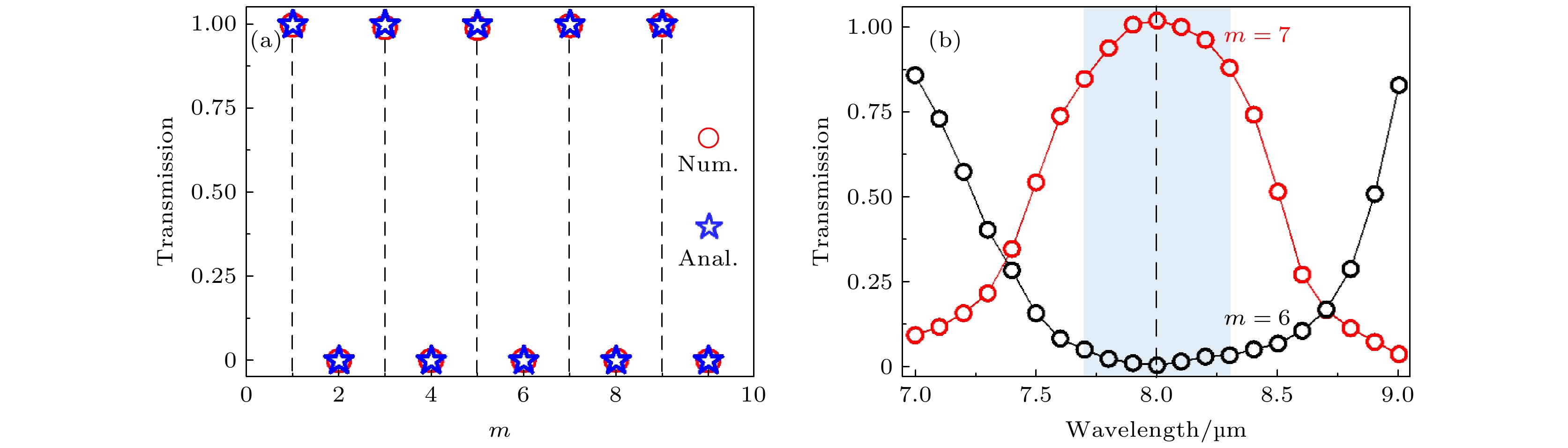
\begin{document}$m$\end{document}的奇偶性有关. 当单元个数为奇数时, 放在超构笼子中的点源几乎可以无阻碍地辐射至笼子外面; 而当单元个数为偶数时, 放在超构笼子中的点源几乎无法辐射到笼子外面, 即所有能量都被局域在笼子中. 本研究可以为新型雷达天线罩和光子隔离器件提供新的思路和理论指导."> - 必威体育下载

搜索

x

留言板

姓名
邮箱
手机号码
标题
留言内容
验证码

downloadPDF
引用本文:
Citation:

    高越, 余博丞, 郭瑞, 曹燕燕, 徐亚东

    Optical meta-cage based on phase gradient metagrating

    Gao Yue, Yu Bo-Cheng, Guo Rui, Cao Yan-Yan, Xu Ya-Dong
    PDF
    HTML
    导出引用
    计量
    • 文章访问数:3054
    • PDF下载量:66
    • 被引次数:0
    出版历程
    • 收稿日期:2022-08-26
    • 修回日期:2022-09-23
    • 上网日期:2022-10-27
    • 刊出日期:2023-01-20

      返回文章
      返回