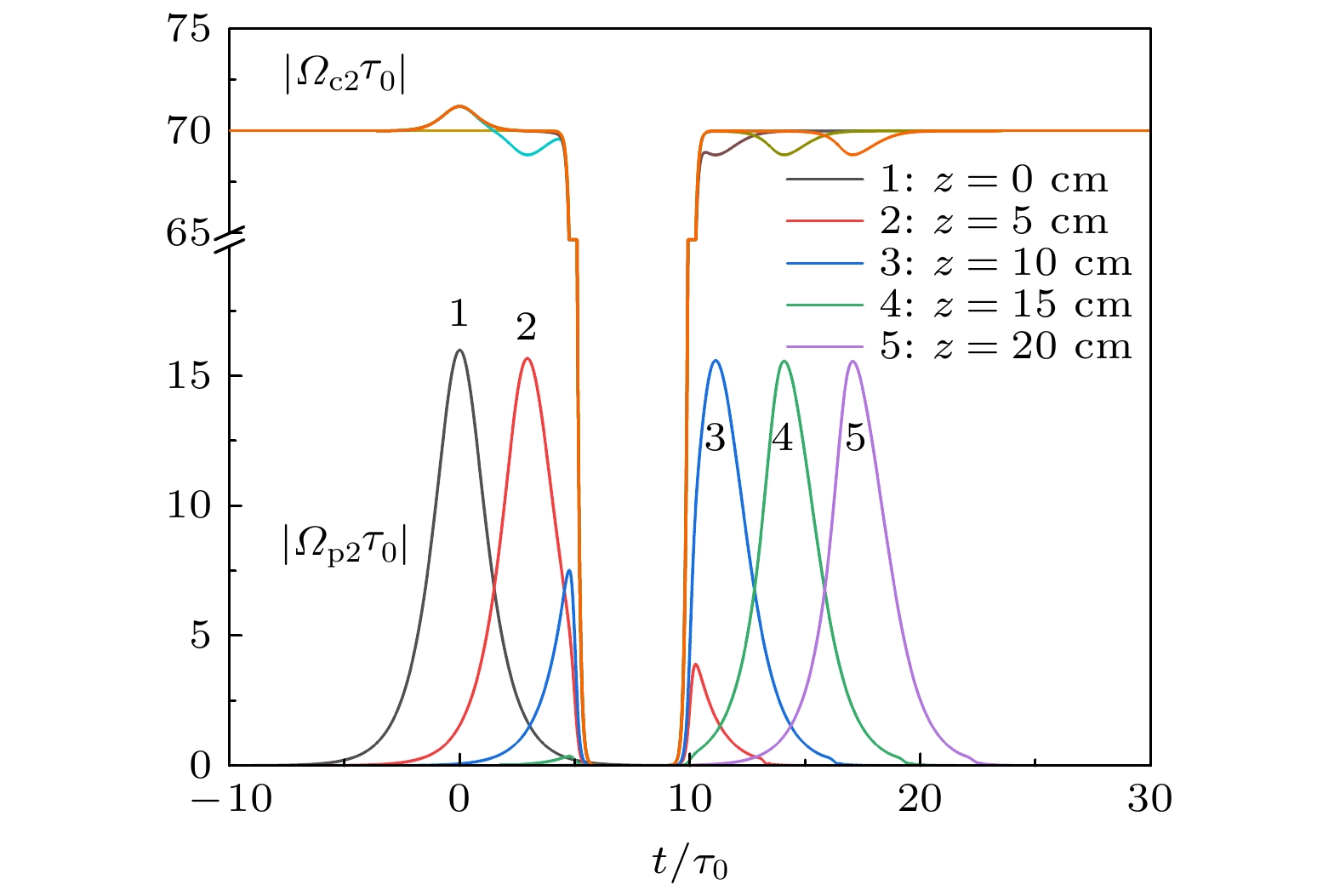
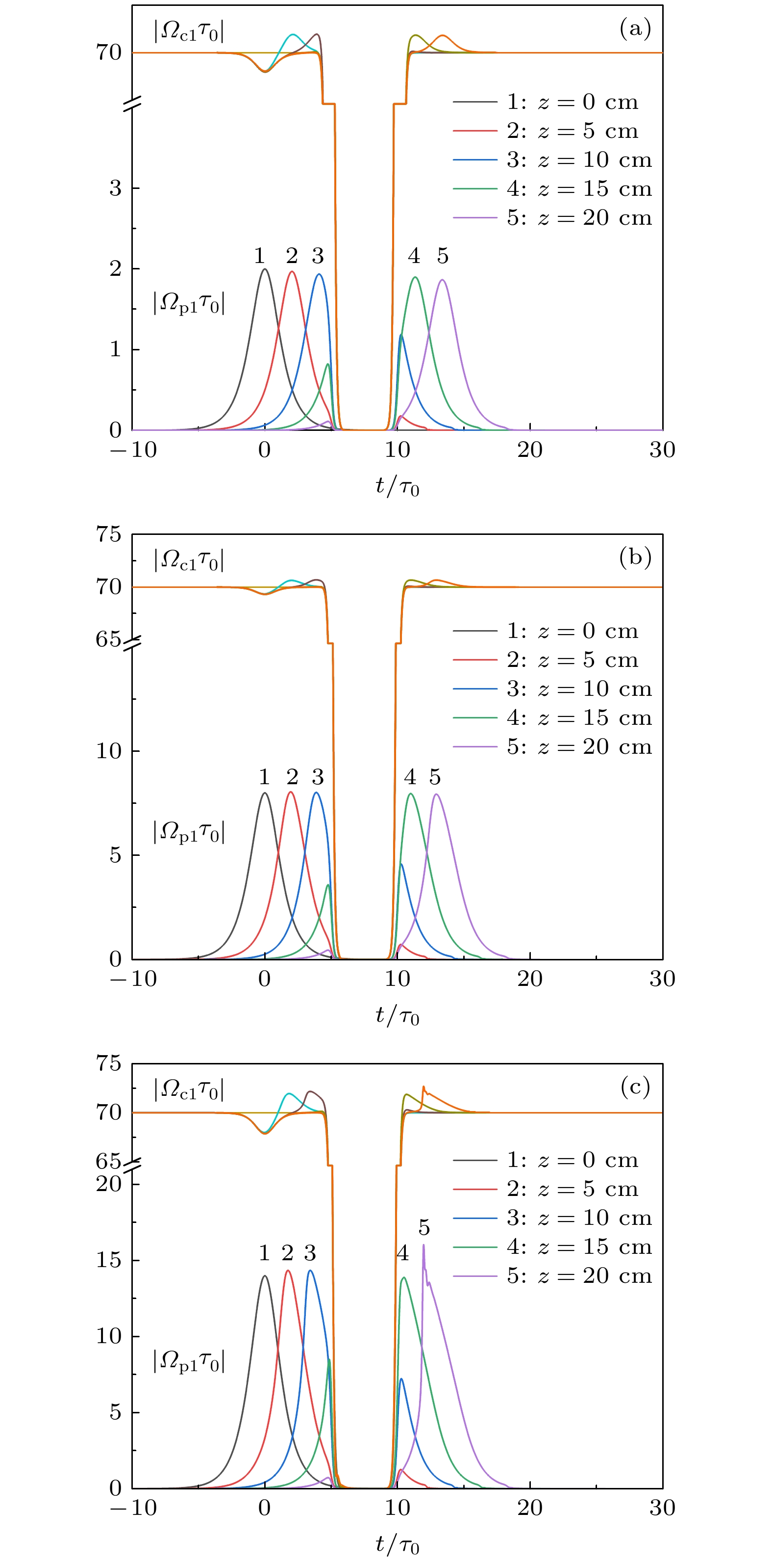
\begin{document}$ {{\Lambda }} $\end{document}形和\begin{document}$ {\rm{V}} $\end{document}形等3类量子点电磁诱导透明介质. 继而研究这三类能级构型InAs/GaAs量子点电磁诱导透明介质中的光孤子形成和存储性质, 结果表明, 梯形和\begin{document}$ {{\Lambda }} $\end{document}形InAs/GaAs量子点体系不但可形成光孤子还可以实现光孤子的存储与读取, 且其所存储光孤子的保真度比光存储的保真度高; 但\begin{document}$ {\rm{V}} $\end{document}形InAs/GaAs量子点体系却不能形成光孤子, 这是由于体系的非线性效应非常弱. 有趣的是在相同的实验参数下, \begin{document}$ {{\Lambda }} $\end{document}形InAs/GaAs量子点体系所存储的光孤子幅度比梯形所存储的光孤子幅度大. 这为半导体量子点器件对所存储光孤子进行调幅操作提供了理论依据."> - 必威体育下载

搜索

x

留言板

姓名
邮箱
手机号码
标题
留言内容
验证码

downloadPDF
引用本文:
Citation:

    王胤, 周驷杰, 陈桥, 邓永和

    Effect of energy level configuration on storage of optical solitons in InAs/GaAs quantum dot electromagnetically induced transparency medium

    Wang Yin, Zhou Si-Jie, Chen Qiao, Deng Yong-He
    PDF
    HTML
    导出引用
    计量
    • 文章访问数:2641
    • PDF下载量:62
    • 被引次数:0
    出版历程
    • 收稿日期:2022-10-14
    • 修回日期:2023-02-19
    • 上网日期:2023-02-28
    • 刊出日期:2023-04-20

      返回文章
      返回