-
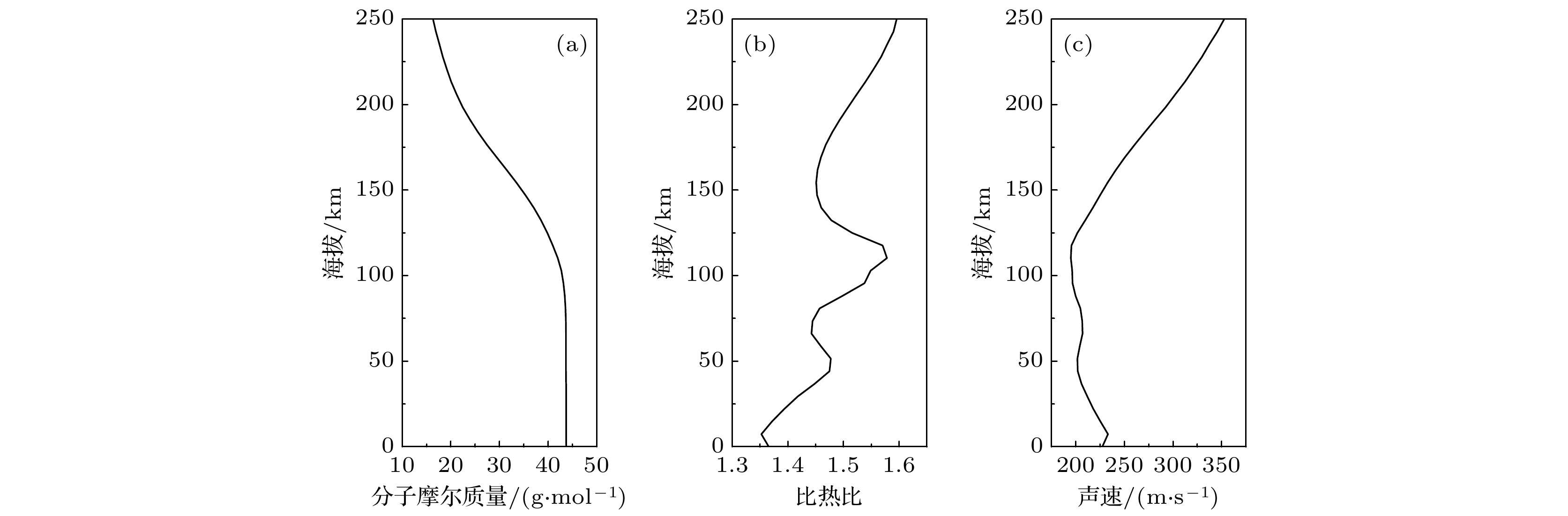
火星声探测技术逐渐成为火星探测的一种重要手段. 为了探测火星声源, 需研究稀薄低温火星大气中的声速和声衰减、建立分层大气中的声传播模型. 本文提出了一种结合Navier-Stokes (NS)声波方程和变组分混合气体的声速模型, 考虑了火星极端稀薄大气中的声频散, 将火星声速剖面模拟计算拓展到0—250 km海拔范围, 并讨论了NS声速剖面的适用条件. 本文实验验证了低压、低温环境中, 在分子平动、旋转和振动弛豫作用下, 三原子二氧化碳中存在明显声频散. 随后分别基于频散NS声速和无频散理想气体声速剖面, 模拟了地面声源和高空声源产生的不同频率声波的传播路径. 研究发现声频散显著影响了声传播路径, 降低了声线首次折返高度、缩短了声线折回火星地表的距离、减小了第一声影区的范围等. 而且频率越高、声源海拔高度越高, 频散对声传播的影响越剧烈, NS方程的连续性假设失效, 更高频的声波需要基于Boltzmann方程和分子模拟法建立声频散模型.At present, Mars acoustic detection is gradually becoming an important new tool for understanding and exploring Mars. To explore the sources of Mars sound, it is necessary to study the sound speed and the sound attenuation in the thin and low-temperature Martian atmosphere, and to model the sound propagation in the stratified atmosphere. According to the extremely low pressure of Mars and the large variation of gas composition with altitude, we propose a simulation method based on the Navier-Stokes (NS) equation and the mixed-gas model to calculate the vertical profiles of sound speed and attenuation in the Martian atmosphere at 0–250 km altitude in this work. A comparison among sound-speed profiles at different frequencies shows that there is a notable sound dispersion in the Martian atmosphere, especially at high altitudes and in the high frequency range. It is also verified through sound speed measurement experiments that significant sound dispersion does exist in low-pressure carbon dioxide, implying the need to consider sound dispersion in the modelling of Martian sound speed profiles. The scope of application of the NS equation in modelling the sound speed of the Martian atmosphere is also discussed, as the NS equation may fail in a too rarefied gas. Next, the non-dispersive ideal-gas sound speed profiles and the dispersive NS sound speed at different frequencies (0.01, 0.1, 1 Hz) are used to simulate the sound propagation paths in the multilayered Martian atmosphere. And both cases of the Martian ground-based and high-altitude sources are compared with each other. It is found that the dispersive sound speed has a significant effect on the sound propagation path on Mars. The main influence is that the first fold back height and the first return distance of the sound ray to the surface are both shortened, which directly changes the area and location of the acoustic quiet zone. The effect of dispersion on the sound propagation path becomes more notable with both the frequency and the elevation of the acoustic source increasing, confirming that consideration of dispersion has a significant effect on the calculation of the sound propagation path.
[1] [2] [3] [4] [5] [6] [7] [8] [9] [10] [11] [12] 7
[13] [14] [15] [16] [17] [18] [19] [20] [21] [22] [23] [24] [25] [26] [27] [28] [29] [30] [31] [32] [33] [34] [35] [36] [37] [38] [39] [40] [41] [42] -
气体种类 分子摩尔质量Mi/(g·mol–1) CO2 44.0095 N2 28.0134 Ar 39.9480 CO 28.0101 O 15.9994 H2 2.01588 气体 A B C D E CO2 24.9974 55.1870 –33.6914 7.94839 –0.136638 Ar 20.7860 2.82591 × 10–7 –1.46419 × 10–7 1.09213 × 10–8 –3.66137 × 10–8 N2 28.9864 1.85398 –9.64746 16.6354 0.000117 CO 25.5676 6.09613 4.05466 –2.67130 0.131021 O — — — — — H2 33.0662 –11.3634 11.4328 –2.7728 –0.15856 频率/Hz 0.01 0.1 1 NS声速适用高度/km < 250.0 < 188.0 < 149.9 理想气体声速 0.01 Hz NS声速 0.1 Hz NS声速 1 Hz NS声速 折回高度/km 237.3 190.5 163.2 141.3 声影区/km 554.3 231.2 194.9 167.3 -
[1] [2] [3] [4] [5] [6] [7] [8] [9] [10] [11] [12] 7
[13] [14] [15] [16] [17] [18] [19] [20] [21] [22] [23] [24] [25] [26] [27] [28] [29] [30] [31] [32] [33] [34] [35] [36] [37] [38] [39] [40] [41] [42]
计量
- 文章访问数:3699
- PDF下载量:59
- 被引次数:0












下载:









