-
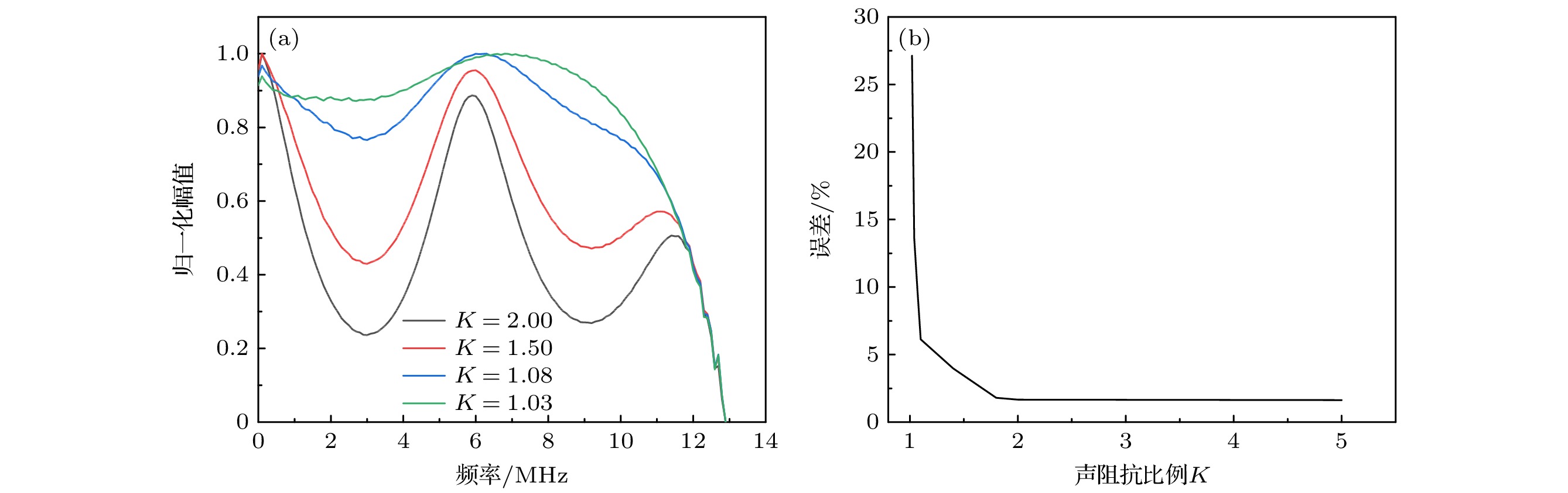
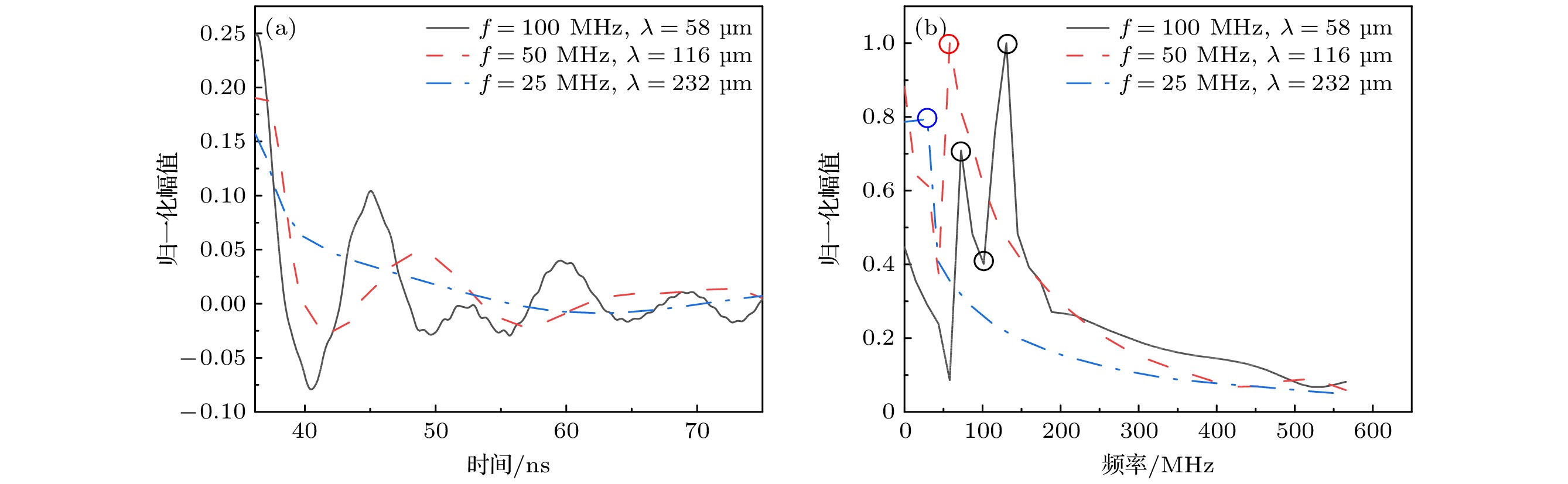
不同于经典滚动接触疲劳形成的缺陷, 亚表面白蚀缺陷会引起轴承零件的早期失效, 严重缩短零件的寿命. 它位于金属亚表面且尺寸微小, 难以使用常规手段实现检测. 白蚀缺陷成因尚不明确, 不同演化阶段的缺陷样品制备耗时费力. 本文建立了白蚀缺陷演化模型, 基于 k空间伪谱法开展了水浸超声检测过程数值实验. 对于含裂纹的白蚀缺陷演化后期, 可以忽略内部晶粒结构建立均匀层状模型, 使用经典声压反射系数幅度谱获取裂纹深度, 误差为1.5%. 对于不含裂纹的其他白蚀缺陷状态, 则存在内部声阻抗差异较小, 频谱特征不再明显等问题. 基于维诺图(Voronoi)建立轴承晶粒模型, 利用晶粒对超声的背散射效应来放大微观结构信号. 高频情况下, 基于深度卷积神经网络的训练准确率达92%, 验证准确率为97%. 即使在较低检测频率下, 背散射信号较弱, 仍能获得81%的准确率. 为白蚀缺陷的早期检测提供了有效方案.
Unlike classical defects formed by rolling contact fatigue, white etching defect (WED) including white etching area and white etching crack will cause surface to spall in the early stage and the service life to shorten seriously. Located in the subsurface of bearings, the tiny size WED is difficult to detect by conventional ultrasonic methods. The root cause of WED generation remains unclear. It is time consuming and expensive to prepare samples during the evolution of such defects. For characterizing the WED at early stage, five evolving states concerning the existing microscopic information are established in this paper. The immersion ultrasonic inspection process is simulated based on k-space pseudo spectrum method. For the later evolutionary stage with crack, the bearing can be simplified into a homogeneous three-layer model by ignoring the internal grain structure. The crack depth is obtained by using the ultrasonic reflection coefficient amplitude spectrum (URCAS), with an error of 1.5%. For other states without crack, the spectrum characteristic is no longer evident with slight acoustic impedance difference between layers. The polycrystalline structure on a microscale is thus realized based on Voronoi diagram, from which the grain induced backscattering can be used to amplify the microstructure variations at different stages. The backscattering signal is influenced by the grain size and detection frequency from the simulation. Since a direct comparison of backscattering information among evolutionary stages is difficult, the five different evolutionary stages of WED are recognized with the help of deep learning. The received waveform is transformed into a time-frequency map by short-time Fourier transform. Based on RESNET network structure, the results show that the train accuracy and validation accuracy reach 92% and 97% respectively. This study provides a sound way to characterize WED, which is conducive to early failure prediction and residual life evaluation. -
Keywords:
- white etching defect/
- ultrasonic backscattering/
- deep learning/
- ultrasonic reflection coefficient amplitude spectrum
[1] [2] [3] [4] [5] [6] [7] [8] [9] [10] [11] [12] [13] [14] [15] [16] [17] [18] [19] [20] [21] [22] [23] [24] [25] [26] [27] [28] [29] [30] [31] [32] [33] [34] [35] [36] [37] [38] [39] -
检测
频率/MHz回合 训练集
准确率/%验证集
准确率/%损失 检测
频率/MHz回合 训练集
准确率/%验证集
准确率/%损失 100 1 35.24 58.70 2.05 50 1 34.21 56.48 2.20 10 83.19 91.28 0.46 10 81.68 88.70 0.48 20 88.20 95.66 0.31 20 86.40 93.77 0.33 30 92.42 97.31 0.21 30 90.01 95.16 0.22 25 1 32.14 50.02 2.32 15 1 26.80 45.96 2.35 10 74.65 87.95 0.63 10 70.52 83.66 0.68 20 81.43 90.71 0.43 20 79.92 88.50 0.45 30 85.99 93.40 0.22 30 81.03 91.02 0.22 -
[1] [2] [3] [4] [5] [6] [7] [8] [9] [10] [11] [12] [13] [14] [15] [16] [17] [18] [19] [20] [21] [22] [23] [24] [25] [26] [27] [28] [29] [30] [31] [32] [33] [34] [35] [36] [37] [38] [39]
计量
- 文章访问数:3073
- PDF下载量:81
- 被引次数:0












下载:









