In recent years, biomolecular motors have received widespread attention. Biomolecular motors are biological macromolecules that convert chemical energy into mechanical energy. The biomolecular motor is only a few tens of nanometers in size. According to Brownian theory of motion, people have constructed different types of Brownian ratchet models, such as rocking ratchets and closed-loop control ratchets. In previous studies, the directional transportation of Brownian ratchet is affected by conservative forces. These conservative forces include constant force, elastic force or harmonic force. However, whether the ratchet system can produce directional motion under the action of non-conservative forces is still rarely studied. Owing to the complex environment in the organism, for the studies of two-dimensional systems, the transport behavior of molecular motor has not been fully explained. Therefore, it is more practical to study the transport of Brownian particles in a two-dimensional ratchet potential.
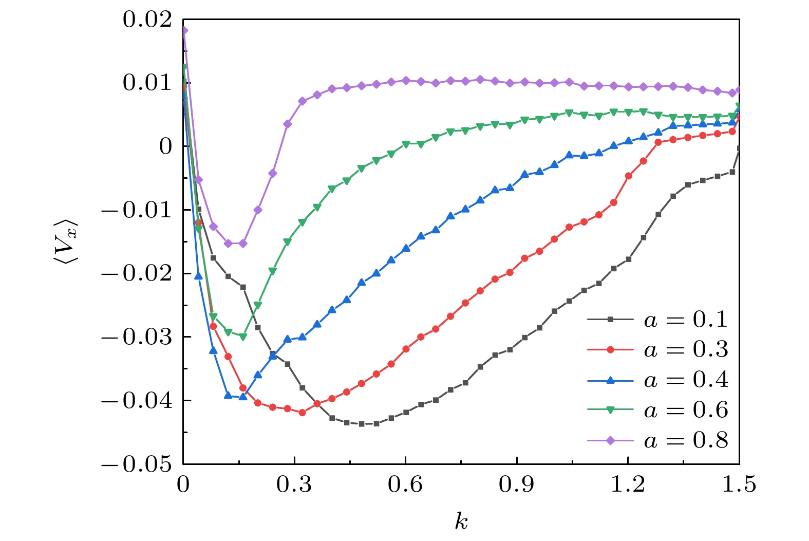
The directional transport of two-dimensional Brownian particles subjected to conservative forces and non-conservative forces are studied in this work. It is found that the non-conservative external force has the effect of promoting the directional transport of coupling ratchets. With the change of the free length of the spring and spring coefficient, the average velocity of the coupled particles can be reversed. This means that the coupling effect can induce the inversion of two-dimensional Brownian ratchets. At the same time, the reverse transportation of coupled particles is enhanced under the interaction effect of conservative forces (spring elasticity) and non-conservative external forces. By choosing different kinds of external forces (conserved and non-conserved), in the experiment, it is possible to provide new method of separating two-dimensional coupled Brownian particles.