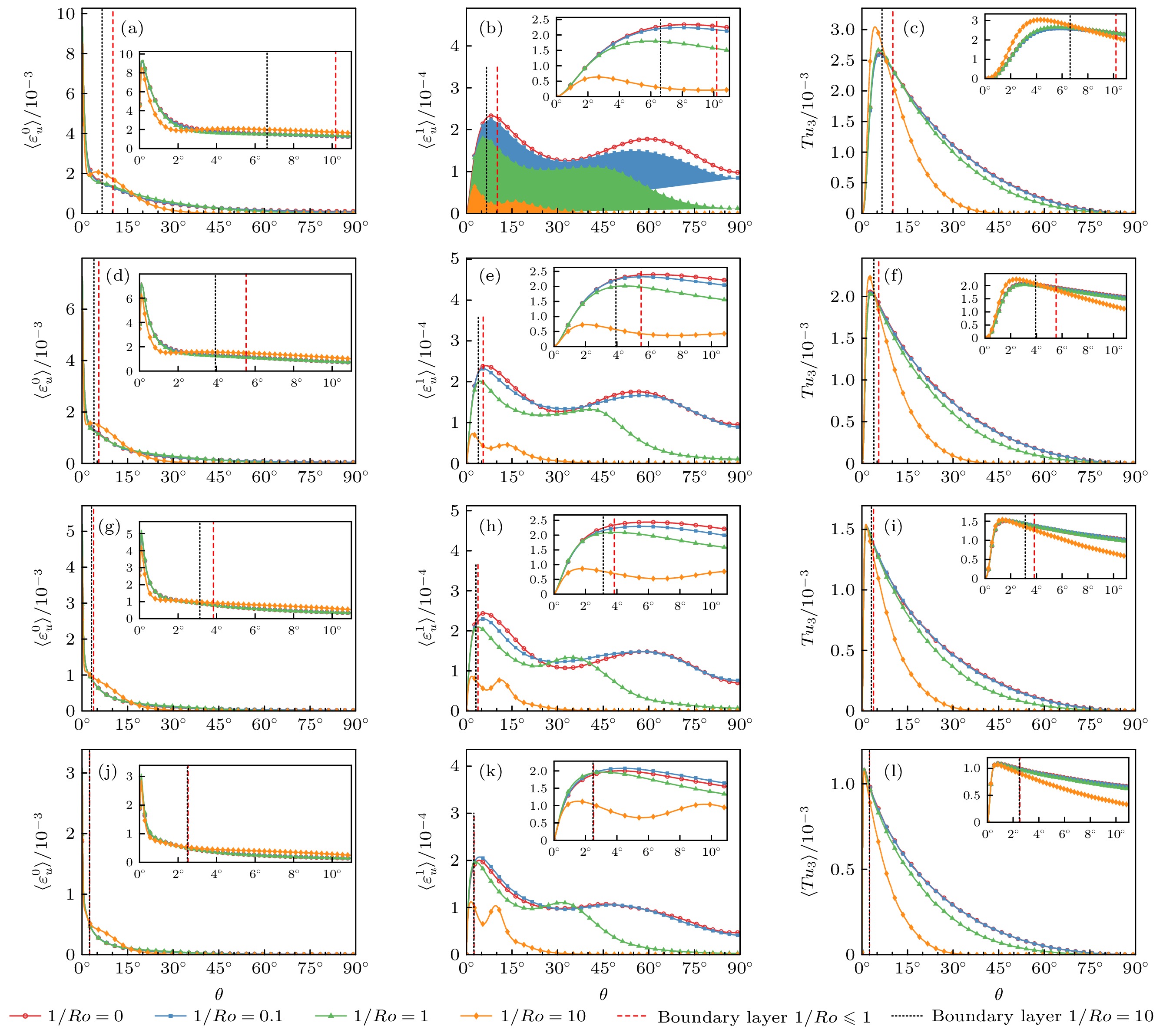
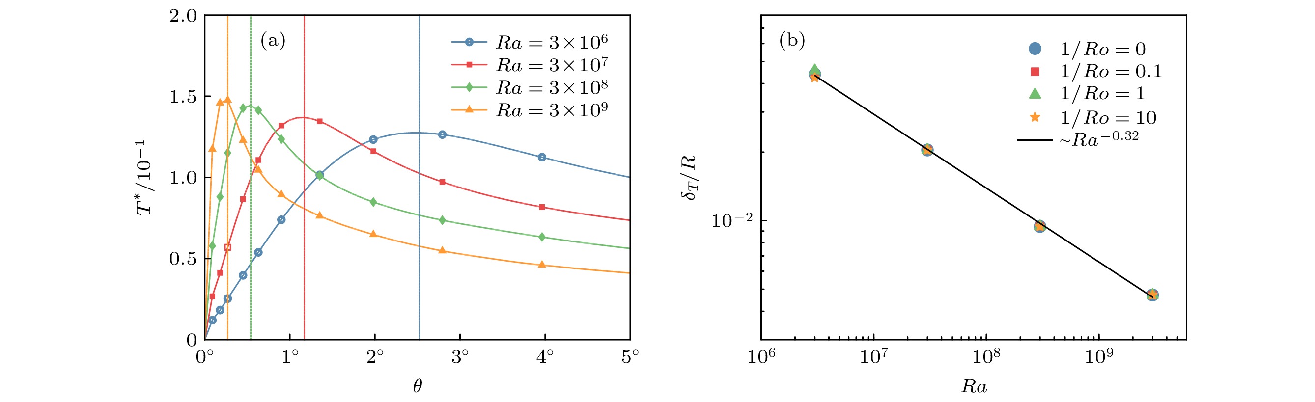
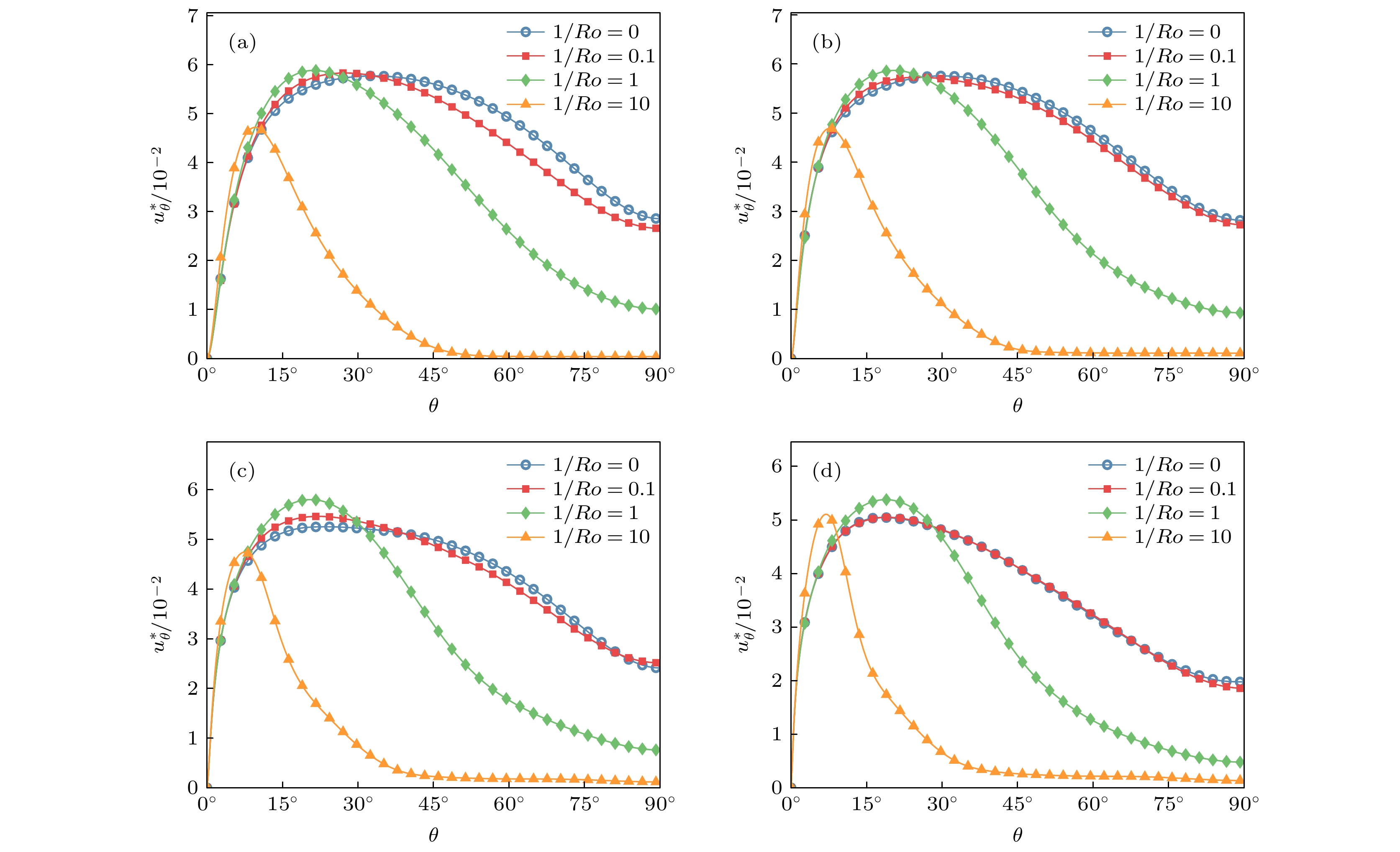
The soap bubble heated at the bottom is a novel thermal convection cell, which has the inherent spherical surface and quasi two-dimensional features, so that it can provide an insight into the complex physical mechanism of the planetary or atomspherical flows. This paper analyses the turbulent thermal convection on the soap bubble and addresses the properties including the thermal layer and the viscous boundary layer, the thermal dissipation and the kinetic dissipation by direct numerical simulation (DNS). The thermal dissipation and the kinetic dissipation are mostly occur in the boundary layers. They reveal the great significance of the boundary layers in the process of the energy absorption. By considering the complex characteristics of the heated bubble, this study proposes a new definition to identify the thermal boundary layer and viscous boundary layer. The thermal boundary layer thickness of
$\delta_{T}$
is defined as the geodetic distance between the equator of the bubble and the latitude at which the the mean square root temperature (
$T^{*}$
) reaches a maximum value. On the other hand, the viscous boundary layer thickness
$\delta_{u}$
is the geodetic distance from the equator at the latitude where the extrapolation for the linear part of the mean square root turbulent latitude velocity (
$u^{*}_{\theta}$
) meets its maximum value. It is found that
$\delta_{T}$
and
$\delta_{u}$
both have a power-law dependence on the Rayleigh number. For the bubble, the scaling coefficent of
$\delta_{T}$
is
$-0.32$
which is consistent with that from the Rayleigh-Bénard convection model. The rotation does not affect the scaling coefficent of
$\delta_{T}$
. On the other hand, the scaling coefficent of
$\delta_{u}$
equals
$-0.20$
and is different from that given by the Rayleigh-Bénard convection model. The weak rotation does not change the coefficent while the strong rotation makes it increase to
$-0.14$
. The profile of
$T^{*}$
satisfies the scaling law of
$T^{*}\sim\theta^{0.5}$
with the latitude of (
$\theta$
) on the bubble. The scaling law of the mean square root temperature profile coincides with the theoretical prediction and the results obtained from the Rayleigh-Bénard convection model. However, the strong rotation is capable of shifting the scaling coefficent of the power law away from
$0.5$
and shorterning the interval of satisfying the power law. Finally, it is found that the internal thermal dissipation rate and kinetic dissipation rate
$\varepsilon^0_T$
and
$\varepsilon^0_u$
are one order larger than their peers: the external thermal dissipation and kinetic dissipation rates
$\varepsilon^1_T$
and
$\varepsilon^1_u$
based on a thorough analysis of the energy budget. The major thermal dissipation and kinetic dissipation are accumulated in the boundary layers. With the rotation rate increasing, less energy is transfered from the bottom to the top of the bubble and the influence of the external energy dissipations is less pronounced.