搜索

x

留言板

姓名
邮箱
手机号码
标题
留言内容
验证码

downloadPDF
引用本文:
Citation:

    何民卿, 张华, 李明强, 彭力, 周沧涛

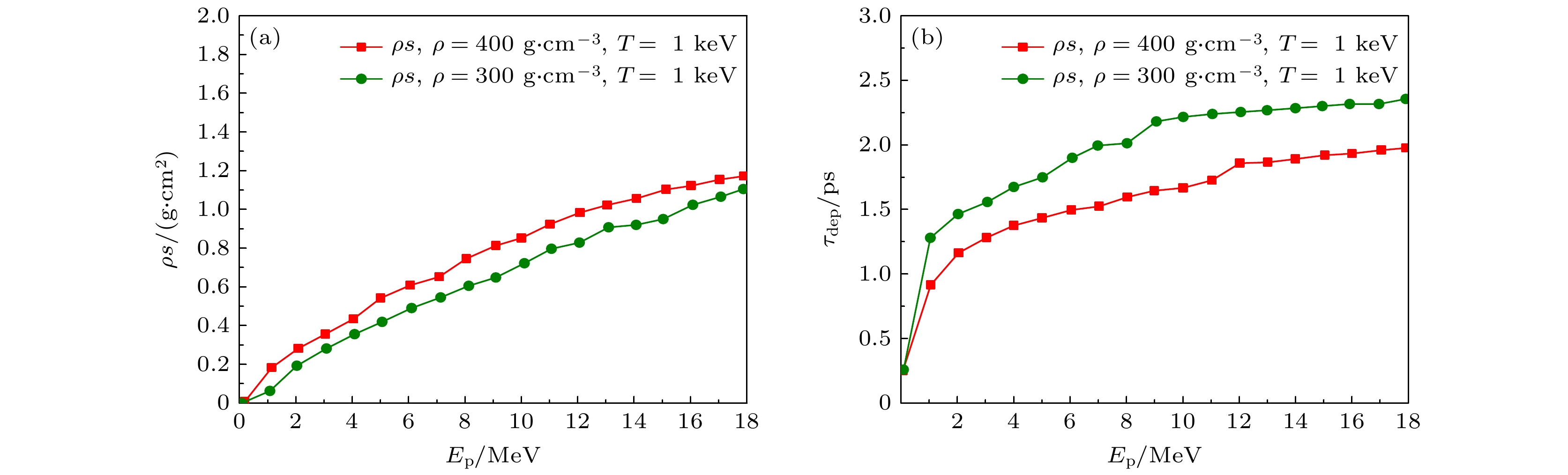
    Proton beam energy deposition in fast ignition and production of protons on Shenguang II upgraded device

    He Min-Qing, Zhang Hua, Li Ming-Qiang, Peng Li, Zhou Cang-Tao
    PDF
    HTML
    导出引用
    计量
    • 文章访问数:2870
    • PDF下载量:69
    • 被引次数:0
    出版历程
    • 收稿日期:2022-10-20
    • 修回日期:2023-02-23
    • 上网日期:2023-03-10
    • 刊出日期:2023-05-05

      返回文章
      返回