搜索

x

留言板

姓名
邮箱
手机号码
标题
留言内容
验证码

downloadPDF
引用本文:
Citation:

    王娜, 许会芳, 杨秋云, 章毛连, 林子敬

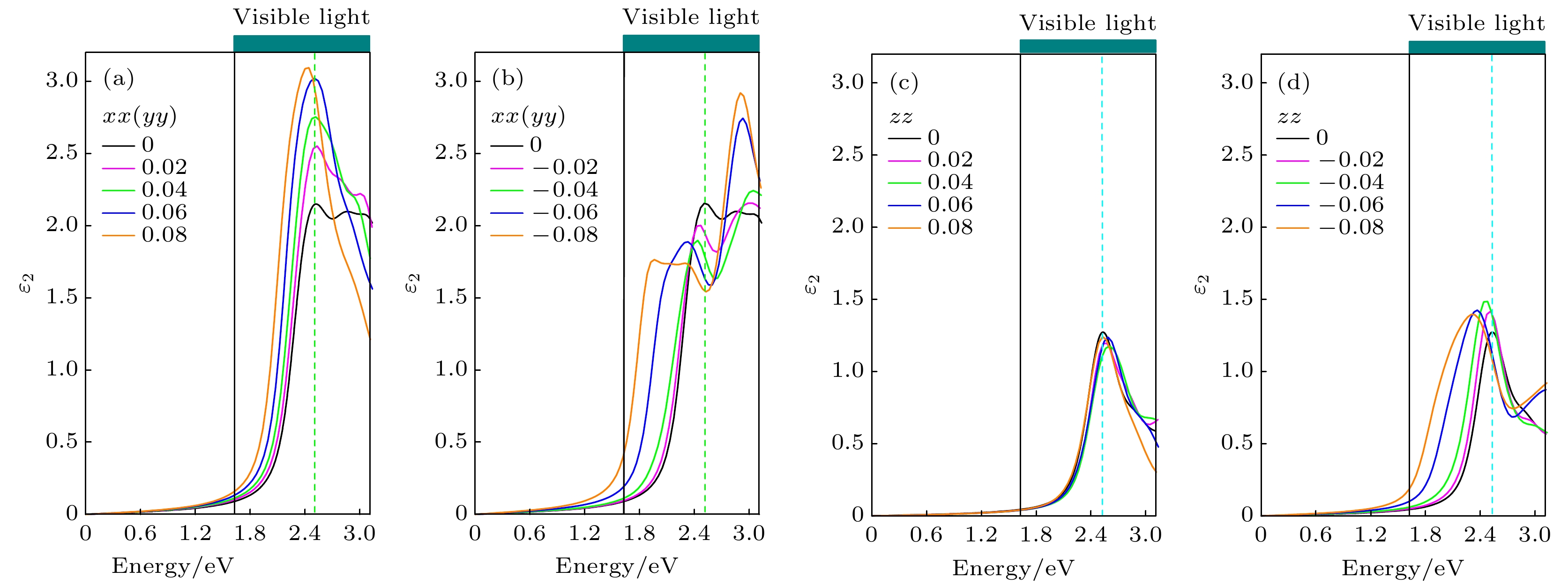
    First-principles study of strain-tunable charge carrier transport properties and optical properties of CrI3monolayer

    Wang Na, Xu Hui-Fang, Yang Qiu-Yun, Zhang Mao-Lian, Lin Zi-Jing
    PDF
    HTML
    导出引用
    计量
    • 文章访问数:4523
    • PDF下载量:169
    • 被引次数:0
    出版历程
    • 收稿日期:2022-05-22
    • 修回日期:2022-06-15
    • 上网日期:2022-10-09
    • 刊出日期:2022-10-20

      返回文章
      返回