒 (M1和E2)跃迁的特征光谱线. 必威体育下载 , 2004, 53(10): 3341-3346.doi:10.7498/aps.53.3341 |
| [20] |
袁行球, 陈重阳, 李 辉, 赵太泽, 郭文康, 须 平.电子束离子阱中高价态离子演化过程的数值模拟. 必威体育下载 , 2003, 52(8): 1906-1910.doi:10.7498/aps.52.1906 |