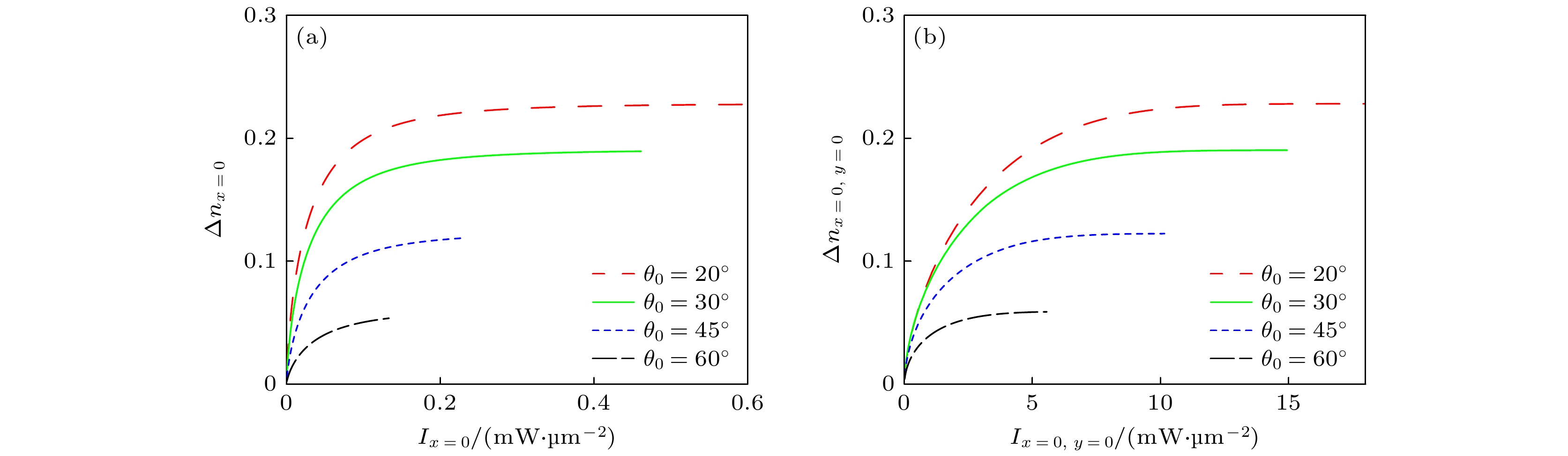
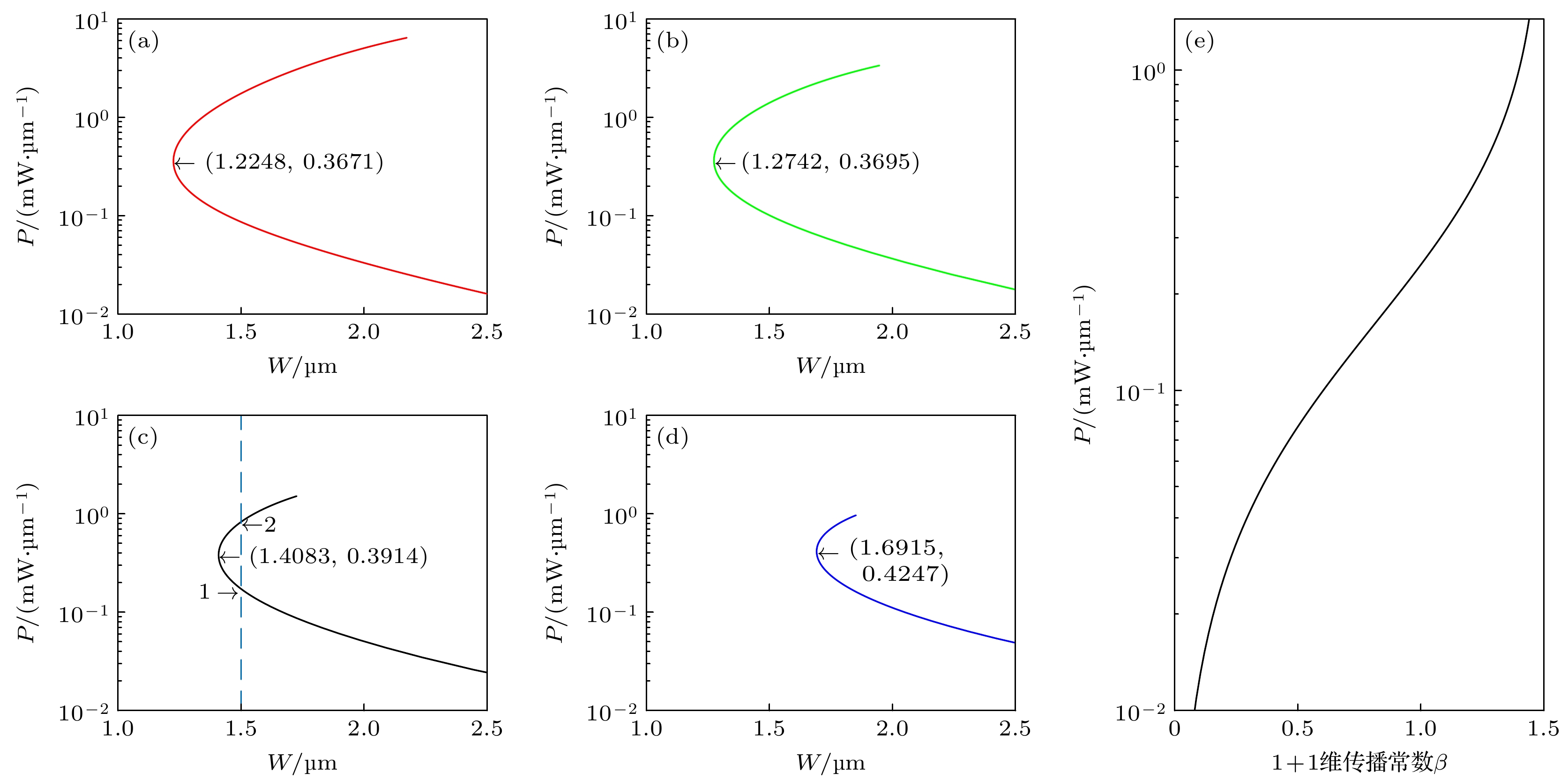
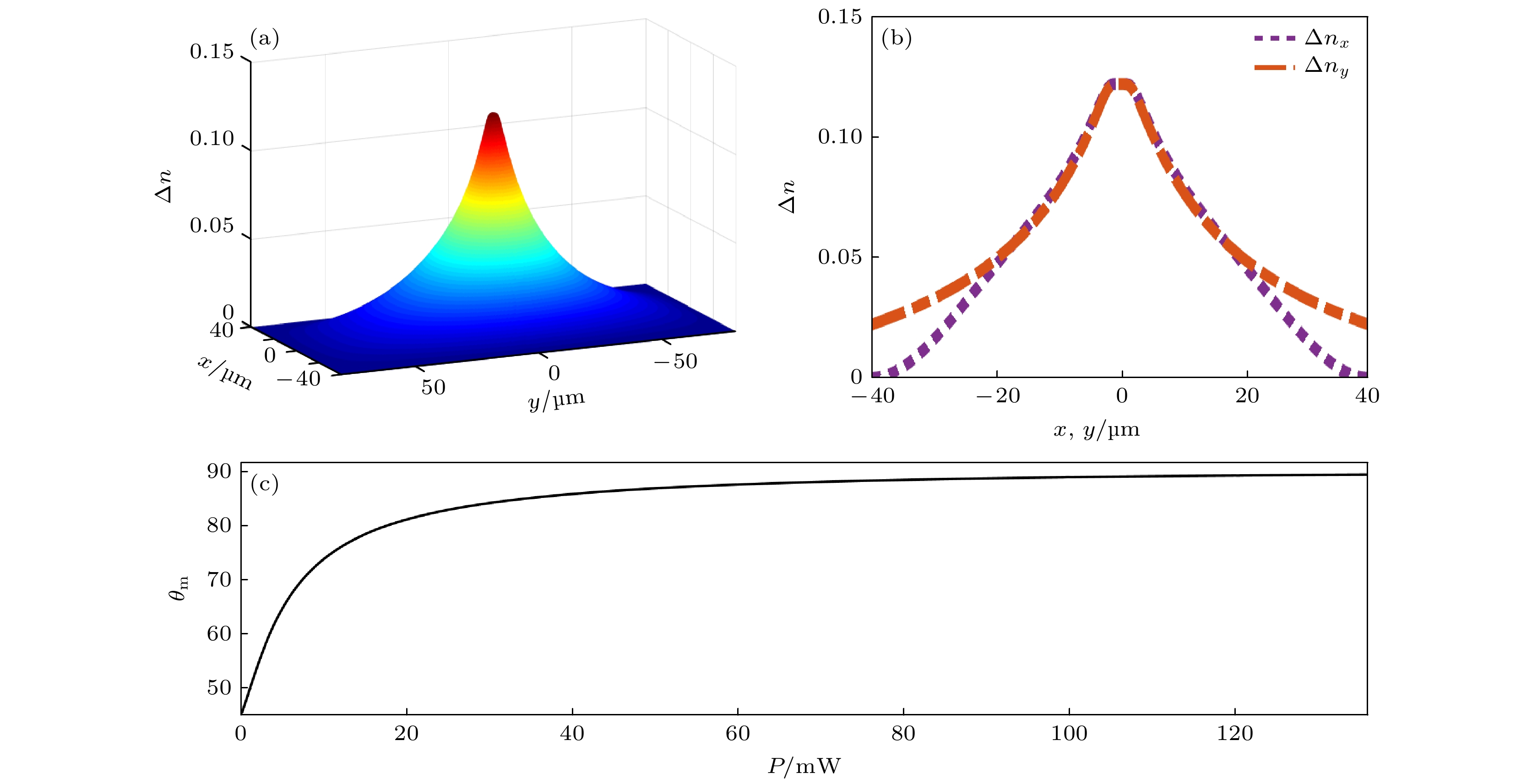
The saturated nonlocal nonlinearity of positive nematic liquid crystals (NLCs) is discussed in this paper. Based on the nonlinear coupling model satisfied by the beam propagation in a positive NLC, the saturable characteristics of the nonlinear refractive index (NRI) in the cases of
$1+1$
and
$1+2$
dimensions are discussed separately, and the numerical solutions of saturated bistable solitons for different pre-declination angles are obtained. The saturated NRI is smaller for larger pre-deflection angles, and the center of the saturated NRI is almost flat for different pre-deflection angles in
$1+2$
dimension. Solitons in the saturated case are no longer standard circular, whose waveforms in the
xand
ydirections are slightly different. We also find that saturated bistable solitons can exist in NLCs for both
$1+1$
and
$1+2$
dimensions. With the increase of pre-deflection angle, the existing regions of bistable solitons decrease, while their minimum beamwidth increases. Although the beamwidths of bistable solitons are the same, they have different powers and propagation constants, and their normalized soliton waveforms differ in the
$1+2$
dimensional case.