-
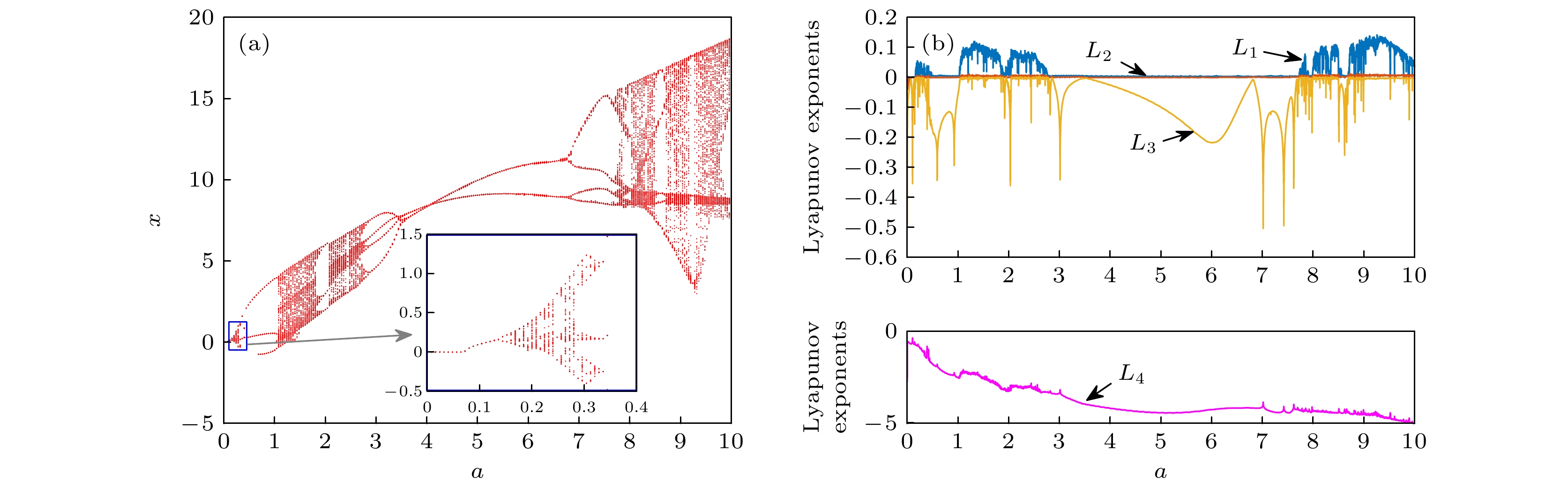
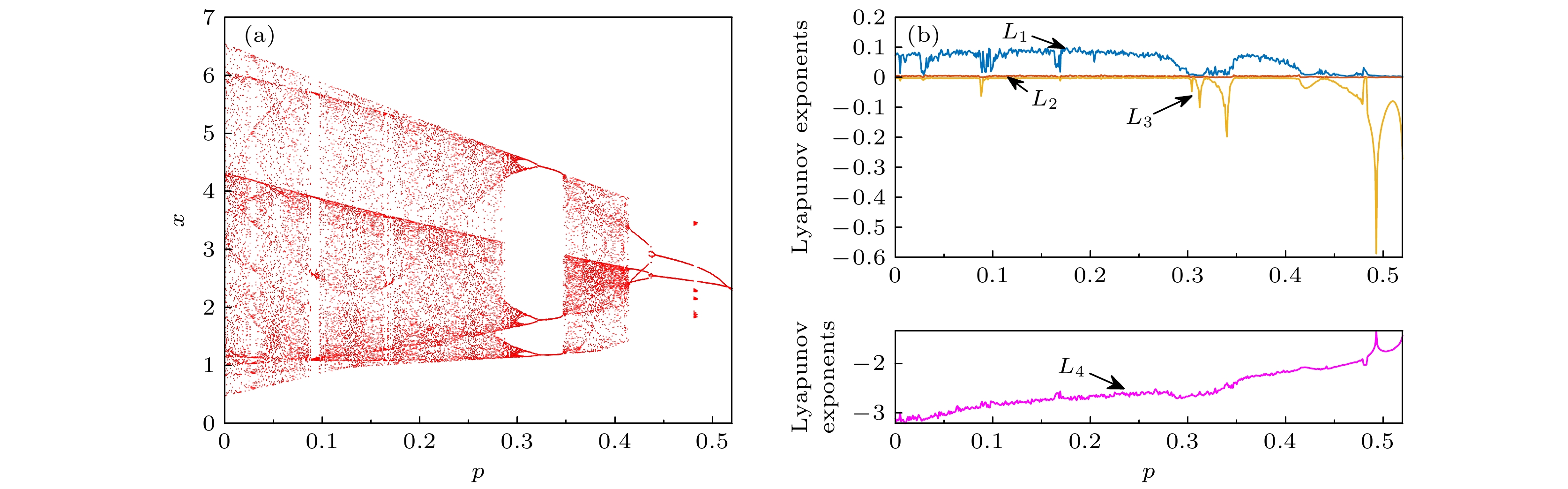
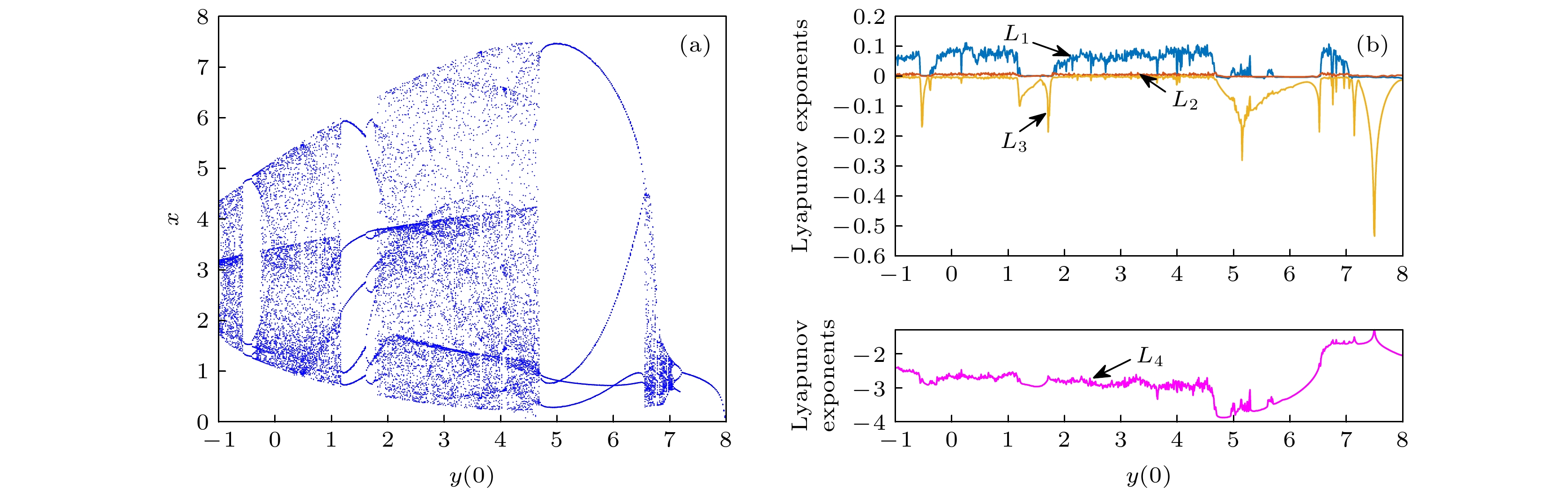
Using memristors to construct special chaotic systems is highly interesting and meaningful. A simple four-dimensional memristive chaotic system with an infinite number of coexisting attractors is proposed in this paper, which has a relatively simple form but demonstrates complex dynamical behavior. Here, we use digital simulations to further investigate the system and utilize the bifurcation diagrams to describe the evolution of the dynamical behavior of the system with the influence of parameters. We find that the system can generate an abundance of chaotic and periodic attractors under different parameters. The amplitudes of the oscillations of the state variables of the system are closely dependent on the initial values. In addition, the experimental results of the circuit are consistent with the digital simulations, proving the existence and feasibility of this memristive chaotic system.
[1] [2] [3] [4] [5] [6] [7] [8] [9] [10] [11] [12] [13] [14] [15] [16] [17] [18] [19] [20] [21] [22] [23] [24] [25] [26] [27] -
系统参数 初始值 吸引子类型 图像编号 a= 1.6,b= 0.5,
p= 0.2,q= 0.1[0.1 0.1 0.2 0.5], [0.1 6.7 0.2 0.5]
[0.1 6.9 0.2 0.5], [0.1 1.5 0.2 0.5]
[0.1 6.5 0.2 0.5], [0.1 6.8 0.2 0.5]三个混沌吸引子与三个周期吸引子 图7(a) a= 0.2,b= 0.5,
p= 0.2,q= 0.1[0.1 0.1 0.2 1.2], [0.1 0.1 0.2 –0.5]
[0.1 0.1 0.2 0.86], [0.1 0.1 0.2 0.5]
[0.1 0.1 0.2 0.9]三个周期吸引子与两个混沌吸引子 图7(b) a= 6,b= 0.5,
p= 0.2,q= 0.1[0.1 0.1 0.2 0.5], [0.1 5.6 0.2 0.5]
[0.1 2 0.2 0.5], [0.1 4 0.2 0.5]两个周期吸引子与两个混沌吸引子 图7(c) a= 8,b= 0.5,
p= 0.2,q= 0.1[0.1 –6 0.2 0.5], [0.1 6 0.2 0.5]
[0.1 4 0.2 0.5], [0.1 3 0.2 0.5]三个周期吸引子与一个混沌吸引子 图7(d) a= 2,b= 0.6,
p= 0.5,q= 0.1[0.1 1 –0.2 1], [0.1 1 –0.2 –2]
[0.1 1 –0.2 –1.2]三个混沌吸引子 图7(e) a= 0.5,b= 0.5,
p= 0.5,q= 0.1[0.1, 4, 0.2, 0.5], [0.1, –1, 0.2, 0.5]
[0.1, 4.3, 0.2, 0.5], [0.1, –2, 0.2, 0.5]四个混沌吸引子 图7(f) -
[1] [2] [3] [4] [5] [6] [7] [8] [9] [10] [11] [12] [13] [14] [15] [16] [17] [18] [19] [20] [21] [22] [23] [24] [25] [26] [27]
计量
- 文章访问数:4827
- PDF下载量:170
- 被引次数:0












下载:










