搜索

x

留言板

姓名
邮箱
手机号码
标题
留言内容
验证码

downloadPDF
引用本文:
Citation:

赵昌哲, 司尚禹, 张海鹏, 薛莲, 李中亮, 肖体乔

Beam splitting characteristics of crystal X-ray Laue diffraction

Zhao Chang-Zhe, Si Shang-Yu, Zhang Hai-Peng, Xue Lian, Li Zhong-Liang, Xiao Ti-Qiao
PDF
HTML
导出引用
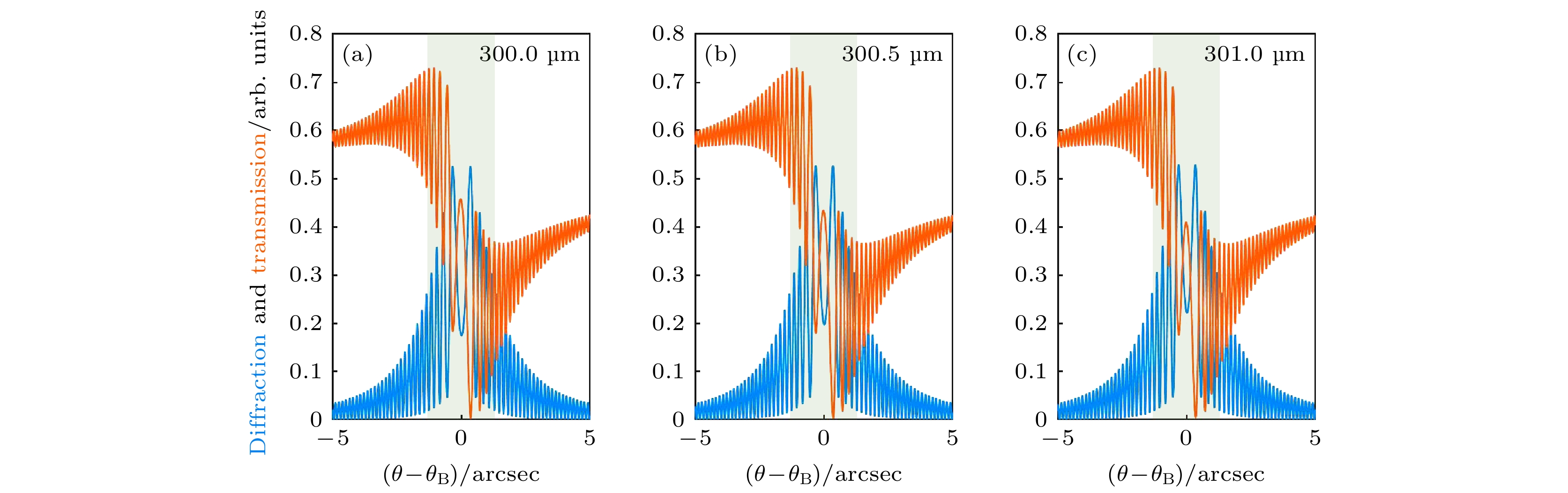
  • 本文基于X射线衍射动力学分析了劳厄晶体的分束特性, 模拟了晶体吸收和入射光角发散对于透射光和衍射光摇摆曲线的影响, 定量给出晶体衍射面内角调节范围和晶体加工厚度对于劳厄衍射分束比的调制. 在实验中, 采用分析晶体和分束晶体的消色散配置限制入射光角发散的影响, 实现300 μm厚Si(220)晶体面内角调节劳厄衍射分束的精确测量, 并得到300 μm, 400 μm和500 μm 厚度Si晶体分束比的调节范围, 实现了透射光和衍射光强度的定量调制.
    The beam splitter is an optical element that divides a beam of light into two or more subbeams. It is an essential component in many optical experiments. X-ray has the characteristics of short wavelength and strong penetration ability, making it hard to use the optical elements in the visible-light region. Therefore, it is necessary to develop optical elements suitable for X-rays. The atomic layer spacing of the perfect crystal is of the same order of magnitude as the X-ray wavelength, so the crystal diffraction effect can be used to achieve the X-ray modulation. In this paper, the beam splitting characteristics of Laue crystal are analyzed based on X-ray diffraction dynamics and the influences of crystal absorption and incident light angular divergence on the rocking curves of transmission and diffraction are simulated. The modulation of the crystal diffraction in-plane angle and crystal thickness to Laue diffraction beam-splitting ratio is presented quantitatively. The results show that the kinematical theory of X-ray diffraction is not enough to analyze the beam splitting characteristics of the crystal. It is necessary to consider the interaction between the wave fields in the crystal and use the Pendellӧsung effect in the dynamical theory of X-ray diffraction to explain the change of the crystal beam-splitting ratio quantitatively. The influence of angular divergence and crystal absorption are considered in the simulation. The angular divergence broadens the bandwidth of the diffraction, thereby reducing diffraction intensity. The crystal absorption results in asymmetry and peak shift of the transmission curve and affects the intensity of diffraction and the intensity of transmission beam. The experimental results show that the non-dispersive (+n, –n) configuration can effectively eliminate the influence of angle divergence. The beam-splitting ratio can be adjusted in a small range (±2%) by changing the in-plane angle and adjusted in a wide range (±75%) by changing the crystal thickness, thereby realizing the quantitative modulation of the intensity of transmission and diffraction beam.
        通信作者:司尚禹,sishangyu@zjlab.org.cn; 肖体乔,xiaotiqiao@zjlab.org.cn
      • 基金项目:中国科学院青年促进会项目(批准号: 2018297)和国家重点研发计划项目(批准号: 2017YFA0206004, 2017YFA0403801)资助的项目
        Corresponding author:Si Shang-Yu,sishangyu@zjlab.org.cn; Xiao Ti-Qiao,xiaotiqiao@zjlab.org.cn
      • Funds:Project supported by the Youth Innovation Promotion Association of Chinese Academy of Sciences (Grant No. 2018297) and the National Key R&D Program of China (Grant Nos. 2017YFA0206004, 2017YFA0403801)
      [1]

      [2]

      [3]

      [4]

      [5]

      [6]

      [7]

      [8]

      [9]

      [10]

      [11]

      [12]

      [13]

      [14]

      [15]

      [16]

      [17]

      [18]

      [19]

      [20]

      [21]

      [22]

      [23]

    • 晶体厚度/
      μm
      分束比(T/D) 摇摆曲线半高宽
      测量值/arcsec
      本征达尔文带宽/
      arcsec
      300 1.90 3.76 2.60
      400 1.15 2.96
      500 1.40 3.89
      下载: 导出CSV
    • [1]

      [2]

      [3]

      [4]

      [5]

      [6]

      [7]

      [8]

      [9]

      [10]

      [11]

      [12]

      [13]

      [14]

      [15]

      [16]

      [17]

      [18]

      [19]

      [20]

      [21]

      [22]

      [23]

    计量
    • 文章访问数:4738
    • PDF下载量:172
    • 被引次数:0
    出版历程
    • 收稿日期:2021-09-08
    • 修回日期:2021-10-28
    • 上网日期:2022-02-16
    • 刊出日期:2022-02-20

      返回文章
      返回