搜索

x

留言板

姓名
邮箱
手机号码
标题
留言内容
验证码

downloadPDF
引用本文:
Citation:

    朱茂聪, 邵雅洁, 周静, 陈文, 王志青, 田晶

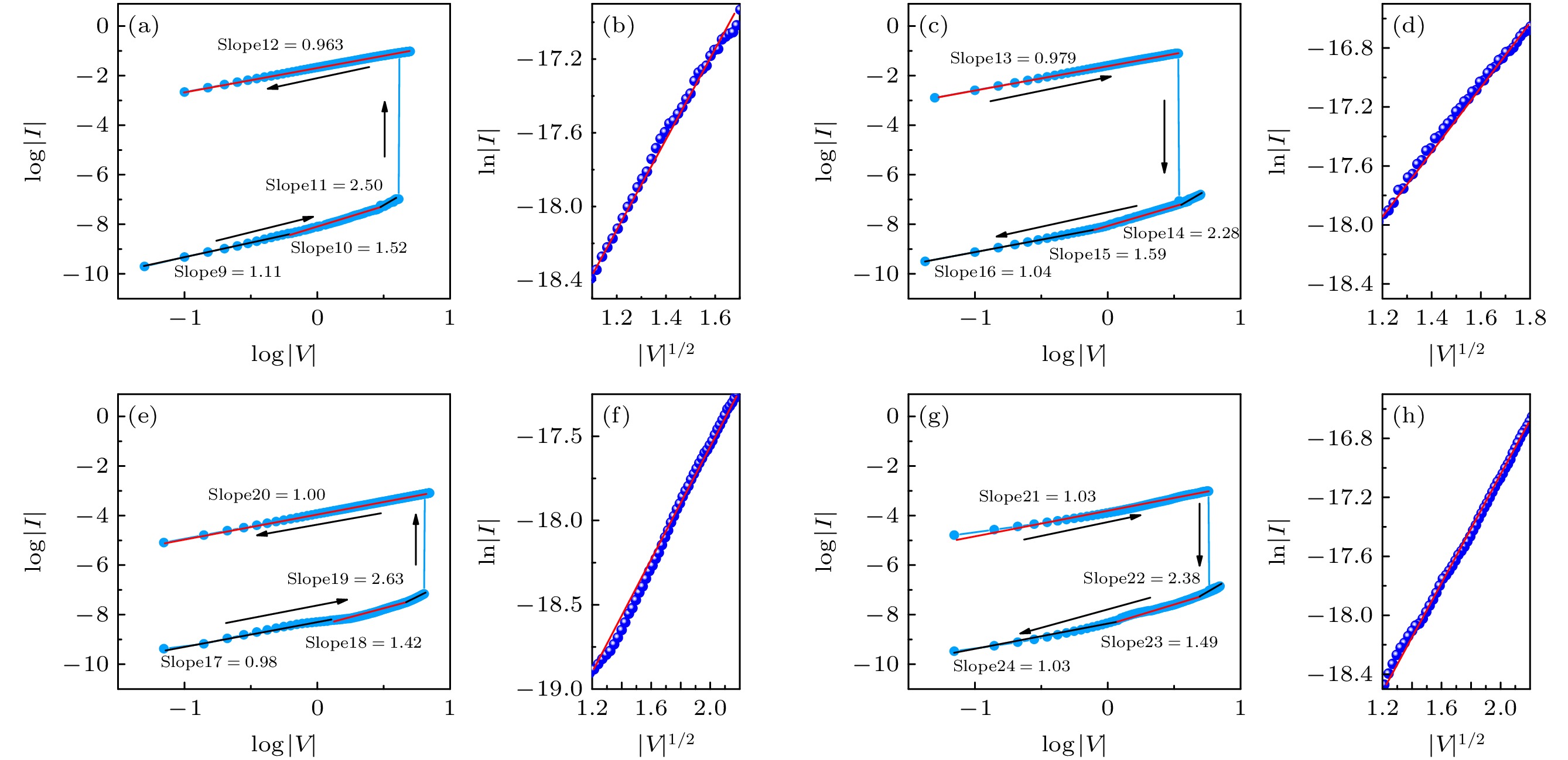
    Resistive properties of CuInS2quantum dots regulated by niobium-doped lead zirconate titanate ferroelectric films

    Zhu Mao-Cong, Shao Ya-Jie, Zhou Jing, Chen Wen, Wang Zhi-Qing, Tian Jing
    PDF
    HTML
    导出引用
    计量
    • 文章访问数:3820
    • PDF下载量:54
    • 被引次数:0
    出版历程
    • 收稿日期:2022-05-09
    • 修回日期:2022-06-08
    • 上网日期:2022-10-07
    • 刊出日期:2022-10-20

      返回文章
      返回