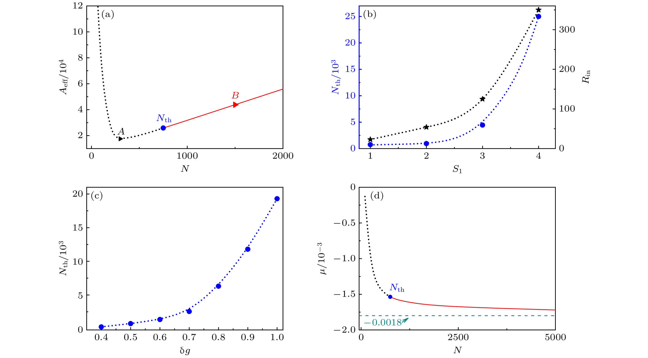
\begin{document}${S_{1,2}} = \pm 1$\end{document}的隐秘涡旋量子液滴; 因此当横向囚禁尺度较弱时, 准二维空间中李-黄-杨修正项仍然采用三维空间中的表达式来描述, 此时隐秘涡旋量子液滴能否保持稳定是一个重要的科学问题. 本文采用虚时间方法获得了拓扑荷\begin{document}${S_{1,2}}$\end{document}达到\begin{document}$ \pm 4$\end{document}的隐秘涡旋量子液滴; 进一步论证了隐秘涡旋量子液滴的有效面积\begin{document}${A_{{\text{eff}}}}$\end{document}和化学势\begin{document}$\mu $\end{document}与总粒子数\begin{document}$N$\end{document}之间的依赖关系; 并采用线性稳定性分析结合实时传输方法获得了总粒子数临界值\begin{document}${N_{{\text{th}}}}$\end{document}分别与拓扑荷\begin{document}${S_1}$\end{document}和非线性系数\begin{document}${\text{δ}}g$\end{document}之间的依赖关系. 在动力学部分, 本文研究了由两个不同拓扑荷的隐秘涡旋量子液滴构造的复合涡旋模式, 即嵌套涡旋量子液滴. 结合量子液滴的密度分布具有“平顶型”的特点, 采用Thomas-Fermi近似对数值结果进行了有效验证."> - 必威体育下载

搜索

x

留言板

姓名
邮箱
手机号码
标题
留言内容
验证码

downloadPDF
引用本文:
Citation:

陈逸熙, 蔡晓妍, 刘彬, 江迅达, 黎永耀

Hidden vortices of quantum droplets in quasi-two dimensional space

Chen Yi-Xi, Cai Xiao-Yan, Liu Bin, Jiang Xun-Da, Li Yong-Yao
PDF
HTML
导出引用
计量
  • 文章访问数:4635
  • PDF下载量:141
  • 被引次数:0
出版历程
  • 收稿日期:2022-04-16
  • 修回日期:2022-06-16
  • 上网日期:2022-10-16
  • 刊出日期:2022-10-20

    返回文章
    返回