-
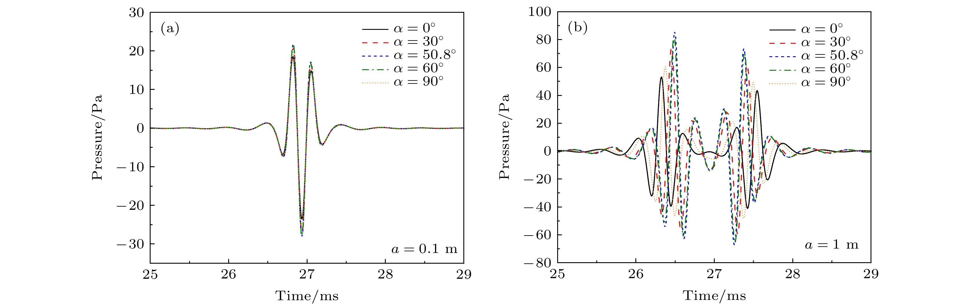
无限大平面刚性障板中圆形活塞源的声辐射场可近似为轴对称指向性球面波, 前人只给出了活塞面与界面平行时轴对称指向性球面波的界面响应表达式, 本文针对活塞面与界面不平行的情况, 推导了轴对称指向性球面波的锥面波展开式, 并进一步导出了其界面反射波的表达式. 在源距远大于声波波长的情况下通过鞍点法将界面反射波的表达式化简为了简化表达式. 简化式不仅计算上简洁, 而且物理含义清楚: 可视为镜像活塞源激发的轴对称指向性球面波与反射系数的乘积. 计算表明, 当活塞半径小于声波波长时, 反射波对活塞与界面的夹角和接收点的环向方位角不太敏感, 反射波的指向性较弱; 当活塞半径大于声波波长时, 反射波对活塞与界面的夹角和接收点的环向方位角很敏感, 反射波的指向性很强. 增加活塞与界面的夹角, 反射波先增加后减小, 反射波的指向性先增强后减弱; 当活塞与界面的夹角等于活塞中心镜像点与接收点的连线与界面法线的夹角时, 反射波最大, 反射波的指向性最强.The sound radiation field of a circular piston source in an infinite plane rigid baffle can be approximated as an axisymmetric directional spherical-wave. The interface response expressions of the axisymmetric directional spherical-wave for the piston parallel with the interface has already been obtained in previous studies. On condition that the distance from the piston center to the interface is much greater than the piston radius, we first derive the conical wave expansion of the axisymmetric directional spherical-wave which is obtained by using the conical wave expansion of the homogeneous spherical-wave and the formula of the axisymmetric directional spherical-wave excited by a circular piston in an rigid infinite plane, and then derive the expression of the interface reflection wave of the axisymmetric directional spherical-wave for the piston non-parallel to the interface. The expression of the interface reflection wave is simplified into a simplified expression by saddle point method on condition that the source distance is much larger than the acoustic wavelength. The simplified expression is not only simple in the calculation, but also clear in the physical meaning. The simplified expression shows that the interface reflection wave of the axisymmetric directional spherical-wave can be regarded as the product of the axisymmetric directional spherical-wave excited by the piston mirror image and the reflection coefficient. The calculations show that when the piston radius is smaller than the acoustic wavelength, the reflected wave is less sensitive to the angle included between the piston and the interface and the azimuth of the receiving point, and the directivity of the reflected wave is weak. When the piston radius is greater than the acoustic wavelength, the reflected wave is very sensitive to the angle included between the piston and the interface and the azimuth of the receiving point, and the directivity of the reflected wave is strong. Increasing the angle included between the piston and the interface, the reflected wave and its directivity both first increase and then decrease. The reflected wave is largest and the directivity of the reflected wave is strongest when the angle included between the piston and the interface is equal to that between the interface normal and the connecting line between the mirror image of the piston center and the receiving point.
-
Keywords:
- acoustic wave/
- reflected wave/
- directivity/
- piston
[1] [2] [3] [4] [5] [6] [7] [8] [9] [10] [11] [12] [13] [14] [15] [16] [17] [18] [19] [20] [21] [22] [23] [24] [25] [26] [27] [28] -
密度/
(${\rm{ kg}} \cdot {{\rm{m}}^{ - 3} }$)纵波速度/
(${\text{m}} \cdot {{\text{s}}^{ - 1}}$)横波速度/
(${\text{m}} \cdot {{\text{s}}^{ - 1}}$)流体 1000 1500 — 快速地层 2600 4000 2300 慢速地层 2000 2200 1200 -
[1] [2] [3] [4] [5] [6] [7] [8] [9] [10] [11] [12] [13] [14] [15] [16] [17] [18] [19] [20] [21] [22] [23] [24] [25] [26] [27] [28]
计量
- 文章访问数:3881
- PDF下载量:53
- 被引次数:0












下载:









