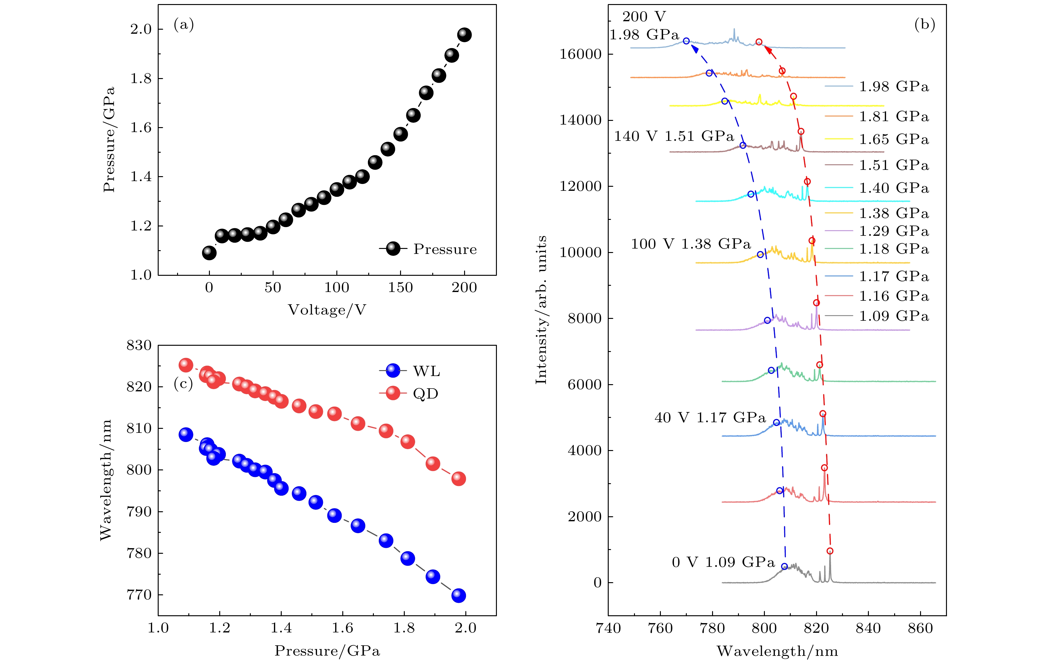
In the past few decades, the studies of exciton emissions coupled with the metal nanoparticles have mainly focused on the enhancing exciton radiation and reducing exciton lifetime by near-field coupling interactions between excitons and metal nanoparticles. Only in recent years has the plasmon-field-induced to extend exciton lifetime (inhibition of the exciton emission) been reported. Experimentally, for observing a long-lifetime exciton state it needs to satisfy a condition of
$kz\sim1$
, instead of near-field condition of
$ kz\ll 1 $
, where
$k=2{\pi }n/\lambda$
is the wavevector,
$ n $
is the refractive index,
$ \lambda $
is the wavelength, and
$ z $
is the separation distance between the emitter and metal nanoparticle. Thus, in this paper, we tune the exciton emission wavelength by applying hydrostatic pressure to achieve the condition of
$kz\sim1$
in order to in detail investigate the coupling between excitons and metal nanoparticles. The studied InAs/GaAs quantum dot (QD) sample is grown by molecular beam epitaxy on a (001) semi-insulating GaAs substrate. After the AlAs sacrificial layer is etched with hydrofluoric acid, the QD film sample is transferred onto an Si substrate covered with Ag nanoparticles. Then the sample is placed in the diamond anvil cell device combined with a piezoelectric ceramic. In this case we can measure the photoluminescence and time-resolved photoluminescence spectra of the QD sample under different pressures. It is found that the observed longest exciton lifetime is
$(120\pm 4)\times 10~\rm{n}\rm{s}$
at a pressure of
$ 1.38\;\rm{G}\rm{P}\rm{a} $
, corresponding the exciton emission wavelength of
$ 797.49\;\rm{n}\rm{m} $
,which is about
$ 1200 $
times longer than the exciton lifetime of
$\sim 1\;\rm{n}\rm{s} $
in QDs without the influence of Ag nanoparticles. The experimental results can be understood based on the destructive interference between the quantum dot exciton radiation field and the scattering field of metal nanoparticles. This model proposes a convenient way to increase the emission lifetime of dipoles on a large scale, and is expected to be applied to quantum information processing, optoelectronic applications, fundamental physics researches such as Bose-Einstein condensates.