-
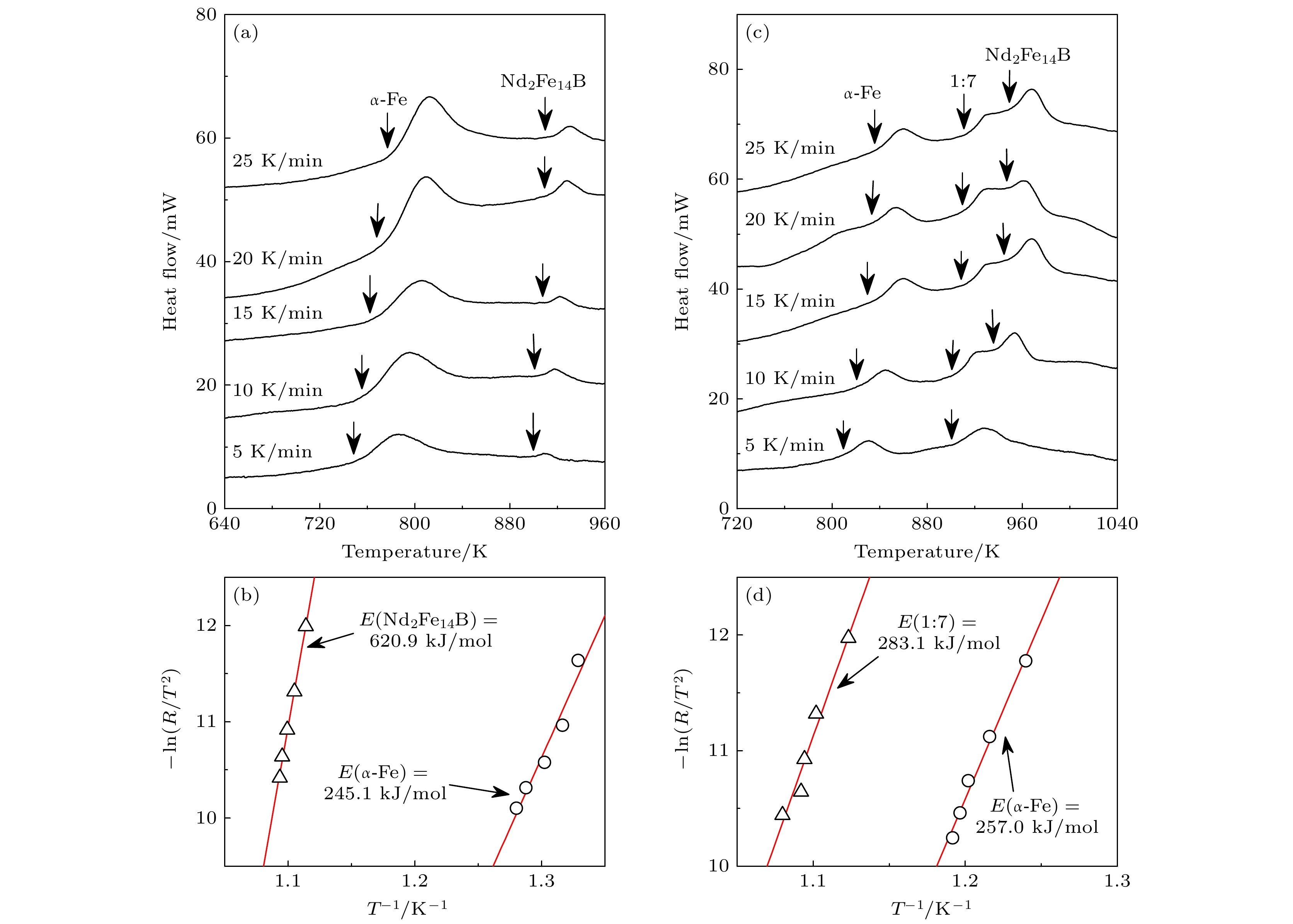
纳米双相复合稀土永磁材料, 利用硬磁相高磁晶各向异性和软磁相高饱和磁化强度的优点, 通过铁磁交换耦合作用获得优异的磁性能. 但是如何解决软硬磁双相纳米微结构不匹配的问题, 控制软硬磁相同时达到理想的纳米尺度复合是关键. 本文研究了掺杂合金元素Ti对熔体快淬法制备的Nd 2Fe 14B/α-Fe快淬薄带晶化过程的影响. 结果表明, 掺杂合金元素Ti能影响Nd 2Fe 14B/α-Fe交换耦合磁体整个晶化动力学过程, 使α-Fe相的晶化激活能升高, 抑制其从非晶相中析出. 同时, 降低1∶7亚稳相的晶化激活能, 起到稳定亚稳相的作用. 而且随着晶化温度的进一步提高, α-Fe和Nd 2Fe 14B两相由1∶7亚稳相分解产生, 从而有效避免了α-Fe相的优先析出. 显微组织观察表明, 掺杂Ti的样品晶粒细小、分布均匀, 平均晶粒尺寸在20 nm左右, 没有特别大的α-Fe粒子出现. 当Ti的掺杂量原子百分数为1.0%时, 获得了最佳磁性能( BH) max= 12 MG·Oe (1 G = 10 –4T, 1 Oe = 79.57795 A/m).Nanocomposite magnet consisting of a fine mixture of magnetically hard and soft phase has received much attention for potential permanent magnet development. One of the important requirements for alloys to exhibit excellent magnetic properties is a nanocrystalline grain size. The soft and hard magnetic phases can simultaneously achieve ideal nanoscale composites. The effect of Ti additions in the amorphous crystallization process of the exchange-coupled nanocomposite Nd 2Fe 14B/α-Fe magnet prepared by melt spinning is investigated. The results show that Ti can change the crystallization kinetics of the NdFeB melt-spun ribbons. The Ti can increase the activation energy of α-Fe and contrarily reduce the activation energy of a metastable 1∶7 phase, so the growth speed of α-Fe decreases and the metastable 1∶7 phase can stably precipitate from the amorphous phase. When the annealing temperature increases, a metastable 1∶7 phase is decomposed into the α-Fe phase and the Nd 2Fe 14B phase. The microstructure observation shows that the grains of the alloys doped with Ti are fine and uniform, with an average grain size of about 20 nm, and no particularly large α-Fe particles appear. The optimal magnetic property is ( BH) max= 12 MG·Oe (1 G = 10 –4T, 1 Oe = 79.57795 A/m) when Ti addition is 1.0%.
-
Keywords:
- permanent magnet/
- crystallization process/
- doping/
- nanocomposite
[1] [2] [3] [4] [5] [6] [7] [8] [9] [10] [11] [12] [13] [14] [15] [16] [17] [18] [19] [20] [21] [22] [23] [24] [25] [26] [27] [28] [29] -
[1] [2] [3] [4] [5] [6] [7] [8] [9] [10] [11] [12] [13] [14] [15] [16] [17] [18] [19] [20] [21] [22] [23] [24] [25] [26] [27] [28] [29]
计量
- 文章访问数:3592
- PDF下载量:68
- 被引次数:0












下载:



