-
非晶态稀土-过渡金属合金亚铁磁薄膜具有很强的垂直磁各向异性、超快的磁矩翻转速度以及磁矩和角动量补偿的特性, 是当前自旋电子学以及超快信息存储领域的重要研究对象. 本文采用磁控溅射制备了系列 X/Tb x(Fe 0.75Co 0.25) 1–x/ X三明治结构薄膜(
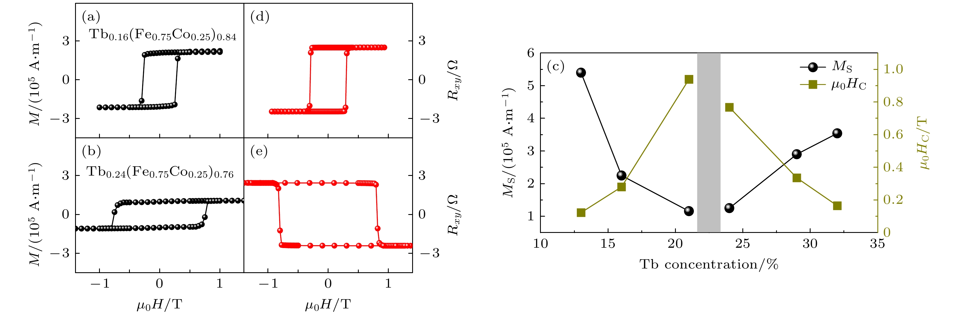
$0.13 \leqslant x \leqslant 0.32$ , X= SiO 2, Pt和W), 系统地研究了重金属Pt, W作为TbFeCo超薄膜的缓冲层和覆盖层(统称包覆层)对其室温下磁性和热稳定性的影响. 实验结果显示, 被SiO 2包覆的TbFeCo薄膜具有垂直磁各向异性, 磁矩补偿成分在$0.21 < x < 0.24$ 范围内. 用Pt包覆的3 nm 和5 nm TbFeCo超薄膜, 则不出现磁矩补偿现象, 在整个研究成分范围对应薄膜的磁矩始终由FeCo主导, 且在250 ℃高真空退火后垂直磁各向异性消失; 当以W作为包覆层时, 超薄TbFeCo的磁矩补偿点复现, 在补偿点成分附近, 其有效垂直各向异性场超过11.5 T, 且经过350—400 ℃退火后TbFeCo依然保持良好的垂直磁各向异性. 最后, 通过[Pt/TbFeCo] 5/Pt和[W/TbFeCo] 5/W多周期多层膜的宏观磁性测量和结构表征, 发现Pt/TbFeCo存在界面晶化, 导致以Pt作为包覆层时TbFeCo超薄膜不存在磁矩补偿, 且在垂直磁各向异性方面和热稳定性等方面的严重弱化. 重金属W/TbFeCo超薄膜体系具有磁矩补偿、巨大垂直磁各向异性场和高热稳定性的特点, 研究结果对今后设计基于非晶态稀土-过渡金属合金纳米磁性超薄膜的自旋电子学器件具有重要参考价值.-
关键词:
- 亚铁磁/重金属异质结/
- 磁矩补偿/
- 垂直磁各向异性/
- 热稳定性
Amorphous rare earth (RE)-transition metal (TM) ferrimagnetic alloy films have been intensively studied recently in spintronics and ultrafast information storage due to the large perpendicular magnetic anisotropy (PMA), ultrafast magnetization switching, and the presence of magnetization compensation and angular momentum compensation. In this work, we fabricate X/Tb x(Fe 0.75Co 0.25) 1–x/ X(0.13 ≤ x≤ 0.32, X= SiO 2, Pt and W) trilayers by magnetron sputtering, and systematically investigate the magnetic properties and thermal stabilities of the ultrathin TbFeCo films encapsulated by heavy metals Pt and W at room temperature. The 5–50-nm-thick TbFeCo films sandwiched by SiO 2exhibit PMA with magnetic compensation occurring in Tb concentration xbetween 0.21 with 0.24. For 3-nm- and 5- nm-thick TbFeCo ultrathin films encapsulated by Pt, however, there is no magnetic compensation observed throughout the composition range 0.13 ≤ x≤ 0.32 with the film magnetization dominated by the FeCo moment. Nevertheless, the weakened PMA for the Pt/ultrathin TbFeCo/Pt trilayers is completely destroyed after annealing at 250 ℃. When the buffer layer and capping layer of Pt are replaced by W, the ultrathin TbFeCo films show magnetic compensation at 0.21 < x< 0.24, so do the thick TbFeCo films. The effective PMA field ( H K) exceeds 11.5 T for the W/ultrathin TbFeCo/W films near the compensation composition, and remarkably, the H Kdecreases slowly on annealing, with PMA maintained even after annealing at 350–400℃. We further prepare [Pt/TbFeCo] 5/Pt and [W/TbFeCo] 5/W multilayers to clarify the origin of the huge difference between Pt/ultrathin TbFeCo/Pt and the W counterpart. It is found that there are partial recrystallization and phase separation for TbFeCo layer around the Pt/TbFeCo interface, leading to the disappearance of magnetic compensation and the deterioration of the PMA in the Pt/ultrathin TbFeCo/Pt films. With large PMA, W/ultrathin TbFeCo/W films show the presence of magnetic compensation, and excellent thermal robustness. The present study provides a promising heavy metal/RE-TM heterostructure for spintronic applications.-
Keywords:
- ferrimagnetic alloy/heavy metal heterostructure/
- magnetic compensation/
- perpendicular magnetic anisotropy/
- thermal stability
[1] [2] [3] [4] [5] [6] [7] [8] [9] [10] [11] [12] [13] [14] [15] [16] [17] [18] [19] [20] [21] [22] [23] [24] [25] [26] [27] [28] [29] [30] -
[1] [2] [3] [4] [5] [6] [7] [8] [9] [10] [11] [12] [13] [14] [15] [16] [17] [18] [19] [20] [21] [22] [23] [24] [25] [26] [27] [28] [29] [30]
计量
- 文章访问数:3079
- PDF下载量:72
- 被引次数:0












下载:


