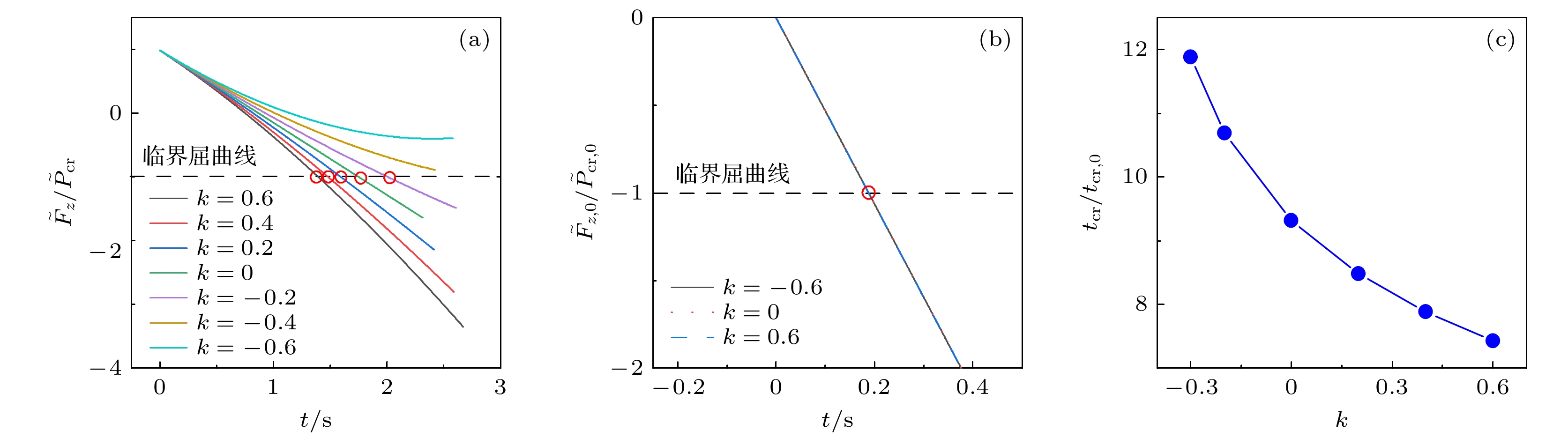
Nanowire-based electrodes have attracted much attention due to their high surface energy, short distance for lithium insertion, and the ability to accommodate the enormous strain. However, the buckling behavior may occur during lithiation for such wire-like electrodes, which would lead the battery performance to deteriorate. Therefore, it is vital to quantitatively understand the mechanism about the bucking behavior of the nanowire-based electrodes. Although the buckling behavior of wire-like electrode has been extensively studied in the past few decades, the influence of surface effect on it has not yet been thoroughly explored. For this purpose, a theoretical model of surface effects on buckling of nanowire electrode is presented by taking into account the lithium diffusion, stress, and concentration-dependent elastic properties. Based on the established model, the effects of the residual surface tension and elastic hardening/softening coefficients on buckling are investigated. The results show that surface effects can improve the mechanical reliability, thus delaying the critical buckling time of nanowire electrode. In addition, it is indicated that the surface effects depend on the radius size and slenderness ratio of the nanowire electrode, specifically, the smaller the radius size and the larger the slenderness ratio, the greater the influence of the surface effect is. Furthermore, compared with elastic hardening, with the participation of surface effects, the larger the elastic softening coefficient, the longer it takes for the nanowire electrode to reach the buckled state, and the better the stability of the electrode is. The novelty of this work is that the proposed models highlight the importance of surface effects on buckling of nanowire electrode. These findings provide a prospective insight into the designing of higher structural reliability of electrode.