-
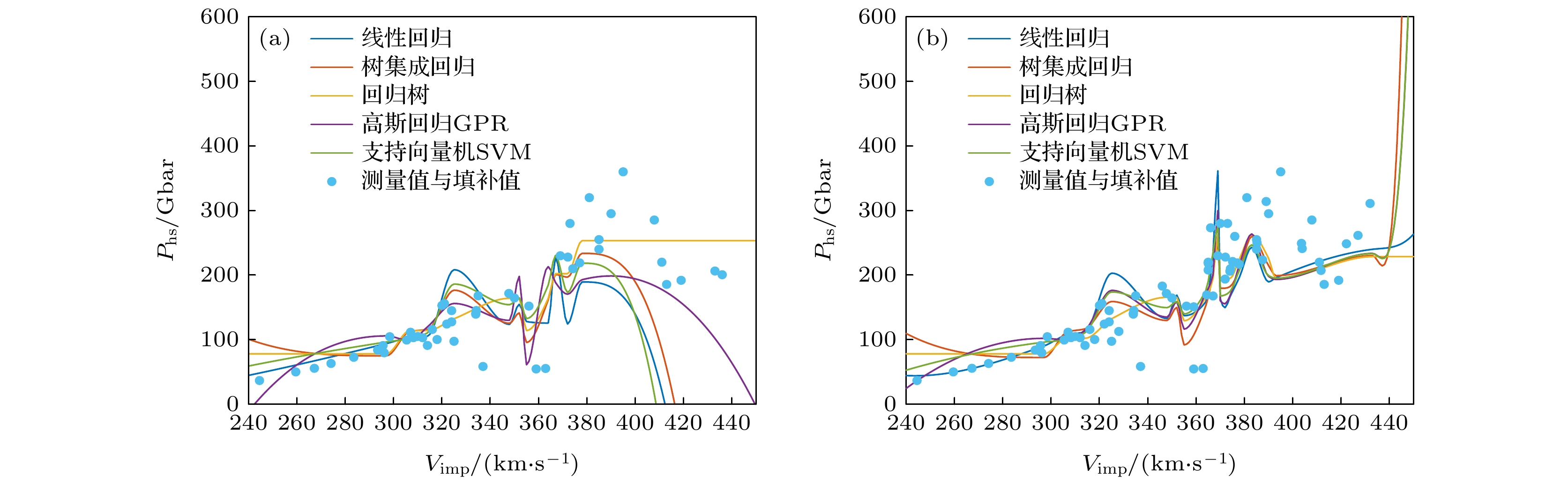
美国国家点火装置(NIF)自2010年投入使用以来, 已经进行了约1030发次的惯性约束聚变研究实验. 在经历了最初7年多的艰难探索之后, 自2017年以来, 激光聚变反应输出能量接连突破55 kJ和170 kJ, 特别是在2021年8月的实验中, NIF研究团队获得了1.35MJ聚变输出能量的结果, 已经接近实现靶点火(target ignition)的门槛. NIF实验数据具有极高的分析价值, 近些年来NIF研究团队已经将这些数据用于进一步实验的优化设计、预测产额、矫正模拟等目的. 由于NIF实验数据库中大量数据未被公开, 我国科研工作者只能从少量已公开数据中了解其实验历程, 无法深入分析各阶段NIF实验及各时间节点NIF团队对下一阶段实验设计思路的来源. 本文根据NIF实验数据的特点, 采用预测平均匹配方法和信赖域方法对NIF实验缺失数据进行了数据还原研究, 并且对还原数据进行了可靠性验证. 利用还原数据, 本文分析了过去十年间不同阶段NIF实验的不同侧重点以及设计思路, 并且利用机器学习方法预测了未来NIF实验中的热斑压强. 这些结果为我国科研工作者持续跟进并深入理解最新NIF实验结果提供了一种可行的方法, 也可以对我国激光聚变点火实验的设计起到借鉴作用.
Since completion of the National Ignition Facility (NIF) in 2010, more than 1030 experiments were carried out to achieve ignition. Though the experiments were unsuccessful in the first 8 years, the NIF has improved the experimental designs and achieved fusion yields from 55kJ, 170kJ to 1.35MJ since 2019, approaching to the ignition milestone. The designs are based on the experimental database, which has been widely used for optimization design, yield prediction, corrected simulation, etc. However, so far the published experimental data is very limited. Also, it is difficult to obtain a completion data matrix for analyzing and understanding the experimental designs of NIF experiments at each stage and to know how the NIF sets strategic priorities for each phase. In this paper, we proposed an optimization method, which combines the PMM algorithm and trust region algorithm, to restore the missing NIF experimental data. Based on the completed data, the design principles of experiments on the NIF were analyzed, and the hot spot pressure was predicted by machine learning algorithms. The results may be helpful for the designs of laser fusion ignition experiments in China. -
Keywords:
- inertial confinement fusion/
- indirect ignition/
- missing data imputation/
- trust region methods
[1] [2] [3] [4] [5] [6] [7] [8] [9] [10] [11] [12] [13] [14] [15] [16] [17] [18] [19] [20] [21] [22] [23] [24] [25] [26] [27] [28] [29] [30] [31] [32] [33] [34] [35] [36] [37] [38] [39] [40] [41] -
数据情况 完整数据组 可还原数据组 未还原数据组 缺失变量/个 0 1 2 3 4 4或5 数据/组 21 19 14 33 4 122 发次号 发次类别 α Phs/Gbar vimp/(km·s–1) S Ytotal(1015) 年份 填补数据量 N110914 Velocity 1.6 116 355 1.002 0.58 2011 0 N111215 Shape 1.6 103 312 1.022 0.85 2011 0 N120205 LF 2.7 105 310 1.004 0.593 2011 0 N120321 LF 1.6 156 321 0.918 0.536 2012 0 N120405 LF 1.4 145 324 1.137 0.14 2012 0 N130927 DTHF3 shock 2.7 140 334 1.060 5.1 2012 0 N131119 DTHF 2.2 123 352 1.053 5.98 2013 0 N140120 DTHF-CH 2.5 152 356 0.938 9.25 2013 0 N140520 DTHF-HGF-CH 2.4 152 367 0.948 8.98 2014 0 N141123 DTHFAS 1.6 153 320 0.926 1.37 2014 0 N150115 DTHFAS 2.3 168 335 0.931 3.77 2014 0 N150121 DTHF CH 2.2 219 377 0.948 6.26 2015 0 N161030 DTHDCS8BF 4.0 161 390 0.844 1.87 2015 0 N170109 DTHDCS8BF 4.0 220 411 0.844 2.63 2016 0 N170601 HDC 2.4 320 381 0.910 17 2017 0 N170827 DTHDCS9 2.3 360 395 0.910 16.6 2017 0 N191117 672S9HF 2.7 280 370 0.841 4.99 2017 0 N201001 Hybrid-E 3.0 284 383 1.050 34.9 2020 0 N201122 I-raum 3.2 260 376 1.000 37.7 2020 0 N210207 Hybrid-E 3.0 314 389 1.050 60.7 2021 0 N210220 I-raum 3.1 281 369 1.000 57 2021 0 N130501 DTHF 2.0 69 297 1.002* 0.767 2019 1 N130710 DTHF 2.1* 59 337 1.002 1.2 2013 1 N130812 DTHF 2.7 98 325 1.002* 2.785 2013 1 N140225 DTHF 2.2* 141 334 0.938 2.8 2013 1 N140304 DTHF 2.7 116 364 1.103* 9.28 2013 1 N140707 DTHF 2.3* 165 350 0.938 5 2014 1 N140819 DTHF 2.7 295 390 0.805* 5.47 2014 1 N150416 DTHFAS 2.3 210 325* 0.930 8.46 2014 1 N171022 DTHDCS8BF 2.2 280 373 0.867* 5.85 2014 1 N171210 DT672S9HF 2.2 230 369 0.886* 3.68 2015 1 N180128 DTHDCS9BF 3.9 311 432 0.839* 19 2017 1 N180204 DT672S9HF 2.2 250 385 0.880* 4.12 2017 1 N190415 DT672S9HF 2.2 221* 375 0.841 4.37 2018 1 N190422 DT672S9HF 2.7 169* 364 0.841 2.44 2018 1 N190527 DT672S9HF 2.5 224* 388 0.841 4.72 2019 1 N190602 DT672S9HF 2.5 217* 378 0.841 4.25 2019 1 N190918 Hybrid-E 2.7* 140 374 1.100 7.5 2019 1 N191007 Hybrid-E 2.8* 206 374 1.100 18.8 2019 1 N191110 Hybrid(HDC)-E 2.3 273 366 1.028 20 2019 1 N131219 DTHF 2.5* 120 348 1.117* 3.2 2021 2 N140311 DTHF 2.8* 140 372 1.128* 6.06 2014 2 N160418 DTHDCS8 2.6* 176* 378 0.845 2.86 2013 2 N170328 DT672S9HF 2.6* 240 385 0.897* 5.83 2014 2 N170524 DTHDCS9BF 3.1* 186* 413 0.950 6.2 2016 2 N170813 DT672S9HF 2.6* 255 385 0.875* 5.72 2017 2 N180429 Hybrid-B 2.5* 218* 365 0.999 9.5 2017 2 N180618 DTBe672S8HF 2.3* 220 365 0.776* 1.4 2017 2 N180708 Hybrid-B 2.3* 183* 346 1.000 5.2 2018 2 N181007 Hybrid-B 2.6* 194* 372 1.050 9.1 2021 2 N181203 Hybrid-B 2.8* 186* 393 1.050 8.1 2018 2 N181209 Hybrid-B 2.6* 158* 370 1.099 6.3 2018 2 N190203 Hybrid-B 2.2* 151* 359 1.050 4.4 2018 2 N190318 Hybrid-B 2.5* 168* 367 1.099 7.8 2018 2 N110121 Commsissioning 1.0* 55* 363* 0.021 0.02 2018 3 N110201 Commsissioning 2.4* 145* 334* 1.004 0.11 2019 3 N110212 Commsissioning 1.2* 37* 244* 1.004 0.13 2019 3 N110603 Shock timing 1.2* 50* 260* 1.004 0.065 2011 3 N110608 Shock timing 1.8* 84* 293* 1.004 0.19 2011 3 N110615 Shock timing 2.0* 103* 308* 1.004 0.43 2011 3 N110620 Shock timing 2.4* 228* 372* 1.004 0.42 2011 3 N110804 Velocity 1.3* 56* 267* 1.002 0.0048 2011 3 N110826 Velocity 1.6* 73* 284* 1.002 0.17 2011 3 N110904 Velocity 2.2* 124* 322* 1.002 0.46 2011 3 N110908 Velocity 2.2* 128* 324* 1.002 0.59 2011 3 N111029 Shape 1.5* 63* 274* 1.002 0.009 2011 3 N111103 Shape 2.0* 99* 305* 1.002 0.23 2011 3 N111112 Shape 2.5* 172* 348* 1.002 0.6 2011 3 N120311 LF 1.8* 100* 318 0.827* 0.159 2011 3 N120316 LF 1.8* 116* 316 0.838* 0.275 2011 3 N120417 LF 1.8* 140* 314 0.847* 0.532 2011 3 N120626 LF 1.8* 91* 314 0.829* 0.118 2011 3 N160207 DTHDCS8BF 1.3* 80* 296 0.844 0.18 2012 3 N160411 DTHDCS8 1.9* 141* 307 0.845 0.62* 2012 3 N170702 SymcapHDCS9 2.6* 55* 359 0.801* 0.2 2012 3 N171015 DTHDCS9BF 3.2* 192* 419 0.953* 8.1 2012 3 N171029 DTHDCS9BF 3.4* 201* 436 0.969* 10 2016 3 N171112 SymcapDTHDCS8BF 1.8* 112* 307 0.902* 0.7 2016 3 N171119 DTHDCS9BF 3.4* 206* 433 0.977* 11 2017 3 N171218 DTHDCS9 2.9* 285* 408 0.987 17 2017 3 N180121 DTBe672S8HF 2.1* 113* 328 0.818 0.8 2017 3 N180218 DTHDCS9 3.1* 249* 422 0.990 11.79 2017 3 N180226 DTHDCS9BF 2.9* 241* 404 0.979 10 2017 3 N180909 DT672S9HF 3.2* 262* 427 1.002 14 2017 3 N180930 DT672S9HF 3.5* 259* 451 1.004* 15 2018 3 N181104 Hybrid 2.6* 207* 412* 1.050 10.1 2018 3 N190721 DTHDCS8BF 2.9* 249* 404 0.988* 11 2018 3 N121125 SymcapLF 1.4* 74* 250* 0.954* 0.25 2018 4 N130530 DTHF 2* 105* 298* 1.007* 0.65 2018 4 N130802 DTHF 1.8* 91* 296* 0.984* 0.53 2018 4 N170821 DTHDCS9 2.8* 210* 374* 1.009* 8.7 2019 4 -
[1] [2] [3] [4] [5] [6] [7] [8] [9] [10] [11] [12] [13] [14] [15] [16] [17] [18] [19] [20] [21] [22] [23] [24] [25] [26] [27] [28] [29] [30] [31] [32] [33] [34] [35] [36] [37] [38] [39] [40] [41]
计量
- 文章访问数:5420
- PDF下载量:220
- 被引次数:0












下载:


