-
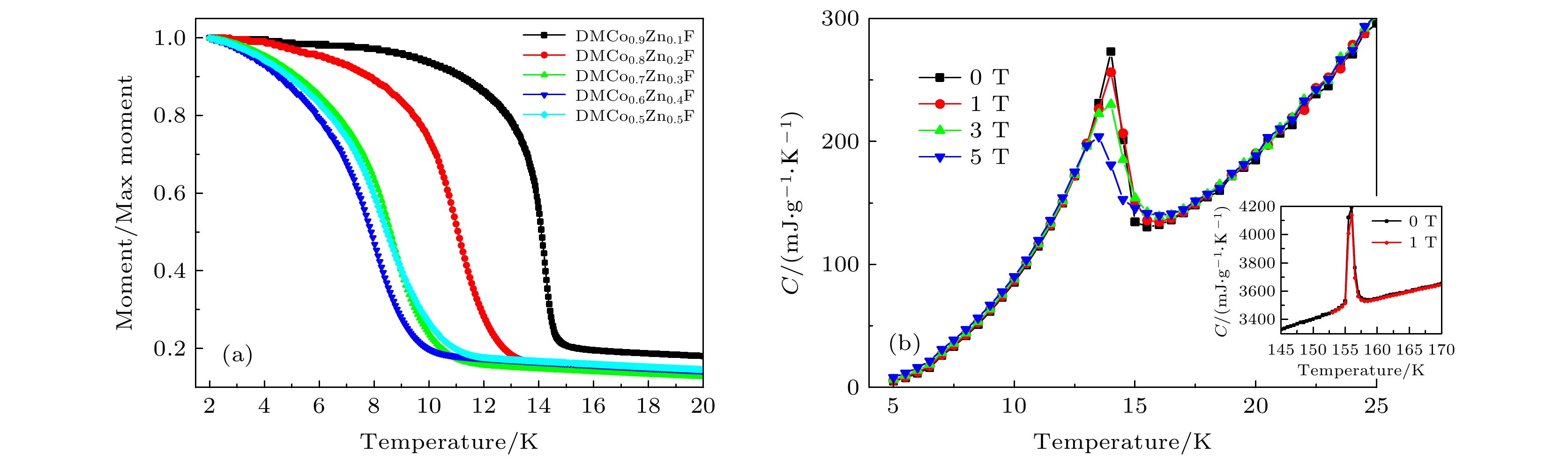
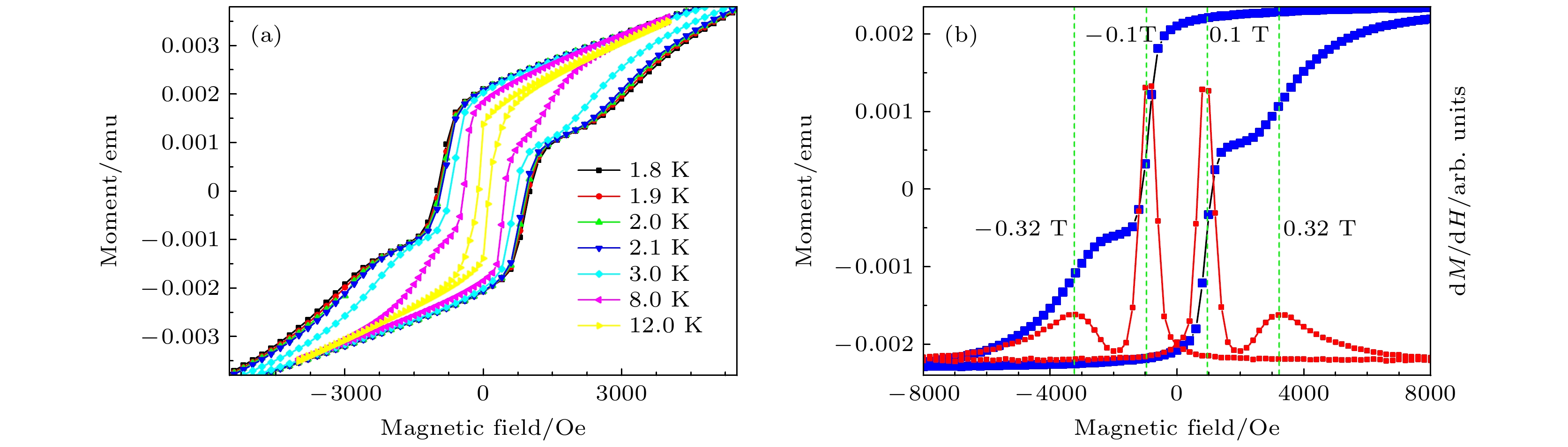
金属有机框架材料(MOFs)是一种有机配体桥接金属离子组成的新型无机-有机杂化多孔材料, 它具有功能可调、稳定性好以及多孔性等特点, 受到人们的广泛关注. 本文利用水热法制备了高质量的锌离子掺杂的钴基[(CH 3) 2NH 2]Co 1–xZn x(HCOO 3)单晶样品 ( x= 0, 0.1, 0.2, 0.3, 0.4, 0.5). 单晶衍射、摇摆曲线、能量色散X射线光谱的实验结果表明, 锌离子均匀掺杂进了钴基金属有机框架材料中, 没有出现局部团簇等现象. 低温场冷曲线和比热曲线的测量结果表明, 非磁锌离子的掺杂减弱了Co基MOFs材料中Co离子之间的长程反铁磁相互作用, 使得Co-MOF的反铁磁相变温度由纯钴的15 K变为14.2 K ( x= 0.1), 12.8 K ( x= 0.2). 通过对掺锌样品低温下的磁滞回线的细致研究发现, 掺锌样品相对于纯钴样品在低温下具有更大的磁滞损耗和矫顽场. 相比于纯钴样品450 Oe (1 Oe = 10 3/(4π) A/m)的矫顽场, 掺锌样品的矫顽场最高达到3600 Oe, 并且磁滞面积也为纯钴样品的3倍以上. 另一方面, 在DMCo 0.9Zn 0.1F样品的磁滞回线上发现一系列台阶, 这一台阶现象随着温度升高而逐渐消失, 类似于单分子磁体的量子隧穿现象. 以往研究表明, 在这一类钙钛矿结构的金属有机骨架材料中, 存在长程磁相互作用和磁单离子行为的竞争. 我们认为非磁锌离子的掺杂减弱了Co离子之间的长程相互作用, 使得Co离子在低温下显示出量子隧穿引起的台阶效应.Metal-organic framework (MOF) is a new type of inorganic-organic hybrid porous material composed of organic ligands bridging metal ions, and it has the characteristics of tunable functions, good stability and porosity. In this study, Zn doped Co-based metal organic frame works single-crystal samples
$\left[{(\rm{C}\rm{H}}_{3}{)}_{2}\rm{N}{\rm{H}}_{2}\right]{\rm{C}\rm{o}}_{1-x}{\rm{Z}\rm{n}}_{x} $ $ {\left[\rm{H}\rm{C}\rm{O}\rm{O}\right]}_{3}$ are synthesized by the solvothermal method with normal ratio x= 0, 0.1, 0.2, 0.3, 0.4, 0.5. Single crystal diffraction, scanning electron microscope and energy dispersive X-ray spectroscopy results show that Zn ions are uniformly doped into Co-based MOFs crystals. The field cooling curves show that antiferromagnetic phase transition temperature of Co-based MOFs decreases from 15 K for pure Co-MOF x= 0 to 12.8 K for x= 0.2. Abnormal large magnetic hysteresis is obtained for Zn doped crystals with large coercive field 3600 Oe ( x= 0.3) compared with 450 Oe coercive field for pure Co-MOF ( x= 0), and the hysteresis area of Zinc-doped sample is more than 3 times that of pure cobalt sample. On the other hand, we find a series of steps on the hysteresis loop of DMCo 0.9Zn 0.1F sample, which gradually disappears with the increase of temperature, similar to the quantum tunneling phenomenon of a single molecule magnet. Previous studies have shown that the long range magnetic interaction and the magnetic single-ion behavior competition coexist in these systems. It is believed that the doping of non-magnetic zinc ions weakens the long-range interaction between Co ions and makes Co ions show the step effect caused by quantum tunneling at low temperature.[1] [2] [3] [4] [5] [6] [7] [8] [9] [10] [11] [12] [13] [14] [15] [16] [17] [18] [19] [20] [21] [22] [23] [24] -
参数 取值 Temperature/K 275 150 Formula weight/(g·mol–1) 232.66 240.72 Crystal system Trigonal Monoclinic Space group $ R\bar 3c $ C1c1 a/Å 8.158(3) 14.143(2) b/Å 8.158(3) 8.1739(13) c/Å 22.168(9) 8.7634(14) α/(°) 90 90 β/(°) 90 122.365 γ/(°) 120 90 Z 6 4 Volume/Å3 1277.7(10) 855.7(2) F(000) 692 493 hmin, max –10, 10 –18, 18 kmin, max –10, 10 –10, 10 lmin, max –29, 29 –9, 11 Reflection collected 5016 3639 Independent reflections 359[R(int) = 0.0570] 1600[R(int) = 0.0490] Data/restraints/parameters 359/0/27 1600/10/126 R(reflections) 0.0200(337) 0.0538(1562) wR2(reflections) 0.0530(359) 0.1425(1600) FinalRindices [I> 2σ(I)] R1= 0.0200,wR2= 0.0528 R1= 0.0538,wR2= 0.1421 FinalRindices [all data] R1= 0.0209,wR2= 0.0530 R1= 0.0543,wR2= 0.1424 Goodness-of-fit onF2 1.188 1.137 -
[1] [2] [3] [4] [5] [6] [7] [8] [9] [10] [11] [12] [13] [14] [15] [16] [17] [18] [19] [20] [21] [22] [23] [24]
计量
- 文章访问数:3599
- PDF下载量:60
- 被引次数:0














下载:


