-
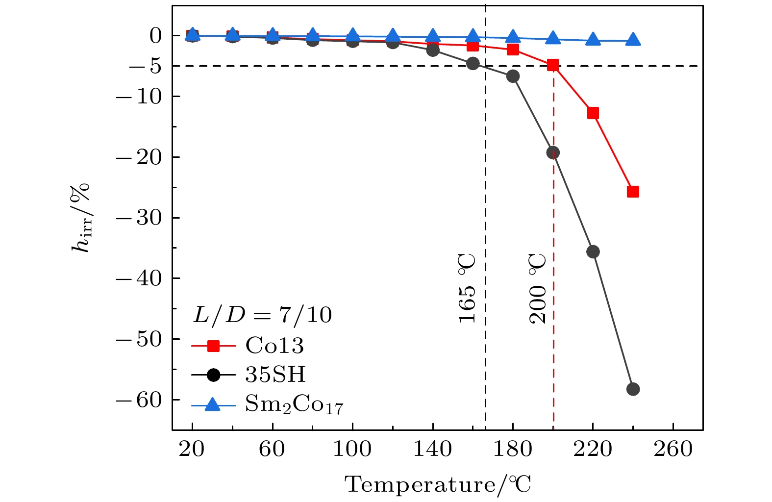
本文采用速凝甩带-氢破-气流磨-取向成型-烧结回火等工序, 同时添加Dy和Co元素, 制备了烧结Nd 25.5Dy 6.5Co 13Fe balM 1.05B 0.98磁体(Co13磁体), 室温下磁能积( BH) max= 30.88 MGOe, 矫顽力 H cj= 19.01 kOe. 与Nd 30Dy 1.5Co 0.5Fe balM 1.05B 0.98(35SH)磁体相比, Co13磁体的室温磁性能略低, 但温度稳定性显著提升, 剩磁温度系数 α从–0.136 %/℃提升至–0.065 %/℃ (室温—180 ℃); 居里温度 T C从310 ℃升高至约454 ℃; 最高使用温度 T W从165℃提升到约200 ℃. 力学性能测试和断口分析表明, Co13磁体中由于Co含量较高, 主相晶粒发生解理断裂的比例提高, 抗弯强度与35SH磁体相比, 虽然有所降低, 但是仍为2:17型Sm-Co磁体的近2倍. Co13磁体发生解理断裂的原因, 可能是Co元素在2∶14∶1主相中择优取代Fe, 导致晶格畸变, 降低了主相晶粒强度. 微观组织分析表明, Co13磁体晶界相中存在高Co区, 其成分接近(Nd, Dy)(Fe, Co) 3, 这可能是导致矫顽力较低的原因之一.The sintered Nd 25.5Dy 6.5Co 13Fe balM 1.05B 0.98magnet (Co13 magnet) and Nd 30Dy 1.5Co 0.5Fe balM 1.05B 0.98magnet (35SH magnet) are prepared by strip casting, hydrogen decrepitation, jet milling, orienting compression, sintering and annealling. The maximum energy product ( BH) maxand coercivity H cjof Co13 magnet at room temperature are 30.88 MGOe and 19.01 kOe, which are lower than those of 35SH magnet. By adding Co and Dy, the remanence temperature coefficient α , curie temperature T C,and max operating temperature T Wsignificantly increase form –0.136%/℃ to –0.065%/℃ (25–180 ℃), 310 ℃ to 454 ℃, and 160 ℃ to 200 ℃ respectively. Mechanical property test and fracture analysis show that owing to the high content of Co in the magnet, the proportion of cleavage fracture in the main phase grains increases, and the bending strength Rbb decreases compared with the Rbb of 35SH magnet, which is nearly twice that of 2∶17 type Sm-Co magnet. The reason for Rbb decreasing might be that Co element preferentially replaces Fe in the 2∶14∶1 main phase, which leads the lattice to be distorted and the grain strength of the main phase to decrease. The microstructure analysis shows that there exists a high Co region in the grain boundary phase of Co13 magnet, and its composition is close to (Nd,Dy)(Fe,Co) 3, which might be one of the reasons for coercivity H cjdecreasing.
-
Keywords:
- sintered Nd-Fe-B/
- temperature stability/
- maximum operating temperature/
- mechanical Properties
[1] [2] [3] [4] [5] [6] [7] [8] [9] [10] [11] [12] [13] [14] [15] [16] [17] [18] [19] [20] [21] [22] [23] [24] [25] [26] [27] [28] [29] [30] -
Sample Temperature ranges/℃ 25—40 25—60 25—80 25—100 25—120 25—140 25—160 25—180 Co13 –0.027 –0.036 –0.044 –0.048 –0.053 –0.057 –0.061 –0.065 35SH –0.081 –0.102 –0.107 –0.110 –0.117 –0.123 –0.129 –0.136 Sm2Co17 –0.006 –0.020 –0.029 –0.032 –0.034 –0.036 –0.038 –0.038 Samples Positions Elements content Nd Dy Co Fe Co13 1 89.75 2.13 0.98 7.13 2 39.52 6.77 19.37 34.34 3 21.51 6.02 13.06 59.41 35SH 4 20.50 1.16 0.69 77.65 5 79.20 0.90 0.52 19.38 Samples Rbb/MPa Rmc/MPa HV0.5 1# 2# 3# Avg. 1# 2# 3# Avg. 1# 2# 3# Avg. Co13 162 167 159 163 800 815 814 810 665 677 661 668 35SH 210 200 206 205 841 845 849 845 625 630 611 622 Sm2Co17 92 81 83 85 891 883 901 892 640 661 654 652 -
[1] [2] [3] [4] [5] [6] [7] [8] [9] [10] [11] [12] [13] [14] [15] [16] [17] [18] [19] [20] [21] [22] [23] [24] [25] [26] [27] [28] [29] [30]
计量
- 文章访问数:2877
- PDF下载量:52
- 被引次数:0












下载:





