We study the creation of electron-positron pairs in vacuum induced by multi-photon transition process with combined oscillating fields. According to the computational quantum field theory and the split operator technique, we numerically solve the spatiotemporally dependent Dirac equation. The effects of field frequencies on the yields and energy distributions of electron-positron pairs are investigated.First, we show that even for subcritical fields, the goal of generating electron-positron pairs continuously can be achieved by combining two oscillating fields. We also find that when the sum of the field frequencies is close to
$ 2.3c ^ 2 $
(a.u.), the yield of the created pairs reaches a maximum value. In the case that only one oscillating filed is involved and single photon transition is dominant, the pair creation is also optimal at this frequency. In this way, the sum of the frequencies of the combined fields is fixed at
$ 2.3c^2 $
in the later simulations. For example, oscillating fields with
$\omega_1=1.1c^{2},\; \omega_2= 1.2c^{2}$
;
$\omega_1=1.0c^{2},\; \omega_2= 1.3c^{2}$
;
$ \omega_1=0.8c^{2}, $
$ \omega_2= 1.5c^{2} $
;
$\omega_1=0.5c^{2},\; \omega_2= 1.8c^{2}$
; and
$\omega_1=0.4c^{2},\; \omega_2= 1.9c^{2}$
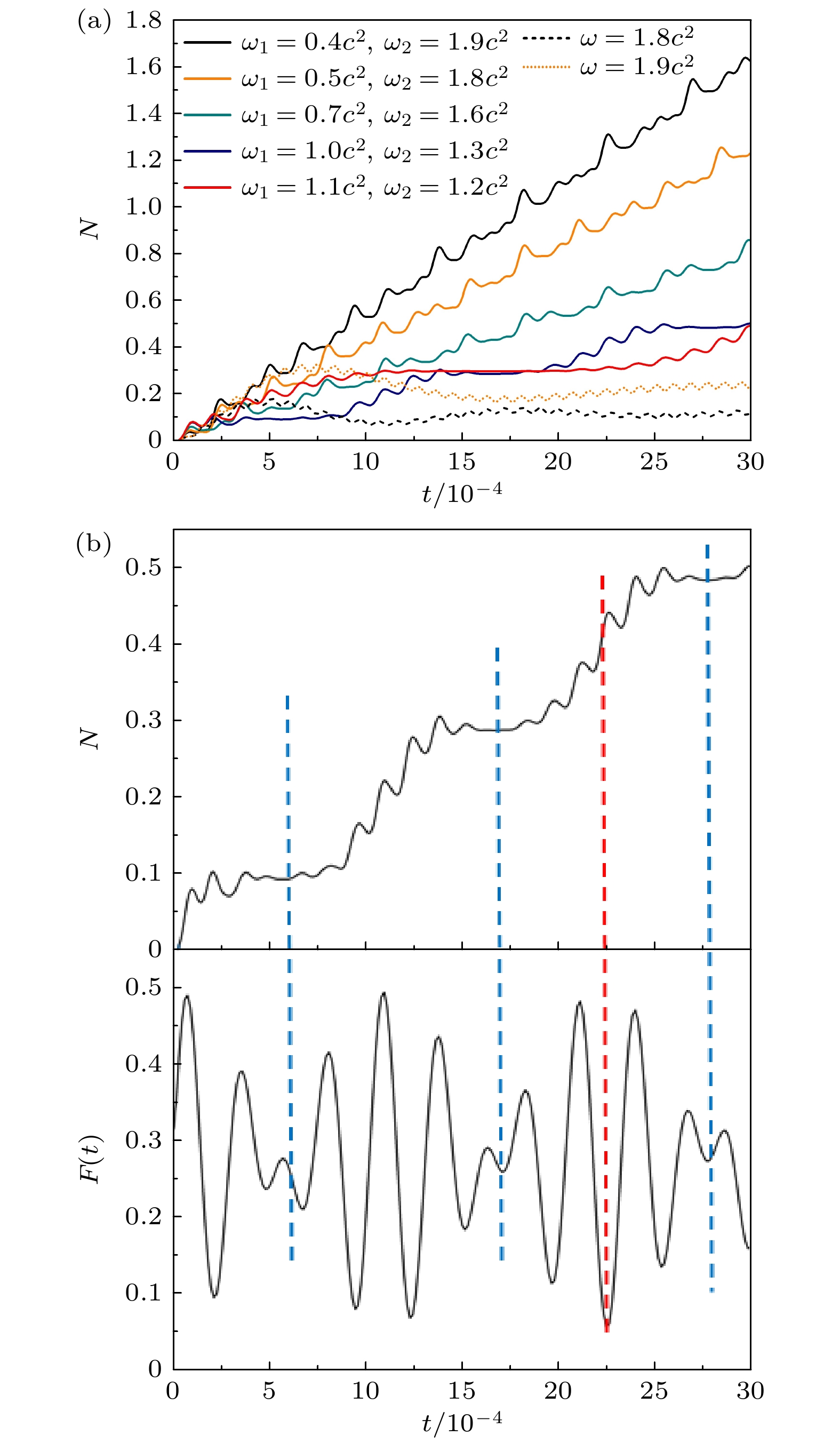
are applied to the following study.The time evolutions of the yield of the electron-positron pairs under different frequency combinations are investigated. It is found that when the frequencies of the two fields are close to each other, the growth rate
${\rm{d}}N/{\rm{d}}t$
presents an obvious periodic variation, showing a “beat” - like structure. The “beat” - like structure is found to be synchronized with the synthesized electric field. Meanwhile, the long-term growth rate
${\rm{d}}N/{\rm{d}}t$
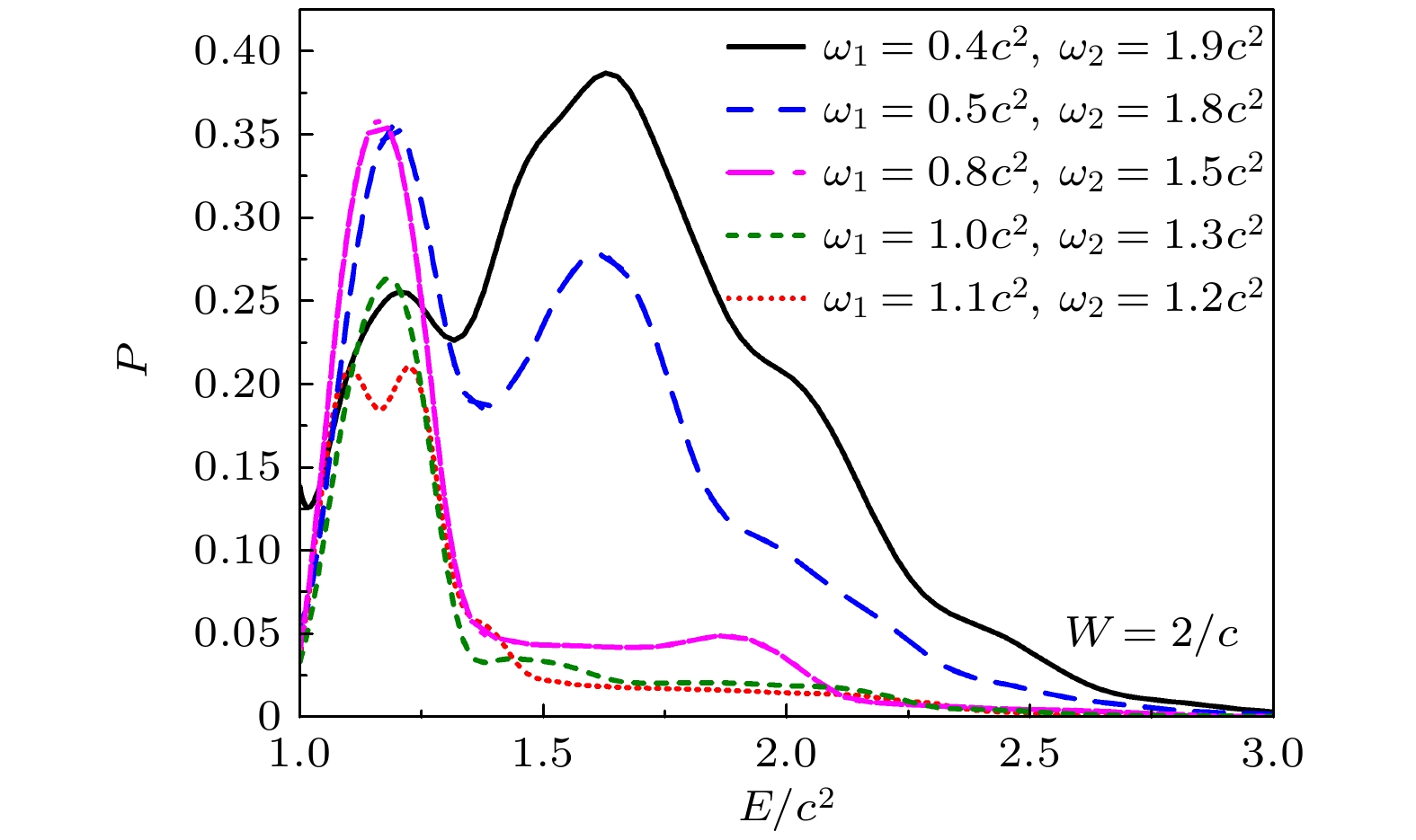
of the pairs increases significantly when the field frequency difference becomes larger.The energy distributions of the electron-positron pairs created at different frequency combinations are studied. It is found that when the frequency difference is small (eg,
$\omega_1=1.0c^{2},\; \omega_2= 1.3c^{2}$
), the energy distribution of the particles shows a quasi-monoenergetic feature, with most of the particles distributed around
$ 1.1c^{2}-1.2c^{2} $
. For a large frequency difference (eg,
$\omega_1=0.5c^{2},\; \omega_2= 1.8c^{2}$
), the total yield of the pairs greatly increases. Meanwhile, the energy range of the particles is broadened significantly with the generation of more energetic particles.By analyzing and comparing the probability distributions of transitions between the negative energy and the positive energy, we find that the main reason for the spectrum-broadening and the yield-increasing is the enhancement of the multi-photon transition process. Beside the two-photon transition (
$ \omega_{1}+\omega_{2} $
), which is of high probability in all the cases, the higher-order photon transitions (
$2\omega_{1}+\omega_{2},\;3\omega_{1}+\omega_{2},\;4\omega_{1}+\omega_{2}$
) will arise with probability in the same order as the two-photon transition. These multi-photon transitions enhance the creation of the electron-positron pairs, especially the high-energy pairs. The second reason is that for a narrow field width (
$ W=2/c $
), the conservation of the momentum breaks down, the generation of electron-positron pairs corresponding to the asymmetric transitions becomes important, which further enhances the pair production and broadens the energy distribution.For a wide field width (
$ W=5/c $
), the probability of high-order photon transitions and the asymmetric transitions are suppressed compared with the case of narrow field width (
$ W=2/c $
). However, the frequencies of the combined fields still have important influence on the pair productions and energy distributions.