-
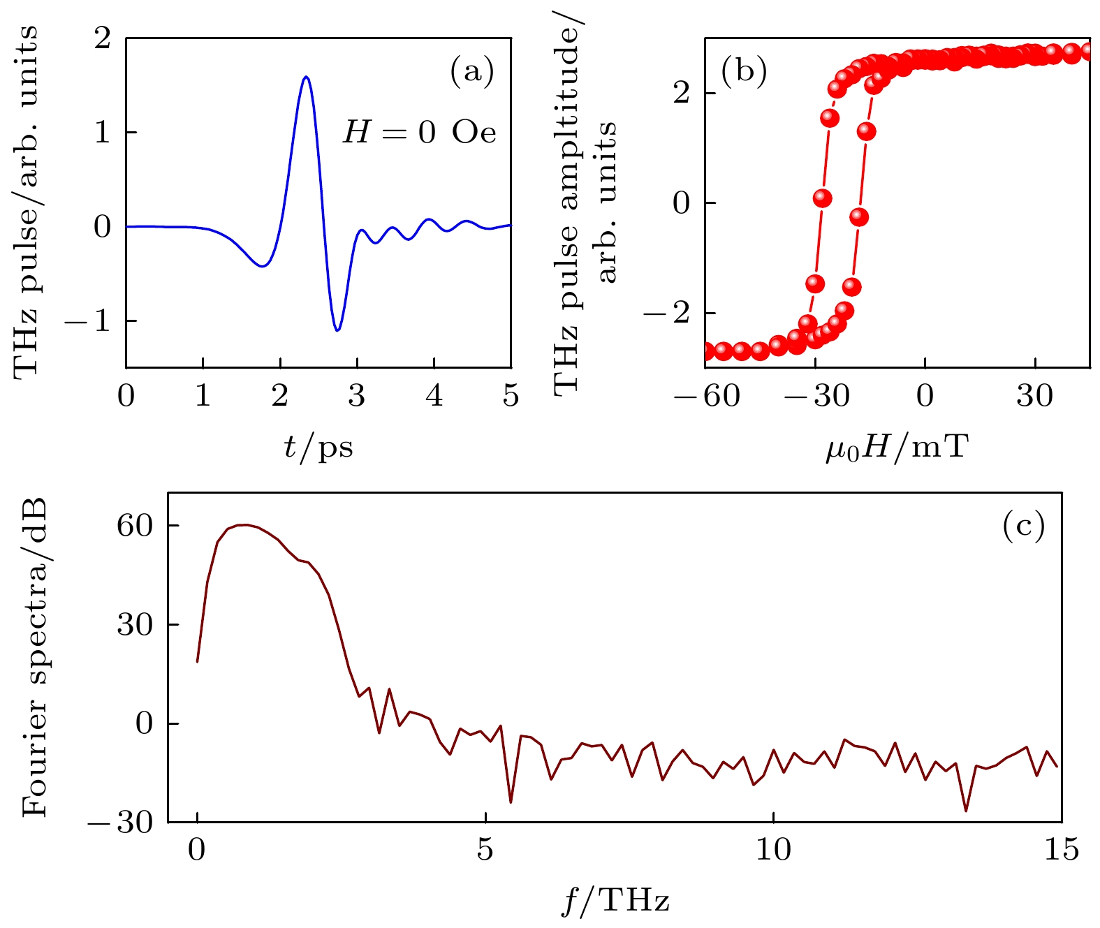
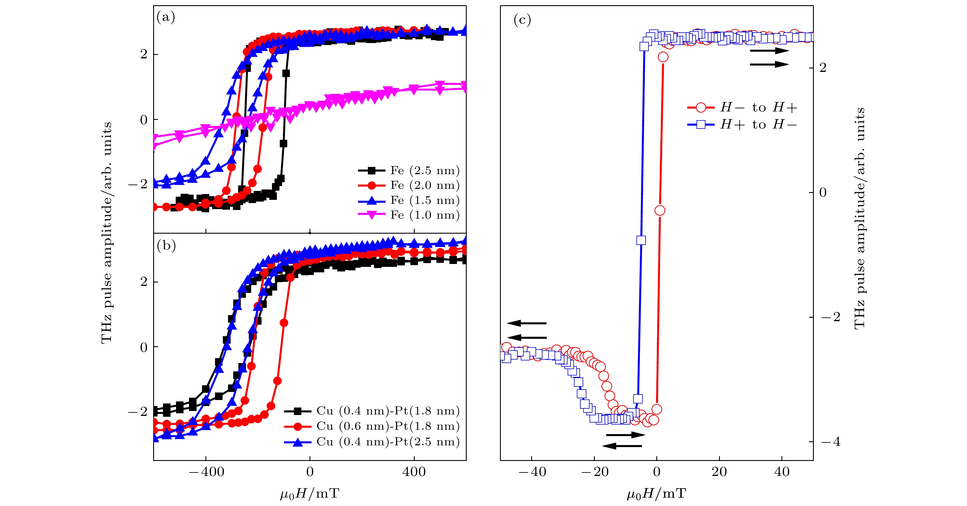
与目前商用的太赫兹源相比, 自旋太赫兹源具有超宽频谱、固态稳定以及成本低廉等优点, 这使其成为下一代太赫兹源的主要研究焦点.但使用自旋太赫兹源时, 通常需要外加磁场使铁磁层的磁化强度饱和, 才能产生太赫兹波, 这制约了其应用前景.基于此, 本文制备了一种基于IrMn/Fe/Pt交换偏置结构的自旋太赫兹波发生器, 通过IrMn/Fe中的交换偏置场和Fe/Pt中的超快自旋流注入与逆自旋霍尔效应相结合, 在无外加磁场下产生了强度可观的太赫兹波. 在IrMn和Fe的界面中插入超薄的Cu, 可以使Fe在厚度很薄时零场下实现饱和磁化, 并且其正向饱和场最高可达–10 mT, 从而进一步提升无场下的太赫兹发射效率. 零场下出射的太赫兹波的动态范围超过60 dB, 达到可实用化的水平.通过旋转样品, 发现产生的太赫兹波的偏振方向也会随之旋转, 并且始终沿着面内垂直于交换偏置场的方向. 此外, 在此交换偏置结构的基础上, 引入了一层自由的铁磁金属层Fe, 设计了一种以IrMn/Fe/Pt/Fe为核心结构的自旋阀太赫兹源, 发现产生的太赫兹强度在两层铁磁层反平行排列时比平行排列以及不引入自由铁磁金属层时均大约提升了40%. 结果表明, 基于IrMn/Fe/Pt结构的自旋太赫兹信号源可在无外场下产生可观的太赫兹信号, 并且其强度可通过引入自由铁磁金属层进一步增强, 偏振方向也可通过旋转样品进行调控, 这些优点使其有望在下一代太赫兹信号发生器中发挥重要的作用.Spintronic terahertz (THz) emitter has more advantages such as lower cost, broader spectrum and easier operation than the commercial THz emitters, and thus has become a focus of research towards the next-generation THz source. However, in such a spintronic THz emitter, an external magnetic field is technologically required to align the orientation of the magnetization, which is detrimental for practical applications. Here, a spintronic terahertz emitter based on IrMn/Fe/Pt exchange bias structure is presented. By means of ultrafast spin injection on Fe/Pt interface followed by the spin-to-charge conversion in Pt, plus the effective magnetic field originating from the IrMn/Fe interface, the THz pulse with considerable intensity can be generated in such a structure without the assistance of external field. Besides, the remanent magnetization for thin Fe layer is enhanced by inserting an ultrathin Cu layer between the IrMn surface and the Fe surface, which is beneficial to the field-free THz emission. The range of obtained dynamic THz spectrum exceeds 60 dB and the positive saturation field can reach up to ~ –10 mT by optimizing the multilayer thickness, meeting the standard for commercial application. By rotating the sample, it is found that the polarization direction of the generated THz wave circulates simultaneously and keeps perpendicular to the direction of exchange bias field in the film plane. Moreover, we design a spin valve THz emitter based on the structure of IrMn/Fe/Pt/Fe by adding a free ferromagnetic Fe layer into the exchange bias multilayers. The emitted THz pulse amplitude is larger for the antiparallel alignment of the Fe layers at zero field than for the parallel alignment or exchange bias structure. The present work shows that the spin terahertz emitter based on IrMn/Fe/Pt exchange bias structure can produce the considerable terahertz signals without external field. Furthermore, the polarization direction of the emitted THz signal can be easily manipulated by rotating the sample. Because of this series of advantages, such exchange bias heterostructures are expected to play an important role in designing the next-generation THz source.
[1] [2] [3] [4] [5] [6] [7] [8] [9] [10] [11] [12] [13] [14] [15] [16] [17] [18] [19] [20] -
[1] [2] [3] [4] [5] [6] [7] [8] [9] [10] [11] [12] [13] [14] [15] [16] [17] [18] [19] [20]
计量
- 文章访问数:4125
- PDF下载量:93
- 被引次数:0












下载:


