搜索

x

留言板

姓名
邮箱
手机号码
标题
留言内容
验证码

downloadPDF
引用本文:
Citation:

高雷, 梁俊毅, 姚文娟, 周雷, 黄新生

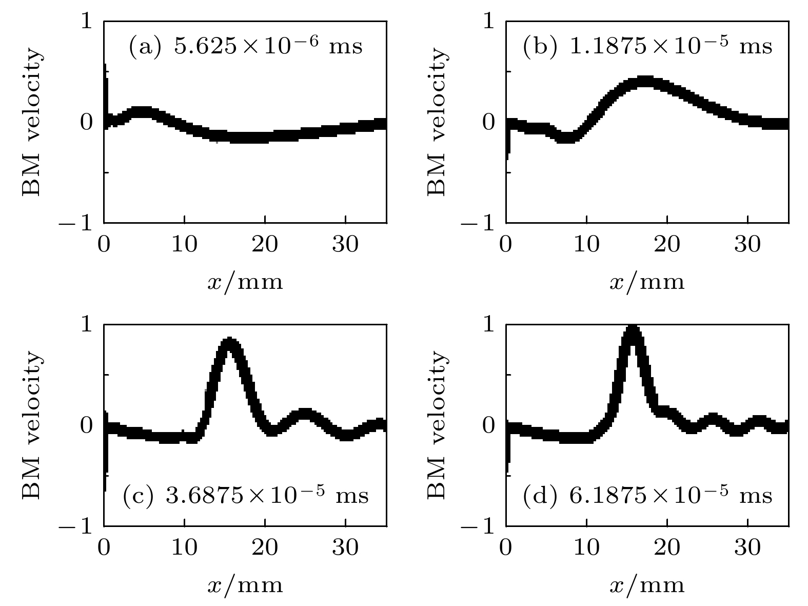
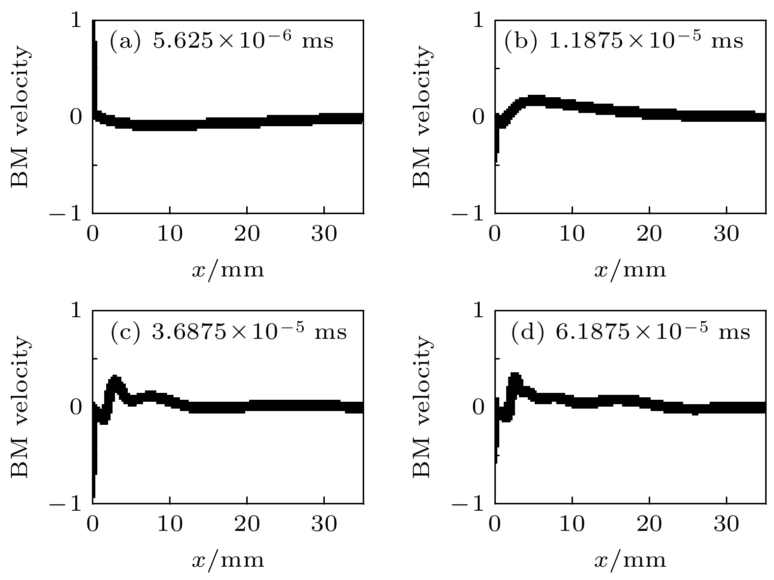
Computational mathematics model of Passive spiral cochlea

Gao Lei, Liang Jun-Yi, Yao Wen-Juan, Zhou Lei, Huang Xin-Sheng
PDF
HTML
导出引用
计量
  • 文章访问数:3084
  • PDF下载量:73
  • 被引次数:0
出版历程
  • 收稿日期:2022-06-17
  • 修回日期:2022-12-16
  • 上网日期:2023-02-17
  • 刊出日期:2023-04-05

    返回文章
    返回