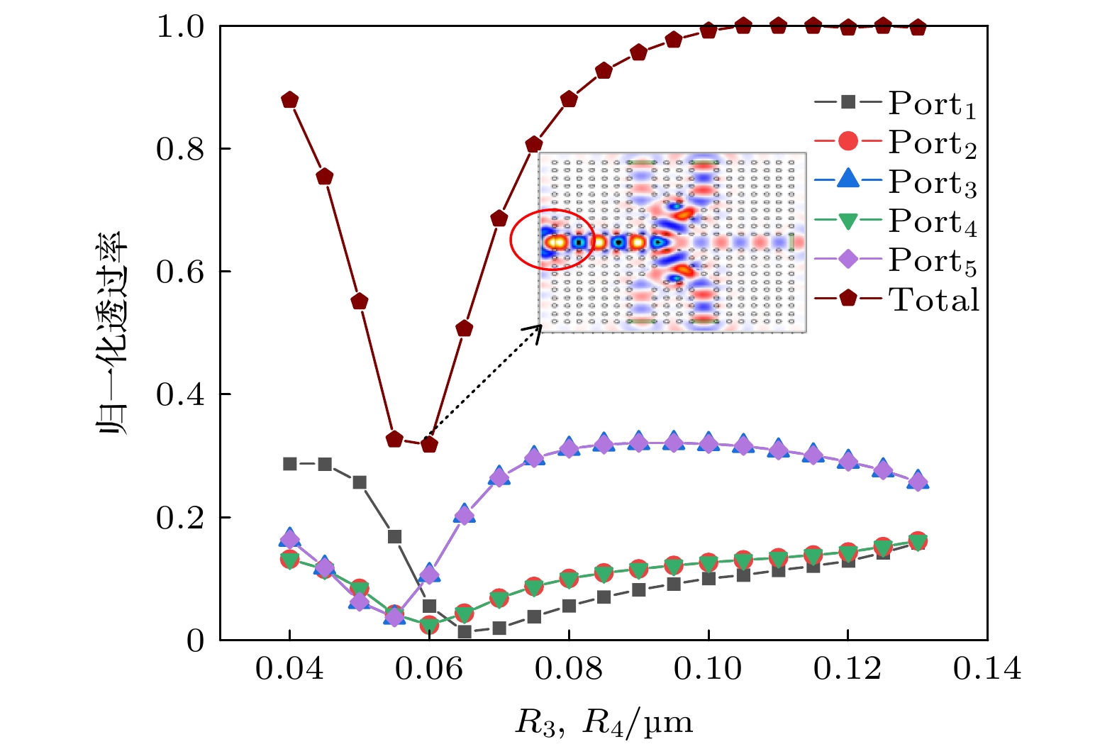
Beam splitter, whose main function is to achieve the splitting, combining and routing of optical signals, is an important component of photonic integrated circuits, passive optical network and other fields. Compared with the conventional beam splitter, photonic crystal beam splitter, which has the virtues of smaller size and higher transmission efficiency, is very suitable for high-density and large-scale integration. The traditional control variable method often used in the optimal design of photonic crystal beam splitter is time-consuming and inefficient. When parameter variables are large, it is difficult for beam splitter to achieve the optimal splitting performance. In addition, it is hard to realize flexible design of beam splitting ratio when optimizing multi-channel photonic crystal beam splitter by this method. In this paper, a novel photonic crystal 1×5 beam splitter, in which two special Y-junction waveguides are introduced into a completely two-dimensional square lattice silicon, is proposed and optimally designed by using downhill-simplex algorithm. Firstly, to determine the optimization range of each variable, the influences of the radius of the dielectric rod in the coupling region and the radius and the lateral offset of the regulating dielectric rod in the center of the two Y-junction waveguides on the five output ports of the 1×5 beam splitter are explored respectively by the plane wave expansion method and finite difference time domain method. The results show that the optical energy coupled from the main waveguide W
1to the upper Y-junction waveguide and lower Y-junction waveguide can be controlled by optimizing the radius of the dielectric rod in the coupling region. The transmittance of the five output ports can be controlled in proportion by optimizing the lateral offset of the regulating dielectric rods. The total transmittance of the five output ports can be improved, and the output of each port can be adjusted by optimizing the radius of the regulating dielectric rod. Then, according to the specific target of the splitting ratio, using downhill-simplex algorithm, the 1×5 beam splitter with different splitting ratio can be reversely designed by optimizing the radius of the coupling dielectric rod and the radius and the lateral offset of the regulating dielectric rod within the selected optimization range. The total transmittance of the 1×5 beam splitter is above 99%, the additional loss is less than 0.044 dB, and the response time is less than 1ps. Besides, to determine the allowable error range of each optimization variable in actual processing, the machining error of the 1×5 beam splitter is analyzed, which provides a theoretical reference for fabricating the device. Owing to the advantages of flexible splitting ratio design, high optimization efficiency, small size and excellent performance, the proposed 1×5 beam splitter will have broad application prospects in the field of photonic integrated circuits and so on.