-
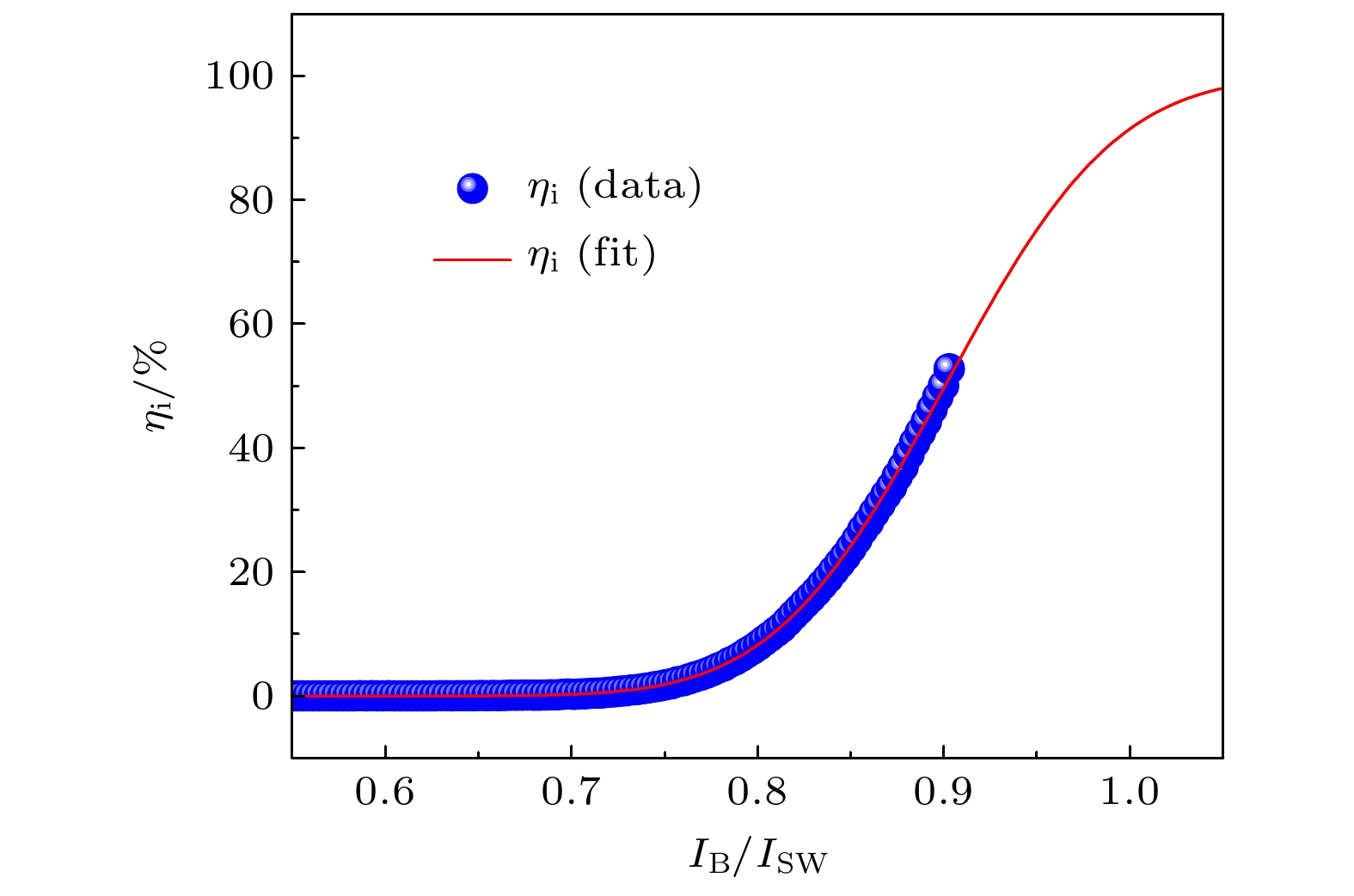
高性能的中长波单光子探测器在红外天文和军事国防领域具有重要的研究价值, 也是单光子探测技术领域的研究难点. 超导纳米线单光子探测器在近红外波段已经展示出优异的性能, 但如何进一步提高器件的探测截止波长 λ c是一个受到广泛关注的话题. 本文探讨了一种通过超导无序调控辅助提高 λ c的方法, 设计并制备出工作波段为5—10 μm的超导单光子探测器. 理论分析表明, 增大衡量无序强度的主要评价因子即薄膜方块电阻 R s, 将有利于增大 λ c, 如当纳米线宽保持在30 nm且 R s> 380 Ω/square时, 可使得 λ c> 10 μm. 实验测得 R s约为320 Ω/square的Mo 0.8Si 0.2红外器件在6 μm波长上可以获得完全饱和的量子效率. 此外, 当器件工作在0.9 I SW( I SW为纳米线超导转变电流)的偏置电流下时, 在10.2 μm波长上的量子效率达到53%.
High-performance mid-wave and long-wave infrared single-photon detectors not only have significant research value in the fields of infrared astronomy and defense technology, but also are the challenges in the field of single-photon detection technology. Superconducting nanowire single-photon detectors (SNSPDs) have shown excellent performances in the near-infrared band. However, how to further improve the cutoff wavelength λ cis a topic of widespread concern. In this paper, the method of improving λ cby regulating the superconducting disorder is discussed, and a detector with an operating wavelength band of 5–10 μm is designed and fabricated. The studies show that the multiplication and diffusion behaviors of the quasiparticles always occur during the photon detection events, although the microscopic photodetection mechanism of SNSPD still lacks a perfect theoretical explanation. Therefore, the theoretical analysis mainly considers the influence of the quasiparticles in this paper, and the mathematical formula of the detection cutoff wavelength λ ccan be obtained based on the phenomenological quasiparticle diffusion model. Furthermore, the disorder-dependent superconducting phase transition temperature T c, superconducting energy gap Δ, and electron thermalization time τ thare also considered, in order to obtain more precise results. Theoretical analysis suggests that the increase in the sheet resistance R s, which evaluates the disorder strength, will help to increase λ c. For example, when the nanowire width is kept at 30 nm and R s> 380 Ω/square, it can be deduced that λ cis larger than 10 μm. Experimentally, the active area of the device consists of a straight superconducting nanowire with a length of 10 μm and a width of 30 nm, so that it can effectively reduce the probability of the defects on the nanowire and avoid the current crowding effect. We fabricate a 30 nm-wide Mo 0.8Si 0.2mid infrared SNSPD, which has a cutoff wavelength λ cno more than 5 μm, the effective strength of the disorder-the film sheet resistance R s= 248.6 Ω/square. For comparison, the sheet resistance, which is controlled by the film thickness, increases to about 320 Ω/square in this experiment. It is demonstrated that the Mo 0.8Si 0.2detector with R s $ \sim $ 320 Ω/square can achieve saturated quantum efficiency at a wavelength of 6 μm. Furthermore, 53% quantum efficiency at a wavelength of 10.2 μm can be obtained when the detector works at a bias current of 0.9 I SW( I SWis the superconducting transition current), and it can theoretically reach a maximum value of 92% if the compression of switching current is excluded. Therefore, it can be predicted that the disorder regulation may become another efficient approach to designing high-performance mid-wave and long-wave infrared SNSPDs, in addition to the optimization of the superconducting energy gap and the cross section of superconducting nanowire.However, the continuous increase in the disorder will cause both the superconducting phase transition temperature T cand I SWof the detector to decrease from the viewpoint of detector fabrication and application. This downward trend is especially pronounced when the nanowire width is ultranarrow, which is not conducive to the signal readout of the detector. Thus, exploring the optimal disorder regulation technology and balancing the relationship among the operating temperature, the signal-to-noise ratio, and the cutoff wavelength will have key scientific and application value for the development of high-performance mid-wave and long-wave infrared SNSPDs. -
Keywords:
- mid-wave and long-wave infrared/
- single-photon detection/
- superconducting nanowire/
- disorder
[1] [2] [3] [4] [5] [6] [7] [8] [9] [10] [11] [12] [13] [14] [15] [16] [17] [18] [19] [20] [21] [22] [23] [24] [25] [26] [27] [28] [29] -
[1] [2] [3] [4] [5] [6] [7] [8] [9] [10] [11] [12] [13] [14] [15] [16] [17] [18] [19] [20] [21] [22] [23] [24] [25] [26] [27] [28] [29]
计量
- 文章访问数:3930
- PDF下载量:136
- 被引次数:0












下载:





