-
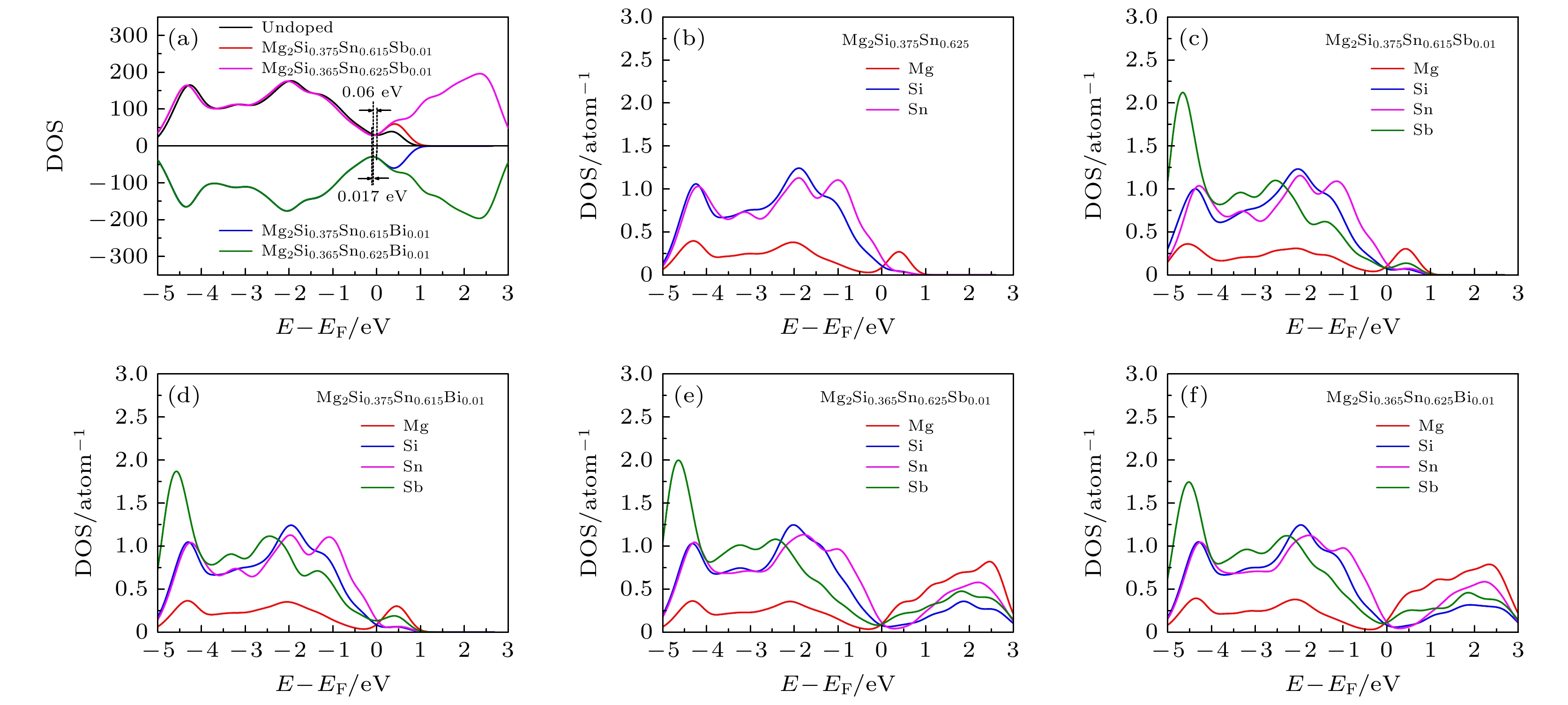
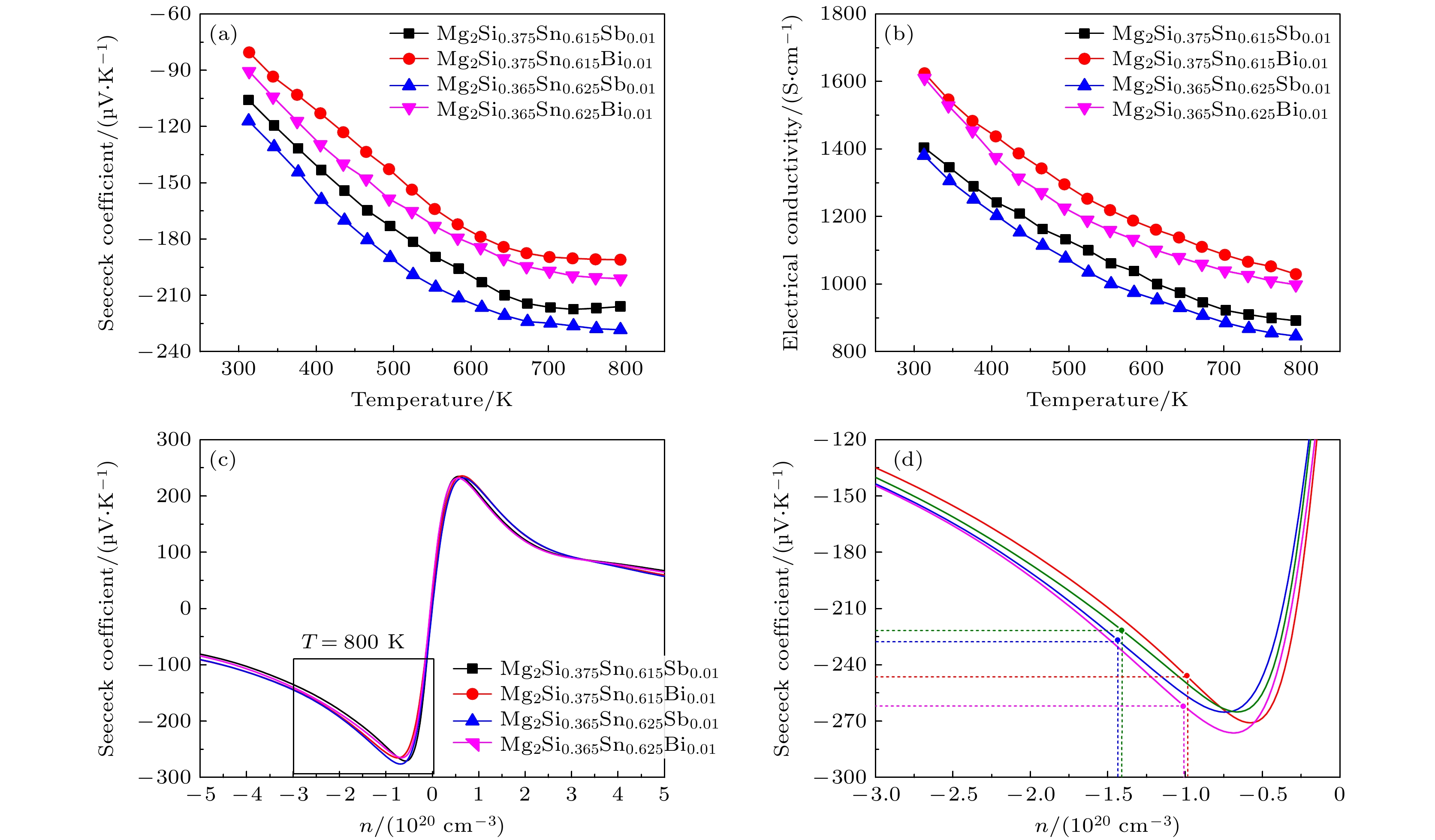
中温区Mg 2(Si, Sn)基热电材料因其廉价、无毒无害等优点极具发展潜力. 其中, 三元Mg 2Si 1–xSn x合金的电子传输性能须通过元素掺杂来进行优化, 最常见的掺杂元素Bi和Sb均可以对载流子浓度、迁移率和有效质量等传输性能参数进行调节, 而不同的原子置换位置会对合金的电子传输特性产生较大的影响. 因此, 本文采用第一性原理计算的方法, 对Sb, Bi元素分别置换Si, Sn位置的缺陷形成能进行了分析, 结合能带结构和态密度的变化分析其对载流子传输性能参数的影响. 通过甩带快速凝固方法制备了Bi, Sb掺杂Mg 2Si 1–xSn x晶体, 结合求解Boltzmann方程对电子传输性能的预测结果进行对比分析. 结果表明, Bi, Sb原子均更加倾向于取代Si位, Sb原子的取代具有更低的形成能. 与Bi元素相比, 相同成分的Sb掺杂下载流子浓度较低, 但可以提供更大的载流子有效质量, 因此可以获得更高的Seebeck系数和功率因子, 最高值可达–228 μV/K和4.49 mW/(m·K 2), 而Bi掺杂可以提供更高的电导率. 本研究结果可以为掺杂优化Mg 2(Si, Sn)基合金的热电性能提供理论参考.Mg 2(Si,Sn)-based thermoelectric materials, which are environmentally friendly and low-cost, have great development potential in a moderate temperature range. Electronic transport properties of Mg 2Si 1-xSn xalloys can be optimized by doping elements. Doping is still one of the most effective methods of optimizing electronic transport performance, such as carrier concentration, mobility, and effective mass. The most effective doping elements are Sb and Bi. Much attention has been paid to the influence of element type and doping content. Different substitution sites will also greatly affect the electronic transport parameters. In this work, the defect formation energy value of Mg 2Si 0.375Sn 0.625alloy for substituting Sb atoms and Bi atoms for Sn sties and Si sites, respectively, are calculated by first-principles calculations. The influence on electronic transport parameters is systematically analyzed by combining the calculated results of band structures and density of states. Corresponding component Sb and Bi atoms doped Mg 2Si 0.375Sn 0.625alloys are prepared by rapid solidification method, and microstructures, Seebeck coefficients, and electrical conductivities of the alloys are measured. Combined with the predicted results by solving the Boltzmann transport equation, electronic transport performances are compared and analyzed. The results indicate that both Sn and Si sites are equally susceptible to Sb and Bi doping, but the Si sites are preferentially substituted due to their lower ∆ E fvalues. Doped Bi atoms provide a higher electron concentration, and Sb atoms offer higher carrier effective mass. Thus, the maximum σvalue of the Mg 2Si 0.375Sn 0.615Bi 0.01alloy is 1620 S/cm. The maximum Svalue of the Mg 2Si 0.365Sn 0.625Sb 0.01alloy is –228 μV/K. Correspondingly, the highest PFvalue for this alloy is 4.49 mW/(m·K) at T= 800 K because of the dominant role of Svalues. Although its power factor is slightly lower, the Mg 2Si 0.375Sn 0.615Sb 0.01alloy is expected to exhibit lower lattice thermal conductivity due to the lattice shrinkage caused by substituting Sb sites for Sn sites. The optimal doping concentration of the Bi-doped alloy is lower than that of the Sb-doped alloy. These results are expected to provide a significant reference for optimizing the experimental performance of Mg 2(Si, Sn)-based alloys.
-
Keywords:
- first-principles calculation/
- atomic substituted sites/
- electronic transport performance/
- rapid solidification
[1] [2] [3] [4] [5] [6] [7] [8] [9] [10] [11] [12] [13] [14] [15] [16] [17] [18] [19] [20] [21] [22] [23] [24] [25] [26] [27] [28] [29] [30] [31] [32] [33] [34] [35] [36] [37] [38] -
超晶胞结构 晶格常数/Å 键类型 Mulliken
布居数键长
度/Å形成
能/eVMg192Si36Sn60 18.436 Mg—Sn 0.26 2.846 — Mg—Si 0.19 2.748 Mg192Si36Sn59Sb 18.422 Mg—Sb 0.10 2.896 –1.102 Mg—Sn 0.33 2.814 Mg—Si 0.22 2.708 Mg192Si36Sn59Bi 18.442 Mg—Bi 0.22 2.963 –0.674 Mg—Sn 0.27 2.849 Mg—Si 0.20 2.763 Mg192Si35Sn60Sb 18.438 Mg—Sb 0.14 2.935 –1.337 Mg—Sn 0.30 2.831 Mg—Si 0.21 2.727 Mg19Si35Sn60Bi 18.440 Mg—Bi 0.17 2.989 –0.945 Mg—Sn 0.20 2.855 Mg—Si 0.20 2.766 理论成分 元素含量/% 实际成分 Mg Si Sn Sb/Bi Mg2Si0.375Sn0.625 66.91 12.51 20.58 — Mg2.007Si0.375Sn0.618 Mg2Si0.375Sn0.615Sb0.01 66.82 12.43 20.36 0.39 Mg2.004Si0.373Sn0.611Sb0.012 Mg2Si0.375Sn0.615Bi0.01 66.88 12.41 20.30 0.41 Mg2.006Si0.372Sn0.609Bi0.013 Mg2Si0.365Sn0.625Sb0.01 66.93 12.01 20.74 0.32 Mg2.008Si0.360Sn0.623Sb0.009 Mg2Si0.365Sn0.625Bi0.01 66.77 12.07 20.71 0.45 Mg2.003Si0.362Sn0.621Bi0.014 -
[1] [2] [3] [4] [5] [6] [7] [8] [9] [10] [11] [12] [13] [14] [15] [16] [17] [18] [19] [20] [21] [22] [23] [24] [25] [26] [27] [28] [29] [30] [31] [32] [33] [34] [35] [36] [37] [38]
计量
- 文章访问数:2997
- PDF下载量:44
- 被引次数:0












下载:






