搜索

x

留言板

姓名
邮箱
手机号码
标题
留言内容
验证码

downloadPDF
引用本文:
Citation:

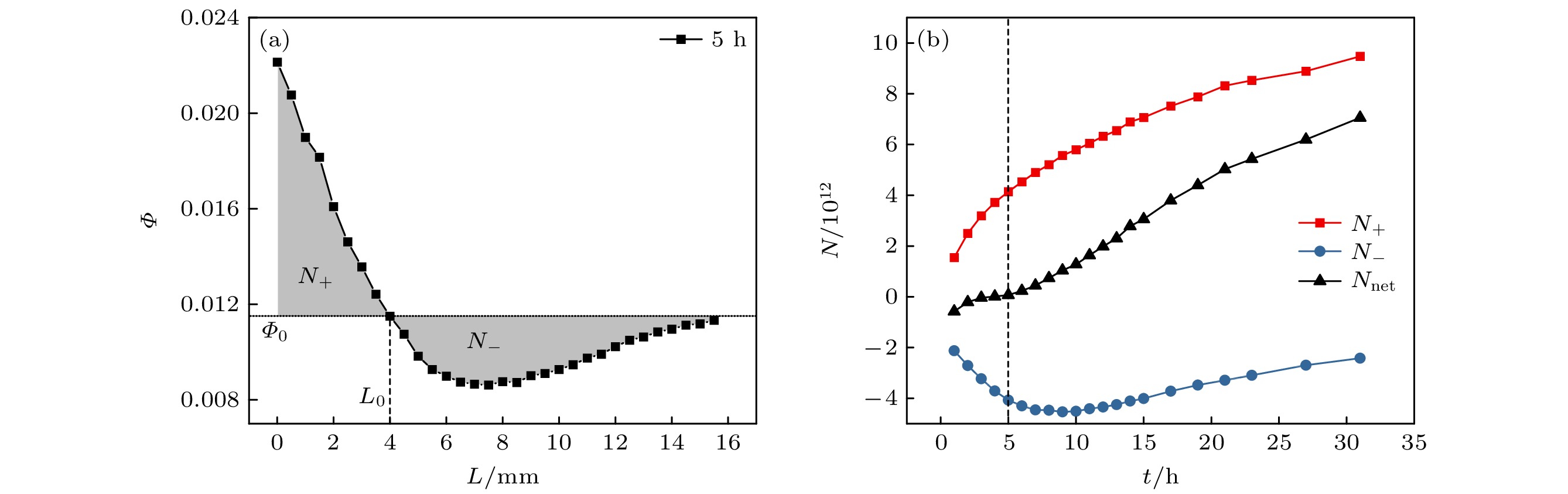
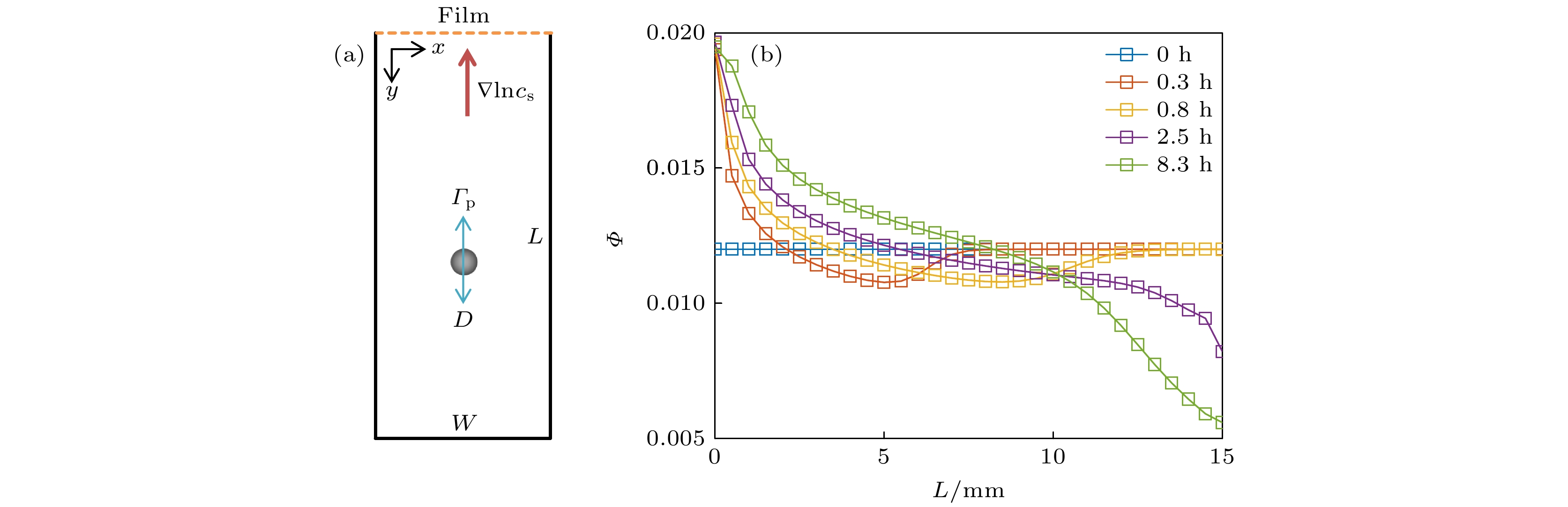
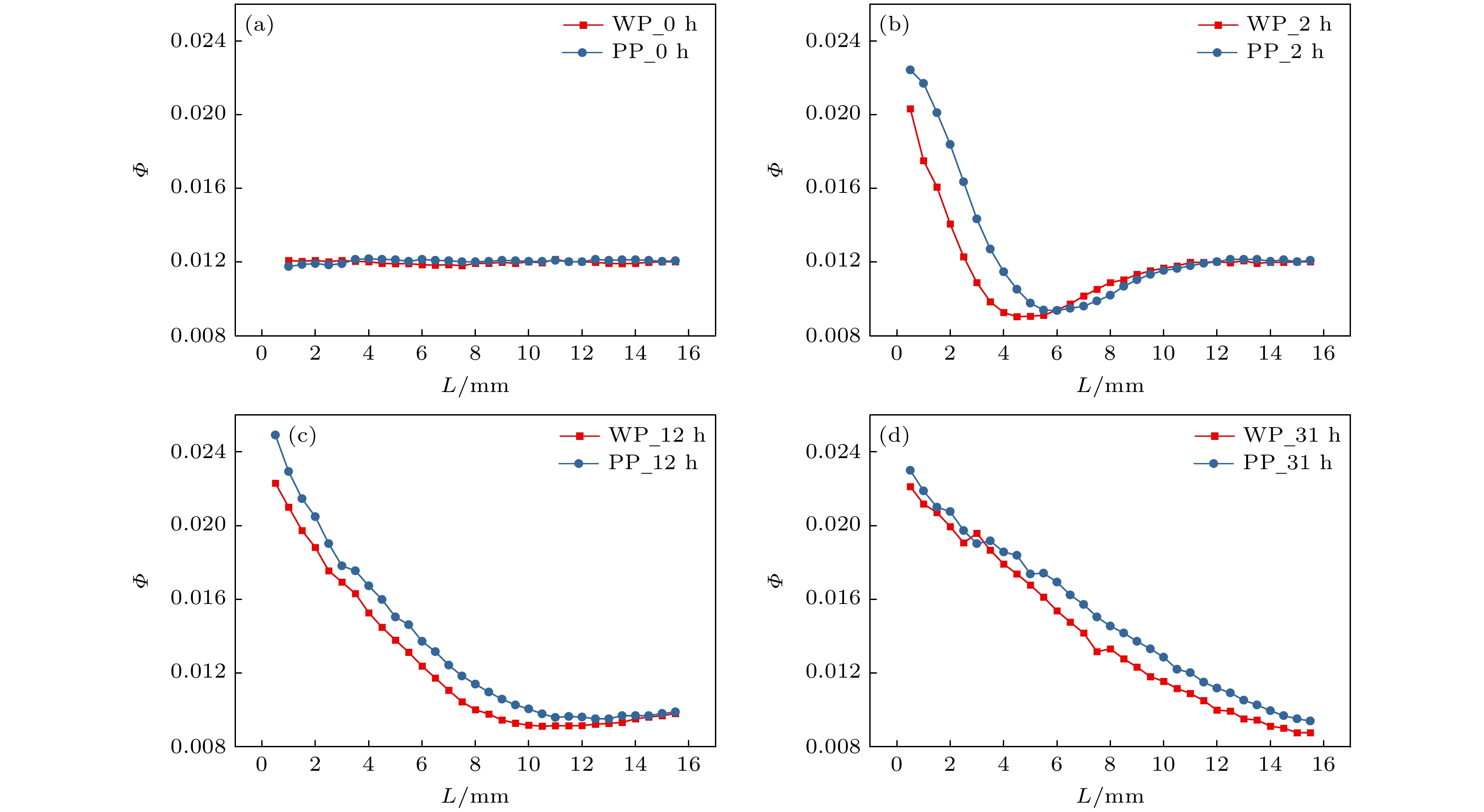
    周宏伟, 欧阳文泽, 徐升华

    Directional motion of charged particles near filter membrane

    Zhou Hong-Wei, Ouyang Wen-Ze, Xu Sheng-Hua
    PDF
    HTML
    导出引用
    计量
    • 文章访问数:2683
    • PDF下载量:47
    • 被引次数:0
    出版历程
    • 收稿日期:2022-03-28
    • 修回日期:2022-11-09
    • 上网日期:2022-12-02
    • 刊出日期:2023-02-05

      返回文章
      返回