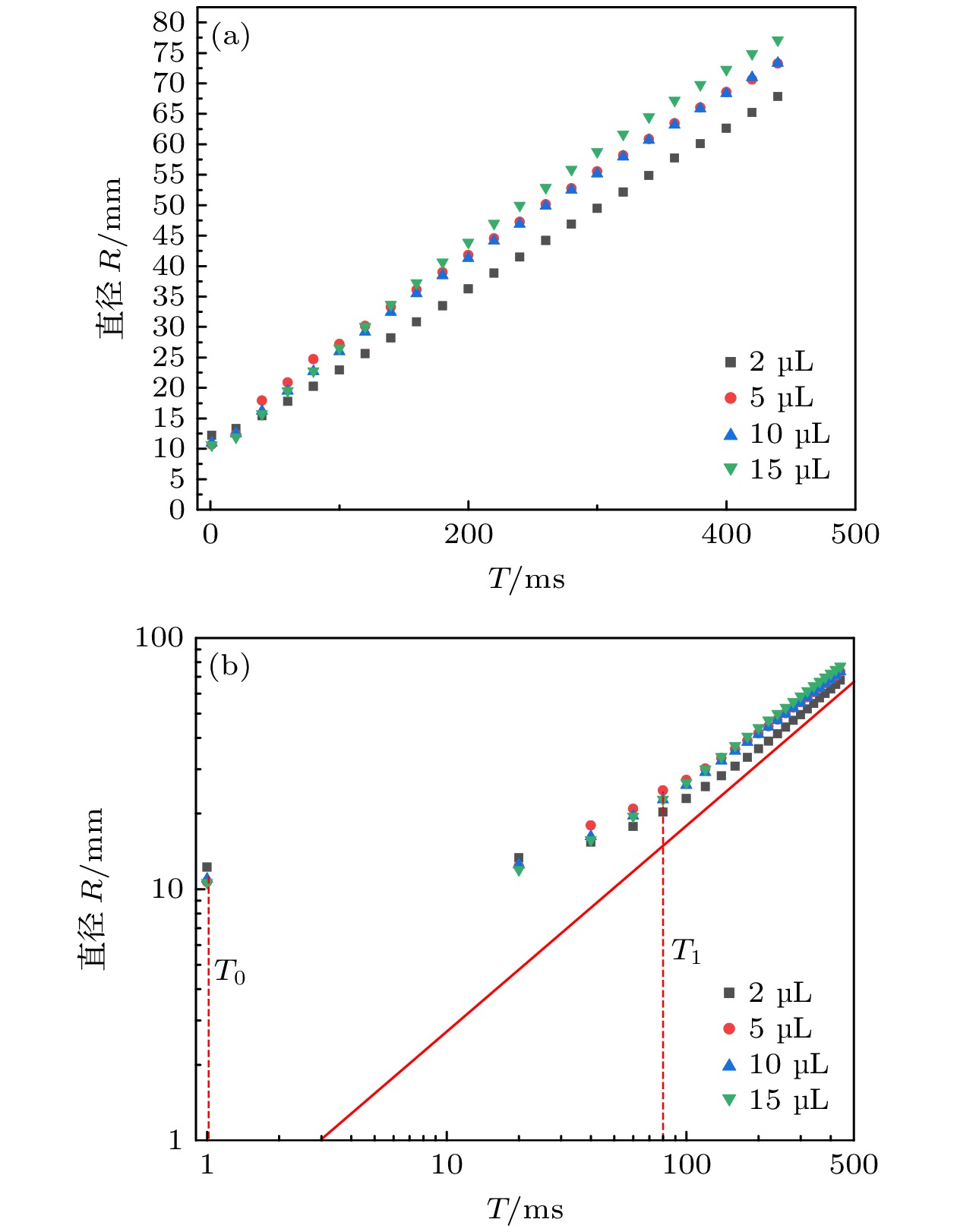
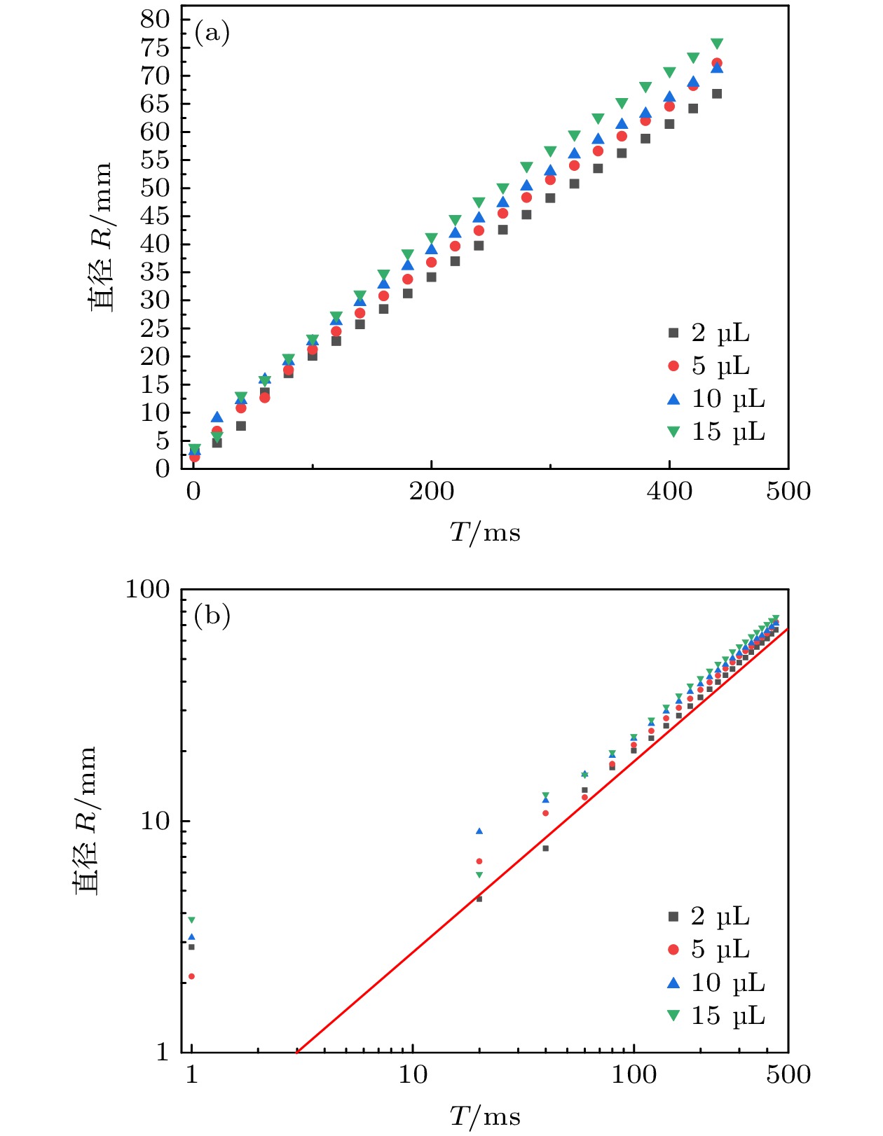
Surface tension gradient due to concentration difference and temperature difference induces liquid convection, known as Marangoni effect. The Marangoni effect has been extensively studied to understand its fundamental physics and its industrial applications. In this paper we study Marangoni effect of droplet in a three-phase liquid system. In this system, silicone oil is chosen as a driving liquid, and n-hexadecane is used as a driven liquid. A high-speed camera is used to capture the spreading process of n-hexadecane driven by silicon oil on the sodium dodecyl sulfate (SDS) solution. The experiment shows that n-hexadecane driven by silicone oil spreads from inside out, forming a ring structure. According to spreading dynamic behavior of internal boundary and external boundary of n-hexadecane ring, we study the spreading pattern of internal boundary and external boundary of n-hexadecane ring, and the influence of silicone oil volume on the spreading process. Analysis shows that the spreading law of internal silicone oil conforms to single droplet spreading at the liquid interface. In the initial spreading stage, the spreading of four-phase contact line (internal boundary) among silicone oil, air, n-hexadecane and water are dominated by gravity, The scale law of spreading distance
Rof four-phase contact line and
tis in a range of
$ R \sim {t}^{1/4} $
-
$ R \sim {t}^{1/2} $
. Owing to the gravity influence, the larger the volume of silicone oil, the faster the four-phase contact line spreads. The volume of silicone oil has no effect on the scaling law of the whole spreading process. The next spreading stage, the spreading of the contact line is dominated by the interfacial tension gradient. The scale law of spreading distance
Rand
tconforms to
$ R \sim {t}^{3/4} $
. Under silicone oil driven, the liquid thickness of n-hexadecane at the four-phase contact line (internal boundary) among air, silicone oil, N-hexadecane and water increases, thus changing the contact angle at three-phase contact line (external boundary) among air, n-hexadecane and water. The change of contact angle leads the interfacial tension gradient to produce. The interfacial tension gradient drives external boundary to spread. Because the spreading of the three-phase contact line is dominated by interfacial tension gradient, the scale law of spreading distance
Rof three-phase contact line and time
tconforms to
$ \sim {t}^{3/4} $
.